MINISTÉRIO DA SAÚDE
AGÊNCIA NACIONAL DE VIGILÂNCIA SANITÁRIA
RESOLUÇÃO - RDC Nº 351, DE 20 DE MARÇO DE 2020
|
Dispõe sobre a atualização do Anexo I (Listas de Substâncias Entorpecentes, Psicotrópicas, Precursoras e Outras sob Controle Especial) da Portaria SVS/MS nº 344, de 12 de maio de 1998, e dá outras providências. |
O Diretor-Presidente Substituto da Agência Nacional de Vigilância Sanitária, no uso da atribuição que lhe confere o art. 47, IV, aliado ao art. 53, V do Regimento Interno aprovado pela Resolução de Diretoria Colegiada - RDC n° 255, de 10 de dezembro de 2018, resolve, ad referendum, adotar a seguinte Resolução de Diretoria Colegiada e determinar a sua publicação.
Art. 1º Publicar a atualização do Anexo I (Listas de Substâncias Entorpecentes, Psicotrópicas, Precursoras e Outras sob Controle Especial) da Portaria SVS/MS nº. 344, de 12 de maio de 1998, republicada no Diário Oficial da União de 1º de fevereiro de 1999, estabelecendo as seguintes alterações, conforme previsto no Anexo I desta Resolução:
I. INCLUSÃO
1.1. Lista "C1": CLOROQUINA
1.2. Lista "C1": HIDROXICLOROQUINA
Art. 2º Os medicamentos à base de CLOROQUINA e HIDROXICLOROQUINA ficam sujeitos à Receita de Controle Especial em duas vias, sendo a 1ª via retida no estabelecimento farmacêutico e a 2ª via devolvida ao Paciente.
Art. 3º No período de 30 dias após a entrada em vigor desta Resolução, a dispensação dos medicamentos à base de CLOROQUINA e HIDROXICLOROQUINA poderá ser efetuada também mediante receita médica comum, devendo o farmacêutico registrar na receita a comprovação do atendimento.
Art. 4º Os medicamentos à base de CLOROQUINA e HIDROXICLOROQUINA ficam sujeitos aos procedimentos de escrituração no Sistema Nacional de Gerenciamento de Produtos Controlados (SNGPC), previstos pela Resolução de Diretoria Colegiada - RDC nº 22/2014.
Art. 5º Os medicamentos à base de CLOROQUINA e HIDROXICLOROQUINA não estão sujeitos aos demais controles estabelecidos pelas Portarias SVS/MS nº 344/1998 e 06/1999, incluindo as determinações referentes à embalagem e rotulagem.
Art. 6º Esta Resolução entra em vigor na data de sua publicação.
ANTONIO BARRA TORRES
Diretor-Presidente
Este texto não substitui o publicado no DOU de 20.3.2020 - Edição extra G
ANEXO I
MINISTÉRIO DA SAÚDE
AGÊNCIA NACIONAL DE VIGILÂNCIA SANITÁRIA
GERÊNCIA-GERAL DE MONITORAMENTO DE PRODUTOS SUJEITOS À VIGILÂNCIA SANITÁRIA
ATUALIZAÇÃO N. 72
LISTAS DA PORTARIA SVS/MS N.º 344 DE 12 DE MAIO DE 1998 (DOU DE 1/2/99)
LISTA – A1
LISTA DAS SUBSTÂNCIAS ENTORPECENTES
(Sujeitas à Notificação de Receita “A”)
1. ACETILMETADOL
2. ALFACETILMETADOL
3. ALFAMEPRODINA
4. ALFAMETADOL
5. ALFAPRODINA
6. ALFENTANILA
7. ALILPRODINA
8. ANILERIDINA
9. BEZITRAMIDA
10. BENZETIDINA
11. BENZILMORFINA
12. BENZOILMORFINA
13. BETACETILMETADOL
14. BETAMEPRODINA
15. BETAMETADOL
16. BETAPRODINA
17. BUPRENORFINA
18. BUTORFANOL
19. CLONITAZENO
20. CODOXIMA
21. CONCENTRADO DE PALHA DE DORMIDEIRA
22. DEXTROMORAMIDA
23. DIAMPROMIDA
24. DIETILTIAMBUTENO
25. DIFENOXILATO
26. DIFENOXINA
27. DIIDROMORFINA
28. DIMEFEPTANOL (METADOL)
29. DIMENOXADOL
30. DIMETILTIAMBUTENO
31. DIOXAFETILA
32. DIPIPANONA
33. DROTEBANOL
34. ETILMETILTIAMBUTENO
35. ETONITAZENO
36. ETOXERIDINA
37. FENADOXONA
38. FENAMPROMIDA
39. FENAZOCINA
40. FENOMORFANO
41. FENOPERIDINA
42. FENTANILA
43. FURETIDINA
44. HIDROCODONA
45. HIDROMORFINOL
46. HIDROMORFONA
47. HIDROXIPETIDINA
48. INTERMEDIÁRIO DA METADONA (4-CIANO-2-DIMETILAMINA-4,4-DIFENILBUTANO)
49. INTERMEDIÁRIO DA MORAMIDA (ÁCIDO 2-METIL-3-MORFOLINA-1,1-DIFENILPROPANO CARBOXÍLICO)
50. INTERMEDIÁRIO “A” DA PETIDINA (4 CIANO-1-METIL-4-FENILPIPERIDINA)
51. INTERMEDIÁRIO “B” DA PETIDINA (ÉSTER ETÍLICO DO ÁCIDO 4-FENILPIPERIDINA-4-CARBOXILÍCO)
52. INTERMEDIÁRIO “C” DA PETIDINA (ÁCIDO-1-METIL-4-FENILPIPERIDINA-4-CARBOXÍLICO)
53. ISOMETADONA
54. LEVOFENACILMORFANO
55. LEVOMETORFANO
56. LEVOMORAMIDA
57. LEVORFANOL
58. METADONA
59. METAZOCINA
60. METILDESORFINA
61. METILDIIDROMORFINA
62. METOPONA
63. MIROFINA
64. MORFERIDINA
65. MORFINA
66. MORINAMIDA
67. NICOMORFINA
68. NORACIMETADOL
69. NORLEVORFANOL
70. NORMETADONA
71. NORMORFINA
72. NORPIPANONA
73. N-OXICODEÍNA
74. N-OXIMORFINA
75. ÓPIO
76. ORIPAVINA
77. OXICODONA
78. OXIMORFONA
79. PETIDINA
80. PIMINODINA
81. PIRITRAMIDA
82. PROEPTAZINA
83. PROPERIDINA
84. RACEMETORFANO
85. RACEMORAMIDA
86. RACEMORFANO
87. REMIFENTANILA
88. SUFENTANILA
89. TAPENTADOL
90. TEBACONA
91. TEBAÍNA
92. TILIDINA
93. TRIMEPERIDINA
ADENDO:
1) ficam também sob controle:
1.1. os sais, éteres, ésteres e isômeros (exceto os isômeros dextrometorfano, (+)3-metoxi-N-metilmorfinan, e o Dextrorfano, (+) 3-hidroxi-N-metilmorfinan), das substâncias enumeradas acima, sempre que seja possível a sua existência;
1.2. os sais de éteres, ésteres e isômeros (exceto os isômeros dextrometorfano, (+)3-metoxi-N-metilmorfinan, e o Dextrorfano, (+) 3-hidroxi-N-metilmorfinan), das substâncias enumeradas acima, sempre que seja possível a sua existência.
2) preparações à base de DIFENOXILATO, contendo por unidade posológica, não mais que 2,5 miligramas de DIFENOXILATO calculado como base, e uma quantidade de Sulfato de Atropina equivalente a, pelo menos, 1,0% da quantidade de DIFENOXILATO, ficam sujeitas a prescrição da Receita de Controle Especial, em 2 (duas) vias e os dizeres de rotulagem e bula devem apresentar a seguinte frase: “VENDA SOB PRESCRIÇÃO MÉDICA – SÓ PODE SER VENDIDO COM RETENÇÃO DA RECEITA“.
3) preparações à base de ÓPIO, contendo até 5 miligramas de morfina anidra por mililitros, ou seja, até 50 miligramas de ÓPIO, ficam sujeitas a prescrição da RECEITA DE CONTROLE ESPECIAL, em 2 (duas) vias e os dizeres de rotulagem e bula devem apresentar a seguinte frase: “VENDA SOB PRESCRIÇÃO MÉDICA – SÓ PODE SER VENDIDO COM RETENÇÃO DA RECEITA“.
4) fica proibida a comercialização e manipulação de todos os medicamentos que contenham ÓPIO e seus derivados sintéticos e CLORIDRATO DE DIFENOXILATO e suas associações, nas formas farmacêuticas líquidas ou em xarope para uso pediátrico (Portaria SVS/MS n.º 106 de 14 de setembro de 1994 – DOU 19/9/94).
5) preparações medicamentosas na forma farmacêutica de comprimidos de liberação controlada à base de OXICODONA, contendo não mais que 40 miligramas dessa substância, por unidade posológica, ficam sujeitas a prescrição em RECEITA DE CONTROLE ESPECIAL, em 2 (duas) vias e os dizeres de rotulagem e bula devem apresentar a seguinte frase: “VENDA SOB PRESCRIÇÃO MÉDICA – SÓ PODE SER VENDIDO COM RETENÇÃO DA RECEITA”.
6) excetua-se dos controles referentes a esta Lista o isômero proscrito alfa-PVP, que está relacionado na Lista “F2” deste regulamento.
7) excetuam-se dos controles referentes a esta Lista os isômeros relacionados nominalmente em outra Lista deste regulamento.
8) preparações medicamentosas na forma farmacêutica adesivos transdérmicos contendo BUPRENORFINA em matriz polimérica adesiva, ou seja, sem reservatório de substância ativa, ficam sujeitas a prescrição em RECEITA DE CONTROLE ESPECIAL em 2 (duas) vias e os dizeres de rotulagem e bula devem apresentar a seguinte frase: “VENDA SOB PRESCRIÇÃO MÉDICA – SÓ PODE SER VENDIDO COM RETENÇÃO DA RECEITA”.
9) a importação e a exportação de padrões analíticos à base das substâncias BUTORFANOL, MORINAMIDA e TAPENTADOL, em que a quantidade do ativo sujeito a controle especial não exceda 500 mg por unidade, não requer Autorização de Importação e Autorização de Exportação, respectivamente. O disposto neste adendo também se aplica aos padrões analíticos à base dos sais, éteres, ésteres e isômeros, assim como dos sais de éteres, de ésteres e de isômeros, das substâncias citadas, a menos que sejam explicitamente excetuados ou constantes de listas de controle mais restrito e desde que a quantidade do ativo sujeito a controle especial não ultrapasse o limite especificado.
10) excetuam-se dos controles referentes a esta lista os isômeros não listados nominalmente e que sejam componentes de medicamentos registrados na Anvisa, bem como os medicamentos que os contenham.
LISTA – A2
LISTA DAS SUBSTÂNCIAS ENTORPECENTES DE USO PERMITIDO SOMENTE EM CONCENTRAÇÕES ESPECIAIS
(Sujeitas à Notificação de Receita “A”)
1. ACETILDIIDROCODEINA
2. CODEÍNA
3. DEXTROPROPOXIFENO
4. DIIDROCODEÍNA
5. ETILMORFINA
6. FOLCODINA
7. NALBUFINA
8. NALORFINA
9. NICOCODINA
10. NICODICODINA
11. NORCODEÍNA
12. PROPIRAM
13. TRAMADOL
ADENDO:
1) ficam também sob controle:
1.1. os sais, éteres, ésteres e isômeros das substâncias enumeradas acima, sempre que seja possível a sua existência;
1.2. os sais de éteres, ésteres e isômeros das substâncias enumeradas acima, sempre que seja possível a sua existência.
2) preparações à base de ACETILDIIDROCODEÍNA, CODEÍNA, DIIDROCODEÍNA, ETILMORFINA, FOLCODINA, NICODICODINA, NORCODEÍNA, inclusive as misturadas a um ou mais componentes, em que a quantidade de entorpecentes não exceda 100 miligramas por unidade posológica, e em que a concentração não ultrapasse a 2,5% nas preparações de formas indivisíveis ficam sujeitas prescrição da Receita de Controle Especial, em 2 (duas) vias e os dizeres de rotulagem e bula devem apresentar a seguinte frase: "VENDA SOB PRESCRIÇÃO MÉDICA – SÓ PODE SER VENDIDO COM RETENÇÃO DA RECEITA".
3) preparações à base de TRAMADOL, inclusive as misturadas a um ou mais componentes, em que a quantidade não exceda 100 miligramas de TRAMADOL por unidade posológica ficam sujeitas a prescrição da Receita de Controle Especial, em 2 (duas) vias e os dizeres de rotulagem e bula devem apresentar a seguinte frase: "VENDA SOB PRESCRIÇÃO MÉDICA – SÓ PODE SER VENDIDO COM RETENÇÃO DA RECEITA".
4) preparações à base de DEXTROPROPOXIFENO, inclusive as misturadas a um ou mais componentes, em que a quantidade de entorpecente não exceda 100 miligramas por unidade posológica e em que a concentração não ultrapasse 2,5% nas preparações indivisíveis, ficam sujeitas a prescrição da Receita de Controle Especial, em 2 (duas) vias e os dizeres de rotulagem e bula devem apresentar a seguinte frase: "VENDA SOB PRESCRIÇÃO MÉDICA – SÓ PODE SER VENDIDO COM RETENÇÃO DA RECEITA".
5) preparações à base de NALBUFINA, inclusive as misturadas a um ou mais componentes, em que a quantidade não exceda 10 miligramas de CLORIDRATO DE NALBUFINA por unidade posológica ficam sujeitas a prescrição da Receita de Controle Especial, em 2 (duas) vias e os dizeres de rotulagem e bula devem apresentar a seguinte frase: "VENDA SOB PRESCRIÇÃO MÉDICA – SÓ PODE SER VENDIDO COM RETENÇÃO DA RECEITA".
6) preparações à base de PROPIRAM, inclusive as misturadas a um ou mais componentes, contendo não mais que 100 miligramas de PROPIRAM por unidade posológica e associados, no mínimo, a igual quantidade de metilcelulose, ficam sujeitas a prescrição da Receita de Controle Especial, em 2 (duas) vias e os dizeres de rotulagem e bula deverão apresentar a seguinte frase: "VENDA SOB PRESCRIÇÃO MÉDICA – SÓ PODE SER VENDIDO COM RETENÇÃO DA RECEITA".
7) excetuam-se dos controles referentes a esta Lista os isômeros relacionados nominalmente em outra Lista deste regulamento.
8) a importação e a exportação de padrões analíticos à base das substâncias NALBUFINA e TRAMADOL, em que a quantidade do ativo sujeito a controle especial não exceda 500 mg por unidade, não requer Autorização de Importação e Autorização de Exportação, respectivamente. O disposto neste adendo também se aplica aos padrões analíticos à base dos sais, éteres, ésteres e isômeros, assim como dos sais de éteres, de ésteres e de isômeros, das substâncias citadas, a menos que sejam explicitamente excetuados ou constantes de listas de controle mais restrito e desde que a quantidade do ativo sujeito a controle especial não ultrapasse o limite especificado.
9) excetuam-se dos controles referentes a esta lista os isômeros não listados nominalmente e que sejam componentes de medicamentos registrados na Anvisa, bem como os medicamentos que os contenham.
LISTA – A3
LISTA DAS SUBSTÂNCIAS PSICOTRÓPICAS
(Sujeita à Notificação de Receita “A”)
1.ANFETAMINA
2.ATOMOXETINA
3.CATINA
4.CLOBENZOREX
5.CLORFENTERMINA
6.DEXANFETAMINA
7.DRONABINOL
8.FEMETRAZINA
9.FENCICLIDINA
10.FENETILINA
11.LEVANFETAMINA
12.LEVOMETANFETAMINA
13.LISDEXANFETAMINA
14.METILFENIDATO
15. METILSINEFRINA
16.MODAFINILA
17.TANFETAMINA
ADENDO:
1) ficam também sob controle:
1.1 os sais, éteres, ésteres e isômeros das substâncias enumeradas acima, sempre que seja possível a sua existência;
1.2 os sais de éteres, ésteres e isômeros das substâncias enumeradas acima, sempre que seja possível a sua existência.
2) ficam sujeitos aos controles referentes a esta Lista os medicamentos registrados na Anvisa que possuam em sua formulação derivados de Cannabis sativa, em concentração de no máximo 30 mg de tetrahidrocannabinol (THC) por mililitro e 30 mg de canabidiol por mililitro.
3) excetuam-se dos controles referentes a esta Lista os isômeros relacionados nominalmente em outra Lista deste regulamento.
4) a importação e a exportação de padrões analíticos à base das substâncias ATOMOXETINA, CLOBENZOREX, CLORFENTERMINA, LISDEXANFETAMINA, MODAFINILA, METILSINEFRINA e TANFETAMINA, em que a quantidade do ativo sujeito a controle especial não exceda 500 mg por unidade, não requer Autorização de Importação e Autorização de Exportação, respectivamente. O disposto neste adendo também se aplica aos padrões analíticos à base dos sais, éteres, ésteres e isômeros, assim como dos sais de éteres, de ésteres e de isômeros, das substâncias citadas, a menos que sejam explicitamente excetuados ou constantes de listas de controle mais restrito e desde que a quantidade do ativo sujeito a controle especial não ultrapasse o limite especificado.
5) excetuam-se dos controles referentes a esta lista os isômeros não listados nominalmente e que sejam componentes de medicamentos registrados na Anvisa, bem como os medicamentos que os contenham.
6) os controles desta Lista se aplicam à substância DRONABINOL somente quando obtida sinteticamente e desde que não estejam presentes outros componentes sujeitos a controle especial, ainda que na forma de impurezas.
7) estão sujeitos aos controles desta Lista os insumos farmacêuticos, nas formas de derivado vegetal, fitofármaco e a granel, à base de derivados de Cannabis sativa, destinados à fabricação dos Produtos de Cannabis regularizados nos termos da Resolução da Diretoria Colegiada - RDC nº 327, de 09 de dezembro de 2019.
8) estão sujeitos aos controles desta Lista os Produtos de Cannabis regularizados nos termos da Resolução da Diretoria Colegiada - RDC nº 327, de 09 de dezembro de 2019, que contenham tetrahidrocanabinol (THC) acima de 0,2%.
LISTA – B1
LISTA DAS SUBSTÂNCIAS PSICOTRÓPICAS
(Sujeitas à Notificação de Receita “B”)
1. ALOBARBITAL
2. ALPRAZOLAM
3. AMINEPTINA
4. AMOBARBITAL
5. APROBARBITAL
6. BARBEXACLONA
7. BARBITAL
8. BROMAZEPAM
9. BROTIZOLAM
10. BUTABARBITAL
11. BUTALBITAL
12. CAMAZEPAM
13. CETAZOLAM
14. CICLOBARBITAL
15. CLOBAZAM
16. CLONAZEPAM
17. CLORAZEPAM
18. CLORAZEPATO
19. CLORDIAZEPÓXIDO
20. CLORETO DE ETILA
21. CLORETO DE METILENO/DICLOROMETANO
22. CLOTIAZEPAM
23. CLOXAZOLAM
24. DELORAZEPAM
25. DIAZEPAM
26. ESTAZOLAM
27. ETCLORVINOL
28. ETILANFETAMINA (N-ETILANFETAMINA)
29. ETINAMATO
30. FENAZEPAM
31. FENOBARBITAL
32. FLUDIAZEPAM
33. FLUNITRAZEPAM
34. FLURAZEPAM
35. GHB - (ÁCIDO GAMA – HIDROXIBUTÍRICO)
36. GLUTETIMIDA
37. HALAZEPAM
38. HALOXAZOLAM
39. LEFETAMINA
40. LOFLAZEPATO DE ETILA
41. LOPRAZOLAM
42. LORAZEPAM
43. LORMETAZEPAM
44. MEDAZEPAM
45. MEPROBAMATO
46. MESOCARBO
47. METILFENOBARBITAL (PROMINAL)
48. METIPRILONA
49. MIDAZOLAM
50. NIMETAZEPAM
51. NITRAZEPAM
52. NORCANFANO (FENCANFAMINA)
53. NORDAZEPAM
54. OXAZEPAM
55. OXAZOLAM
56. PEMOLINA
57. PENTAZOCINA
58. PENTOBARBITAL
59. PERAMPANEL
60. PINAZEPAM
61. PIPRADROL
62. PIROVALERONA
63. PRAZEPAM
64. PROLINTANO
65. PROPILEXEDRINA
66. SECBUTABARBITAL
67. SECOBARBITAL
68. TEMAZEPAM
69. TETRAZEPAM
70. TIAMILAL
71. TIOPENTAL
72. TRIAZOLAM
73. TRICLOROETILENO
74. TRIEXIFENIDIL
75. VINILBITAL
76. ZALEPLONA
77. ZOLPIDEM
78. ZOPICLONA
ADENDO:
1) ficam também sob controle:
1.1. os sais, éteres, ésteres e isômeros das substâncias enumeradas acima, sempre que seja possível a sua existência;
1.2. os sais de éteres, ésteres e isômeros das substâncias enumeradas acima, sempre que seja possível a sua existência.
2) os medicamentos que contenham FENOBARBITAL, METILFENOBARBITAL (PROMINAL), BARBITAL e BARBEXACLONA, ficam sujeitos a prescrição da Receita de Controle Especial, em 2 (duas) vias e os dizeres de rotulagem e bula devem apresentar a seguinte frase: “VENDA SOB PRESCRIÇÃO MÉDICA – SÓ PODE SER VENDIDO COM RETENÇÃO DA RECEITA”.
3) em relação ao controle do CLORETO DE ETILA:
3.1. fica proibido o uso do CLORETO DE ETILA para fins médicos, bem como a sua utilização sob a forma de aerosol, aromatizador de ambiente ou de qualquer outra forma que possibilite o seu uso indevido.
3.2. o controle e a fiscalização da substância CLORETO DE ETILA, ficam submetidos ao Órgão competente do Ministério da Justiça e Segurança Pública, de acordo com a Lei nº 10.357 de 27/12/2001, Decreto nº 4.262 de 10/06/2002 e Portaria MJSP nº 240, de 12/03/2019.
4) preparações a base de ZOLPIDEM e de ZALEPLONA, em que a quantidade dos princípios ativos ZOLPIDEM e ZALEPLONA respectivamente, não excedam 10 miligramas por unidade posológica, ficam sujeitas a prescrição da Receita de Controle Especial, em 2 (duas) vias e os dizeres de rotulagem e bula devem apresentar a seguinte frase: "VENDA SOB PRESCRIÇÃO MÉDICA – SÓ PODE SER VENDIDO COM RETENÇÃO DA RECEITA".
5) preparações a base de ZOPICLONA em que a quantidade do princípio ativo ZOPICLONA não exceda 7,5 miligramas por unidade posológica, ficam sujeitas a prescrição da Receita de Controle Especial, em 2 (duas) vias e os dizeres de rotulagem e bula devem apresentar a seguinte frase: "VENDA SOB PRESCRIÇÃO MÉDICA – SÓ PODE SER VENDIDO COM RETENÇÃO DA RECEITA".
6) fica proibido o uso humano de CLORETO DE METILENO/DICLOROMETANO e de TRICLOROETILENO, por via oral ou inalação.
7) quando utilizadas exclusivamente para fins industriais legítimos, as substâncias CLORETO DE METILENO/DICLOROMETANO e TRICLOROETILENO estão excluídas dos controles referentes a esta Lista, estando submetidas apenas aos controles impostos pela Lista D2 deste Regulamento (controle do Ministério da Justiça e Segurança Pública).
8) excetua-se dos controles referentes a esta Lista, o isômero proscrito TH-PVP, que está relacionado na Lista "F2" deste regulamento.
9) os medicamentos que contenham PERAMPANEL ficam sujeitos à prescrição em Receita de Controle Especial, em 2 (duas) vias, e os dizeres de rotulagem e bula devem apresentar a seguinte frase: “VENDA SOB PRESCRIÇÃO MÉDICA – SÓ PODE SER VENDIDO COM RETENÇÃO DA RECEITA”.
10) excetuam-se dos controles referentes a esta Lista os isômeros relacionados nominalmente em outra Lista deste regulamento.
11) a importação e a exportação de padrões analíticos à base das substâncias APROBARBITAL, BARBEXACLONA, CLORAZEPAM, PERAMPANEL, PROLINTANO, PROPILEXEDRINA, TIAMILAL, TIOPENTAL, TRIEXIFENIDIL, ZALEPLONA e ZOPICLONA, em que a quantidade do ativo sujeito a controle especial não exceda 500 mg por unidade, não requer Autorização de Importação e Autorização de Exportação, respectivamente. O disposto neste adendo também se aplica aos padrões analíticos à base dos sais, éteres, ésteres e isômeros, assim como dos sais de éteres, de ésteres e de isômeros, das substâncias citadas, a menos que sejam explicitamente excetuados ou constantes de listas de controle mais restrito e desde que a quantidade do ativo sujeito a controle especial não ultrapasse o limite especificado.
12) excetuam-se dos controles referentes a esta lista os isômeros não listados nominalmente e que sejam componentes de medicamentos registrados na Anvisa, bem como os medicamentos que os contenham.
13) estão sujeitos aos controles desta Lista os Produtos de Cannabis regularizados nos termos da Resolução da Diretoria Colegiada - RDC nº 327, de 09 de dezembro de 2019, que contenham até 0,2% de tetrahidrocanabinol (THC).
LISTA – B2
LISTA DAS SUBSTÂNCIAS PSICOTRÓPICAS ANOREXÍGENAS
(Sujeitas à Notificação de Receita “B2”)
1. AMINOREX
2. ANFEPRAMONA
3. FEMPROPOREX
4. FENDIMETRAZINA
5. FENTERMINA
6. MAZINDOL
7. MEFENOREX
8. SIBUTRAMINA
ADENDO:
1) ficam também sob controle:
1.1. os sais, éteres, ésteres e isômeros das substâncias enumeradas acima, sempre que seja possível a sua existência;
1.2. os sais de éteres, ésteres e isômeros das substâncias enumeradas acima, sempre que seja possível a sua existência.
2) excetua-se dos controles referentes a esta Lista, o isômero proscrito metanfetamina que está relacionado na Lista “F2” deste regulamento.
3) excetuam-se dos controles referentes a esta Lista, os isômeros proscritos 4-MEC, 5-MAPDB e pentedrona, que estão relacionados na Lista "F2" deste regulamento.
4) excetua-se das disposições legais deste Regulamento Técnico a substância DEET (N,N-dietil-3-metilbenzamida).
5) excetuam-se dos controles referentes a esta Lista os isômeros relacionados nominalmente em outra Lista deste regulamento.
6) A importação e a exportação de padrões analíticos à base de SIBUTRAMINA, em que a quantidade do ativo sujeito a controle especial não exceda 500 mg por unidade, não requer Autorização de Importação e Autorização de Exportação, respectivamente. O disposto neste adendo também se aplica aos padrões analíticos à base dos sais, éteres, ésteres e isômeros, assim como dos sais de éteres, de ésteres e de isômeros, da substância citada, a menos que sejam explicitamente excetuados ou constantes de listas de controle mais restrito e desde que a quantidade do ativo sujeito a controle especial não ultrapasse o limite especificado.
7) excetuam-se dos controles referentes a esta lista os isômeros não listados nominalmente e que sejam componentes de medicamentos registrados na Anvisa, bem como os medicamentos que os contenham.
LISTA – C1
LISTA DAS OUTRAS SUBSTÂNCIAS SUJEITAS A CONTROLE ESPECIAL
(Sujeitas à Receita de Controle Especial em duas vias)
1. ACEPROMAZINA
2. ÁCIDO VALPRÓICO
3. AGOMELATINA
4. AMANTADINA
5. AMISSULPRIDA
6. AMITRIPTILINA
7. AMOXAPINA
8. ARIPIPRAZOL
9. ASENAPINA
10. AZACICLONOL
11. BECLAMIDA
12. BENACTIZINA
13. BENFLUOREX
14. BENZIDAMINA
15. BENZOCTAMINA
16. BENZOQUINAMIDA
17. BIPERIDENO
18. BRIVARACETAM
19. BUPROPIONA
20. BUSPIRONA
21. BUTAPERAZINA
22. BUTRIPTILINA
23. CANABIDIOL (CBD)
24. CAPTODIAMO
25. CARBAMAZEPINA
26. CAROXAZONA
27. CELECOXIBE
28. CETAMINA
29. CICLARBAMATO
30. CICLEXEDRINA
31. CICLOPENTOLATO
32. CISAPRIDA
33. CITALOPRAM
34. CLOMACRANO
35. CLOMETIAZOL
36. CLOMIPRAMINA
37. CLOREXADOL
38. CLOROQUINA
39. CLORPROMAZINA
40. CLORPROTIXENO
41. CLOTIAPINA
42. CLOZAPINA
43. DAPOXETINA
44. DESFLURANO
45. DESIPRAMINA
46. DESVENLAFAXINA
47. DEXETIMIDA
48. DEXMEDETOMIDINA
49. DIBENZEPINA
50. DIMETRACRINA
51. DISOPIRAMIDA
52. DISSULFIRAM
53. DIVALPROATO DE SÓDIO
54. DIXIRAZINA
55. DONEPEZILA
56. DOXEPINA
57. DROPERIDOL
58. DULOXETINA
59. ECTILURÉIA
60. EMILCAMATO
61. ENFLURANO
62. ENTACAPONA
63. ESCITALOPRAM
64. ETOMIDATO
65. ETORICOXIBE
66. ETOSSUXIMIDA
67. FACETOPERANO
68. FEMPROBAMATO
69. FENAGLICODOL
70. FENELZINA
71. FENIPRAZINA
72. FENITOINA
73. FLUFENAZINA
74. FLUMAZENIL
75. FLUOXETINA
76. FLUPENTIXOL
77. FLUVOXAMINA
78. GABAPENTINA
79. GALANTAMINA
80. HALOPERIDOL
81. HALOTANO
82. HIDRATO DE CLORAL
83. HIDROCLORBEZETILAMINA
84. HIDROXICLOROQUINA
85. HIDROXIDIONA
86. HOMOFENAZINA
87. IMICLOPRAZINA
88. IMIPRAMINA
89. IMIPRAMINÓXIDO
90. IPROCLOZIDA
91. ISOCARBOXAZIDA
92. ISOFLURANO
93. ISOPROPIL-CROTONIL-URÉIA
94. LACOSAMIDA
95. LAMOTRIGINA
96. LEFLUNOMIDA
97. LEVETIRACETAM
98. LEVOMEPROMAZINA
99. LISURIDA
100. LITIO
101. LOPERAMIDA
102. LOXAPINA
103. LUMIRACOXIBE
104. LURASIDONA
105. MAPROTILINA
106. MECLOFENOXATO
107. MEFENOXALONA
108. MEFEXAMIDA
109. MEMANTINA
110. MEPAZINA
111. MESORIDAZINA
112. METILNALTREXONA
113. METILPENTINOL
114. METISERGIDA
115. METIXENO
116. METOPROMAZINA
117. METOXIFLURANO
118. MIANSERINA
119. MILNACIPRANA
120. MILTEFOSINA
121. MINAPRINA
122. MIRTAZAPINA
123. MISOPROSTOL
124. MOCLOBEMIDA
125. MOPERONA
126. NALOXONA
127. NALTREXONA
128. NEFAZODONA
129. NIALAMIDA
130. NITRITO DE ISOBUTILA
131. NOMIFENSINA
132. NORTRIPTILINA
133. NOXIPTILINA
134. OLANZAPINA
135. OPIPRAMOL
136. OXCARBAZEPINA
137. OXIBUPROCAÍNA (BENOXINATO)
138. OXIFENAMATO
139. OXIPERTINA
140. PALIPERIDONA
141. PARECOXIBE
142. PAROXETINA
143. PENFLURIDOL
144. PERFENAZINA
145. PERGOLIDA
146. PERICIAZINA (PROPERICIAZINA)
147. PIMOZIDA
148. PIPAMPERONA
149. PIPOTIAZINA
150. PRAMIPEXOL
151. PREGABALINA
152. PRIMIDONA
153. PROCLORPERAZINA
154. PROMAZINA
155. PROPANIDINA
156. PROPIOMAZINA
157. PROPOFOL
158. PROTIPENDIL
159. PROTRIPTILINA
160. PROXIMETACAINA
161. QUETIAPINA
162. RAMELTEONA
163. RASAGILINA
164. REBOXETINA
165. RIBAVIRINA
166. RIMONABANTO
167. RISPERIDONA
168. RIVASTIGMINA
169. ROFECOXIBE
170. ROPINIROL
171. ROTIGOTINA
172. RUFINAMIDA
173. SELEGILINA
174. SERTRALINA
175. SEVOFLURANO
176. SULPIRIDA
177. SULTOPRIDA
178. TACRINA
179. TERIFLUNOMIDA
180. TETRABENAZINA
181. TETRACAÍNA
182. TIAGABINA
183. TIANEPTINA
184. TIAPRIDA
185. TIOPROPERAZINA
186. TIORIDAZINA
187. TIOTIXENO
188. TOLCAPONA
189. TOPIRAMATO
190. TRANILCIPROMINA
191. TRAZODONA
192. TRICLOFÓS
193. TRIFLUOPERAZINA
194. TRIFLUPERIDOL
195. TRIMIPRAMINA
196. TROGLITAZONA
197. VALDECOXIBE
198. VALPROATO SÓDICO
199. VENLAFAXINA
200. VERALIPRIDA
201. VIGABATRINA
202. VILAZODONA
203. VORTIOXETINA
204. ZIPRAZIDONA
205. ZOTEPINA
206. ZUCLOPENTIXOL
ADENDO:
1) ficam também sob controle:
1.1. os sais, éteres, ésteres e isômeros das substâncias enumeradas acima, sempre que seja possível a sua existência;
1.2. os sais de éteres, ésteres e isômeros das substâncias enumeradas acima, sempre que seja possível a sua existência.
1.3 o disposto nos itens 1.1 e 1.2 não se aplica a substância canabidiol.
2) os medicamentos à base da substância LOPERAMIDA ficam sujeitos a VENDA SOB PRESCRIÇÃO MÉDICA SEM RETENÇÃO DE RECEITA.
3) fica proibido a comercialização e manipulação de todos os medicamentos que contenham LOPERAMIDA ou em associações, nas formas farmacêuticas líquidas ou em xarope para uso pediátrico (Portaria SVS/MS n.º 106 de 14 de setembro de 1994 – DOU 19/9/94).
4) só será permitida a compra e uso do medicamento contendo a substância MISOPROSTOL em estabelecimentos hospitalares devidamente cadastrados junto a Autoridade Sanitária para este fim;
5) os medicamentos à base da substância TETRACAÍNA ficam sujeitos a: (a) VENDA SEM PRESCRIÇÃO MÉDICA - quando tratar-se de preparações farmacêuticas de uso tópico odontológico, não associadas a qualquer outro princípio ativo; (b) VENDA COM PRESCRIÇÃO MÉDICA SEM A RETENÇÃO DE RECEITA - quando tratar-se de preparações farmacêuticas de uso tópico otorrinolaringológico, especificamente para Colutórios e Soluções utilizadas no tratamento de Otite Externa e (c) VENDA SOB PRESCRIÇÃO MÉDICA COM RETENÇÃO DE RECEITA - quando tratar-se de preparações farmacêuticas de uso tópico oftalmológico.
6) excetuam-se das disposições legais deste Regulamento Técnico as substâncias DISSULFIRAM, LÍTIO (metálico e seus sais) e HIDRATO DE CLORAL, quando, comprovadamente, forem utilizadas para outros fins, que não as formulações medicamentosas, e, portanto não estão sujeitos ao controle e fiscalização previstos nas Portarias SVS/MS n.º 344/98 e nº. 6/99.
7) excetuam-se das disposições legais deste Regulamento Técnico os medicamentos a base de BENZIDAMINA cujas formas farmacêuticas sejam: pó para preparação extemporânea, solução ginecológica, spray, pastilha drops, colutório, pasta dentifrícia e gel.
8) fica proibido o uso de NITRITO DE ISOBUTILA para fins médicos, bem como a sua utilização como aromatizador de ambiente ou de qualquer outra forma que possibilite o seu uso indevido.
9) excetua-se das disposições legais deste Regulamento Técnico, o NITRITO DE ISOBUTILA, quando utilizado exclusivamente para fins industriais legítimos.
10) excetua-se das disposições legais deste Regulamento Técnico a substância prometazina.
11) excetuam-se dos controles referentes a esta Lista os isômeros relacionados nominalmente em outra Lista deste regulamento.
12) excetuam-se dos controles referentes a esta lista os isômeros não listados nominalmente e que sejam componentes de medicamentos registrados na Anvisa, bem como os medicamentos que os contenham.
13) os controles desta Lista se aplicam à substância CANABIDIOL somente quando obtida sinteticamente e desde que não estejam presentes outros componentes sujeitos a controle especial, ainda que na forma de impurezas.
LISTA – C2
LISTA DE SUBSTÂNCIAS RETINOICAS
(Sujeitas à Notificação de Receita Especial)
1. ACITRETINA
2. ADAPALENO
3. BEXAROTENO
4. ISOTRETINOÍNA
5. TRETINOÍNA
ADENDO:
1) ficam também sob controle:
1.1. os sais, éteres, ésteres e isômeros das substâncias enumeradas acima, sempre que seja possível a sua existência;
1.2. os sais de éteres, ésteres e isômeros das substâncias enumeradas acima, sempre que seja possível a sua existência.
2) os medicamentos de uso tópico contendo as substâncias desta lista ficam sujeitos a VENDA SOB PRESCRIÇÃO MÉDICA SEM RETENÇÃO DE RECEITA.
3) excetuam-se dos controles referentes a esta Lista os isômeros relacionados nominalmente em outra Lista deste regulamento.
4) excetuam-se dos controles referentes a esta lista os isômeros não listados nominalmente e que sejam componentes de medicamentos registrados na Anvisa, bem como os medicamentos que os contenham.
LISTA – C3
LISTA DE SUBSTÂNCIAS IMUNOSSUPRESSORAS
(Sujeitas à Notificação de Receita Especial)
1. FTALIMIDOGLUTARIMIDA (TALIDOMIDA)
2. LENALIDOMIDA
ADENDO:
1) ficam também sob controle, todos os sais e isômeros das substâncias enumeradas acima, sempre que seja possível a sua existência.
2) excetuam-se dos controles referentes a esta Lista os isômeros relacionados nominalmente em outra Lista deste regulamento.
3) excetuam-se dos controles referentes a esta lista os isômeros não listados nominalmente e que sejam componentes de medicamentos registrados na Anvisa, bem como os medicamentos que os contenham.
4) o controle da substância lenalidomida e do medicamento que a contenha deve ser realizado mediante o atendimento dos requisitos constantes da RDC nº 191, de 11 de dezembro de 2017.
LISTA – C5
LISTA DAS SUBSTÂNCIAS ANABOLIZANTES
(Sujeitas à Receita de Controle Especial em duas vias)
1. ANDROSTANOLONA
2. BOLASTERONA
3. BOLDENONA
4. CLOROXOMESTERONA
5. CLOSTEBOL
6. DEIDROCLORMETILTESTOSTERONA
7. DROSTANOLONA
8. ESTANOLONA
9. ESTANOZOLOL
10. ETILESTRENOL
11. FLUOXIMESTERONA OU FLUOXIMETILTESTOSTERONA
12. FORMEBOLONA
13. MESTEROLONA
14. METANDIENONA OU METANDROSTENOLONA
15. METANDRANONA
16. METANDRIOL
17. METENOLONA
18. METILTESTOSTERONA
19. MIBOLERONA
20. NANDROLONA
21. NORETANDROLONA
22. OXANDROLONA
23. OXIMESTERONA
24. OXIMETOLONA
25. PRASTERONA (DEIDROEPIANDROSTERONA – DHEA)
26. SOMATROPINA (HORMÔNIO DO CRESCIMENTO HUMANO)
27. TESTOSTERONA
28. TREMBOLONA
ADENDO:
1) ficam também sob controle:
1.1 os sais, éteres, ésteres e isômeros das substâncias enumeradas acima, sempre que seja possível a sua existência;
1.2 os sais de éteres, ésteres e isômeros das substâncias enumeradas acima, sempre que seja possível a sua existência.
2) os medicamentos de uso tópico contendo as substâncias desta lista ficam sujeitos a VENDA SOB PRESCRIÇÃO MÉDICA SEM RETENÇÃO DE RECEITA.
3) excetuam-se dos controles referentes a esta Lista os isômeros relacionados nominalmente em outra Lista deste regulamento.
4) excetuam-se dos controles referentes a esta lista os isômeros não listados nominalmente e que sejam componentes de medicamentos registrados na Anvisa, bem como os medicamentos que os contenham.
LISTA – D1
LISTA DE SUBSTÂNCIAS PRECURSORAS DE ENTORPECENTES E/OU PSICOTRÓPICOS
(Sujeitas à Receita Médica sem Retenção)
1. 1-FENIL-2-PROPANONA
2. 3,4-MDP-2-P METIL ÁCIDO GLICÍDICO (PMK ÁCIDO GLICÍDICO)
3. 3,4-MDP-2-P METIL GLICIDATO (PMK GLICIDATO)
4. 3,4 - METILENDIOXIFENIL-2-PROPANONA
5. ÁCIDO ANTRANÍLICO
6. ÁCIDO FENILACÉTICO
7. ÁCIDO LISÉRGICO
8. ÁCIDO N-ACETILANTRANÍLICO
9. ALFA-FENILACETOACETONITRILO (APAAN)
10. ALFA-FENILACETOACETAMIDA (APAA)
11. ANPP ou (1-FENETIL-N-FENILPIPERIDIN-4-AMINA)
12. DIIDROERGOMETRINA
13. DIIDROERGOTAMINA
14. EFEDRINA
15. ERGOMETRINA
16. ERGOTAMINA
17. ETAFEDRINA
18. HELIONAL
19. ISOSAFROL
20. ÓLEO DE SASSAFRÁS
21. ÓLEO DA PIMENTA LONGA
22. PIPERIDINA
23. PIPERONAL
24. PSEUDOEFEDRINA
25. NPP ou (N-FENETIL-4-PIPERIDINONA)
26. SAFROL
ADENDO:
1) ficam também sob controle, todos os sais das substâncias enumeradas acima, sempre que seja possível a sua existência;
2) ficam também sob controle as substâncias: mesilato de diidroergotamina, TARTARATO DE DIIDROERGOTAMINA, maleato de ergometrina, TARTARATO DE ERGOMETRINA E tartarato de ergotamina.
3) excetua-se do controle estabelecido nas Portarias SVS/MS n.º344/98 e 6/99, as formulações não medicamentosas, que contém as substâncias desta lista quando se destinarem a outros seguimentos industriais.
4) óleo de pimenta longa é obtido da extração das folhas e dos talos finos da Piper hispidinervum C.DC., planta nativa da Região Norte do Brasil.
5) ficam também sob controle todos os isômeros ópticos da substância APAAN, sempre que seja possível sua existência.
6) a importação e a exportação de padrões analíticos à base de DIIDROERGOMETRINA, DIIDROERGOTAMINA e ETAFEDRINA, em que a quantidade do ativo sujeito a controle especial não exceda 500 mg por unidade, não requer Autorização de Importação e Autorização de Exportação, respectivamente. O disposto neste adendo também se aplica aos padrões analíticos à base dos sais das substâncias citadas, a menos que sejam explicitamente excetuados ou constantes de listas de controle mais restrito e desde que a quantidade do ativo sujeito a controle especial não ultrapasse o limite especificado.
7) quando utilizada exclusivamente para fins industriais legítimos, a substância HELIONAL está excluída dos controles estabelecidos pela Portaria SVS/MS nº 344/98.
LISTA – D2
LISTA DE INSUMOS QUÍMICOS UTILIZADOS PARA FABRICAÇÃO E SÍNTESE DE ENTORPECENTES E/OU PSICOTRÓPICOS
(Sujeitos a Controle do Ministério da Justiça e Segurança Pública)
1. ACETONA
2. ÁCIDO CLORÍDRICO
3. ÁCIDO SULFÚRICO
4. ANIDRIDO ACÉTICO
5. CLORETO DE ETILA
6. CLORETO DE METILENO/DICLOROMETANO
7. CLOROFÓRMIO
8. ÉTER ETÍLICO
9. METIL ETIL CETONA
10. PERMANGANATO DE POTÁSSIO
11. SULFATO DE SÓDIO
12. TOLUENO
13. TRICLOROETILENO
ADENDO:
1) os produtos e insumos químicos desta Lista estão sujeitos a controle da Polícia Federal, de acordo com a Lei nº 10.357 de 27/12/2001, o Decreto nº 4.262 de 10/06/2002 e a Portaria MJSP nº 240, de 12/03/2019.
2) o insumo químico ou substância CLOROFÓRMIO está proibido para uso em medicamentos.
3) quando os insumos desta lista forem utilizados para fins de fabricação de produtos sujeitos a vigilância sanitária, as empresas devem atender a legislação sanitária específica.
LISTA – E
LISTA DE PLANTAS PROSCRITAS QUE PODEM ORIGINAR SUBSTÂNCIAS ENTORPECENTES E/OU PSICOTRÓPICAS
1. Cannabis sativa L.
2. Claviceps paspali Stevens & Hall.
3. Datura suaveolens Willd.
4. Erythroxylum coca Lam.
5. Lophophora williamsii Coult.
6. Papaver somniferum L.
7. Prestonia amazonica J. F. Macbr.
8. Salvia divinorum
ADENDO:
1) ficam proibidas a importação, a exportação, o comércio, a manipulação e o uso das plantas enumeradas acima.
2) ficam também sob controle, todas as substâncias obtidas a partir das plantas elencadas acima, bem como os sais, isômeros, ésteres e éteres destas substâncias.
3) a planta Lophophora williamsii Coult. é comumente conhecida como cacto peyote.
4) excetua-se do controle estabelecido nas Portarias SVS/MS n.º 344/98 e 6/99, a importação de semente de dormideira (Papaver somniferum L.) quando, comprovadamente, for utilizada com finalidade alimentícia, devendo, portanto, atender legislação sanitária específica.
5) excetuam-se dos controles referentes a esta lista a substância CANABIDIOL obtida sinteticamente, que está relacionada na Lista "C1" deste regulamento, e a substância DRONABINOL obtida sinteticamente, que está relacionada na Lista "A3" deste regulamento.
6) excetua-se das disposições legais deste Regulamento Técnico a substância papaverina, bem como as formulações que a contenham, desde que estas não possuam outras substâncias sujeitas ao controle especial da Portaria SVS/MS nº 344/98.
7) fica permitida a importação de Produto derivado de Cannabis, por pessoa física, para uso próprio, mediante prescrição de profissional legalmente habilitado, para tratamento de saúde, aplicando-se os requisitos estabelecidos pela Resolução da Diretoria Colegiada - RDC nº 335, de 24 de janeiro de 2020.
8) excetuam-se dos controles referentes a esta lista os medicamentos registrados na Anvisa que possuam em sua formulação derivados de Cannabis sativa, em concentração de no máximo 30 mg de tetrahidrocannabinol (THC) por mililitro e 30 mg de canabidiol por mililitro, desde que sejam atendidas as exigências desta Resolução.
9) excetuam-se dos controles referentes a esta lista os isômeros das substâncias obtidas a partir das plantas elencadas acima não listados nominalmente e que sejam componentes de medicamentos registrados na Anvisa, bem como os medicamentos que os contenham.
10) excetuam-se dos controles referentes a esta lista os Produtos de Cannabis regularizados nos termos da Resolução da Diretoria Colegiada - RDC nº 327, de 09 de dezembro de 2019, os quais estão sujeitos aos controles estabelecidos pelos adendos 8 da Lista "A3" e 8 da Lista "B1", bem como os insumos farmacêuticos, nas formas de derivado vegetal, fitofármaco e a granel, à base de derivados de Cannabis sativa, a serem utilizados em sua fabricação, os quais estão sujeitos aos controles estabelecidos pelo adendo 7 da Lista "A3".
LISTA – F
LISTA DAS SUBSTÂNCIAS DE USO PROSCRITO NO BRASIL
LISTA F1 – SUBSTÂNCIAS ENTORPECENTES
|
1. |
3-METILFENTANILA |
ou |
N-(3-METIL-1-(FENETIL-4-PIPERIDIL)PROPIONANILIDA |
|
2. |
3-METILTIOFENTANILA |
ou |
N-[3-METIL-1-[2-(2-TIENIL)ETIL]-4-PIPERIDIL]PROPIONANILIDA |
|
3. |
4-FLUOROISOBUTIRFENTANIL |
ou |
N-(4-FLUOROFENIL)-N-(1-FENILETILPIPERIDIN-4-IL)ISOBUTIRAMIDA |
|
4. |
ACETIL-ALFA-METILFENTANILA |
ou |
N-[1-(ALFA-METILFENETIL)-4-PIPERIDIL]ACETANILIDA |
|
5. |
ACETILFENTANIL |
ou |
N-[1-(2-FENILETIL)-4-PIPERIDIL]-N-FENILACETAMIDA |
|
6. |
ACETORFINA |
ou |
3-O-ACETILTETRAHIDRO-7-ALFA-(1-HIDROXI-1-METILBUTIL)-6,14-ENDOETENO-ORIPAVINA |
|
7. |
ACRILOILFENTANIL |
ou |
N-FENIL-N-[1-(2-FENILETIL)PIPERIDIN-4-IL]PROP-2-ENAMIDA |
|
8. |
AH-7921 |
ou |
3,4-DICLORO-N-{[1-(DIMETILAMINO)CICLO-HEXIL] METIL}BENZAMIDA |
|
9. |
ALFA-METILFENTANILA |
ou |
N-[1-(ALFA-METILFENETIL)-4-PIPERIDIL]PROPIONANILIDA |
|
10. |
ALFA-METILTIOFENTANILA |
ou |
N-[1-[1-METIL-2-(2-TIENIl)ETIL]-4-PIPERIDIL]PROPIONANILIDA |
|
11. |
BETA-HIDROXI-3-METILFENTANILA |
ou |
N-[1-(BETA-HIDROXIFENETIL)-3-METIL-4-PIPERIDIL]PROPIONANILIDA |
|
12. |
BETA-HIDROXIFENTANILA |
ou |
N-[1-(BETA-HIDROXIFENETIL)-4-PIPERIDIL]PROPIONANILIDA |
|
13. |
BUTIRFENTANIL |
ou |
BUTIRIL FENTANIL; N-(1-FENETILPIPERIDIN-4-IL)-N-FENILBUTIRAMIDA |
|
14. |
CARFENTANIL |
ou |
4-CARBOMETOXIFENTANIL; METIL-FENILETIL-4-(N-FENILPROPIONAMIDA)PIPERIDINA-4-CARBOXILATO |
|
15. |
CETOBEMIDONA |
ou |
4-META-HIDROXIFENIL-1-METIL-4-PROPIONILPIPERIDINA |
|
16. |
CICLOPROPILFENTANIL |
ou |
N-FENIL-N-[1-(2-FENILETIL)PIPERIDIN-4-IL] CICLOPROPANOCARBOXAMIDA |
|
17. |
COCAINA |
ou |
ÉSTER METÍLICO DA BENZOILECGONINA |
|
18. |
DESOMORFINA |
ou |
DIIDRODEOXIMORFINA |
|
19. |
DIIDROETORFINA |
ou |
7,8-DIIDRO-7-ALFA-[1-(R)-HIDROXI-1-METILBUTIL]-6,14-ENDO-ETANOTETRAHIDROORIPAVINA |
|
20. |
ECGONINA |
ou |
(-)-3-HIDROXITROPANO-2-CARBOXILATO |
|
21. |
ETORFINA |
ou |
TETRAHIDRO-7-ALFA-(1-HIDROXI-1-METILBUTIL)-6,14-ENDOETENO-ORIPAVINA |
|
22. |
FURANILFENTANIL |
ou |
N-(1-FENILETILPIPERIDIN-4-IL)-N-FENILFURAN-2-CARBOXAMIDA |
|
23. |
HEROINA |
ou |
DIACETILMORFINA |
|
24. |
MDPV |
ou |
1-(1,3-BENZODIOXOL-5-IL)-2-(PIRROLIDIN-1-IL)-1-PENTANONA |
|
25. |
METOXIACETILFENTANIL |
ou |
2-METOXI-N-FENIL-N-[1-(2-FENILETIL)-4-PIPERIDINIL]ACETAMIDA |
|
26. |
MPPP |
ou |
1-METIL-4-FENIL-4-PROPIONATO DE PIPERIDINA (ÉSTER) |
|
27. |
MT-45 |
ou |
1-CICLOHEXIL-4-(1,2-DIFENILETIL)PIPERAZINA |
|
28. |
OCFENTANIL |
ou |
N-(2-FLUOROFENIL)-2-METOXI-N-[1-(2-FENILETIL)PIPERIDIN-4-YL]ACETAMIDA |
|
29. |
ORTO-FLUOROFENTANIL |
ou |
2-FLUOROFENTANIL; N-(2-FLUOROFENIL)-N-[1-(2-FENILETIL)-4-PIPERIDINIL]PROPANAMIDA |
|
30. |
PARA-FLUOROBUTIRFENTANIL |
ou |
4-FLUOROBUTIRILFENTANIL; 4F-BF; N- (4-FLUOROFENIL) -N- [1-(2-FENILETIL) PIPERIDIN-4-IL] BUTANAMIDA) |
|
31. |
PARA-FLUOROFENTANILA |
ou |
4’-FLUORO-N-(1-FENETIL-4-PIPERIDIL])PROPIONANILIDA |
|
32. |
PEPAP |
ou |
1-FENETIL-4-FENIL-4-ACETATO DE PIPERIDINA (ÉSTER) |
|
33. |
TETRAHIDROFURANILFENTANIL |
ou |
N-(1-FENILETILPIPERIDIN-4-IL)-N-FENILTETRAHIDROFURAN-2-CARBOXAMIDA |
|
34. |
TIOFENTANILA |
ou |
N-[1-[2-(TIENIL)ETIL]-4-PIPERIDIL]PROPIONANILIDA |
|
35. |
U-47700 |
ou |
3,4-DICLORO-N-((1S,2S)-2-(DIMETILAMINO)CICLOHEXIL)-N-METILBENZAMIDA |
ADENDO:
1)ficam também sob controle:
1.1.todos os sais e isômeros das substâncias enumeradas acima, sempre que seja possível a sua existência.
1.2.todos os ésteres e derivados da substância ECGONINA que sejam transformáveis em ECGONINA E COCAÍNA.
2) excetuam-se dos controles referentes a esta Lista os isômeros relacionados nominalmente em outra Lista deste regulamento.
3) exclui-se da proibição o uso médico-veterinário das substâncias carfentanil e etorfina, desde que devidamente autorizado pelo Ministério da Agricultura, Pecuária e Abastecimento e atendidos os demais requisitos de controle estabelecidos pelas legislações vigentes.
4) excetuam-se dos controles referentes a esta lista os isômeros não listados nominalmente e que sejam componentes de medicamentos registrados na Anvisa, bem como os medicamentos que os contenham.
LISTA F2 – SUBSTÂNCIAS PSICOTRÓPICAS
a) SUBSTÂNCIAS
|
1. |
(+) – LISÉRGIDA |
ou |
LSD; LSD-25; 9,10-DIDEHIDRO-N,N-DIETIL-6-METILERGOLINA-8BETA-CARBOXAMIDA |
|
2. |
2C-B |
ou |
4-BROMO-2,5-DIMETOXIFENILETILAMINA |
|
3. |
2C-C |
ou |
4-CLORO-2,5-DIMETOXIFENILETILAMINA |
|
4. |
2C-D |
ou |
4-METIL-2,5-DIMETOXIFENILETILAMINA |
|
5. |
2C-E |
ou |
4-ETIL-2,5-DIMETOXIFENILETILAMINA |
|
6. |
2C-F |
ou |
4-FLUOR-2,5-DIMETOXIFENILETILAMINA |
|
7. |
2C-I |
ou |
4-IODO-2,5-DIMETOXIFENILETILAMINA |
|
8. |
2C-T-2 |
ou |
4-ETIL-TIO-2,5-DIMETOXIFENILETILAMINA |
|
9. |
2C-T-7 |
ou |
2,5-DIMETOXI-4-PROPILTIOFENILETILAMINA (2C-T-7) |
|
10. |
2-MeO-DIFENIDINA |
ou |
1-(1-(2-METOXIFENIL)-2-FENILETIL)PIPERIDINA; MXP; METOXIFENIDINA |
|
11. |
3-FLUOROFENMETRAZINA |
ou |
2-(3-FLUOROFENIL)-3-METILMORFOLINA; 3-FPM |
|
12. |
3-MeO-PCP |
ou |
3-METOXIFENCICLIDINA; 1-[1-(3-METOXIFENIL)CICLOHEXIL]PIPERIDINA |
|
13. |
3-MMC |
ou |
3-METILMETCATINONA; 2-(METILAMINO)-1-(3-METILFENIL)-1-PROPANONA |
|
14. |
4-AcO-DMT |
ou |
4-ACETOXI-N, N-DIMETILTRIPTAMINA |
|
15. |
4-BROMOMETCATINONA |
ou |
4-BMC; BREFEDRONA; 1-(4-BROMOFENIL)-2-(METILAMINO)PROPAN-1-ONA |
|
16. |
4-Cl-ALFA-PVP |
ou |
1-(4-CLOROFENIL)-2-(PIRROLIDIN-1-IL)PENTAN-1-ONA |
|
17. |
4-CLOROMETCATINONA |
ou |
CLEFEDRONA; 4-CMC; 1-(4-CLOROFENIL)-2-(METILAMINO)PROPAN-1-ONA |
|
18. |
4-FA |
ou |
4-FLUOROANFETAMINA; 1-(4-FLUOROFENIL) PROPAN-2-AMINA |
|
19. |
4-FLUOROMETCATINONA |
ou |
FLEFEDRONA; 4-FMC; 1-(4-FLUOROFENIL)-2-(METILAMINO)PROPAN-1-ONA |
|
20. |
4-HO-MIPT |
ou |
3-{2-[METIL(PROPAN-2-IL)AMINO]ETIL}-1H-INDOL-4-OL ; 4-HIDROXI-N-ISOPROPIL-N-METILTRIPTAMINA |
|
21. |
4-MEAPP |
ou |
2-(ETILAMINO)-1-(4-METILFENIL)-1-PENTANONA; 4-METIL-ALFA-ETILAMINOPENTIOFENONA; N-ETIL-4'-METILNORPENTEDRONA |
|
22. |
4-MEC |
ou |
4- METILETILCATINONA; 2-(ETILAMINA)-1-(4-METILFENIL)-PROPAN-1-ONA |
|
23. |
4-METILAMINOREX |
ou |
(±)-CIS-2-AMINO-4-METIL-5-FENIL-2-OXAZOLINA |
|
24. |
4-MTA |
ou |
4-METILTIOANFETAMINA |
|
25. |
4,4’- DMAR |
ou |
4,4’- DIMETILAMINOREX; 4-METIL-5-(4-METILFENIL)-4,5-DIHIDRO-1,3-OXAZOL-2-AMINA |
|
26. |
5-APB |
ou |
1-(BENZOFURAN-5-IL)PROPAN-2-AMINA |
|
27. |
5-APDB |
ou |
1-(2,3-DIHIDROBENZOFURAN-5-IL)PROPAN-2-AMINA |
|
28. |
5-EAPB |
ou |
1-(BENZOFURAN-5-IL)-N-ETILPROPAN-2-AMINA |
|
29. |
5F-ADB |
ou |
METIL-S-2-[1-(5-FLUOROPENTIL)-1H-INDAZOL-3- CARBOXAMIDO]-3,3-DIMETILBUTANOATO |
|
30. |
5F-AKB48 |
ou |
5F-APINACA; N-(1-ADAMANTIL)-1-(5-FLUOROPENTIL)INDAZOL-3-CARBOXAMIDA |
|
31. |
5F-PB-22 |
ou |
QUINOLIN-8-IL 1-(5-FLUOROPENTIL)-1H-INDOL-3-CARBOXILATO |
|
32. |
5-IAI |
ou |
2,3-DIHIDRO-5-IODO-1H-INDENO-2-AMINA |
|
33. |
5-MAPDB |
ou |
1-(2,3-DIHIDROBENZOFURAN-5-IL)-N-METILPROPAN-2-AMINA |
|
34. |
5-MeO-AMT |
ou |
5-METOXI-ALFA-METILTRIPTAMINA |
|
35. |
5-MeO-DALT |
ou |
N-[2-(5-METOXI-1H-INDOL-3-IL)ETIL]-N-(PROP-2-EN-1-IL)PROP-2-EN-1-AMINA; 5-METÓXI-N,N-DIALILTRIPTAMINA |
|
36. |
5-MeO-DIPT |
ou |
5-METOXI-N,N-DIISOPROPILTRIPTAMINA |
|
37. |
5-MeO-DMT |
ou |
5-METOXI-N,N-DIMETILTRIPTAMINA |
|
38. |
5-MeO-MIPT |
ou |
5-METOXI-N,N-METIL ISOPROPILTRIPTAMINA |
|
39. |
25B-NBOH |
ou |
2-({[2-(4-BROMO-2,5-DIMETOXIFENIL)ETIL]AMINO}METIL)FENOL |
|
40. |
25B-NBOMe |
ou |
2-(4-BROMO-2,5-DIMETOXI-FENIL)-N-[(2-METOXIFENIL)METIL]ETANOAMINA |
|
41. |
25C-NBF |
ou |
2-(4-CLORO-2,5-DIMETOXIFENIL)-N-(2-FLUOROBENZIL)ETANAMINA |
|
42. |
25C-NBOH |
ou |
2-({[2-(4-CLORO-2,5-DIMETOXIFENIL)ETIL]AMINO}METIL)FENOL |
|
43. |
25C-NBOMe |
ou |
2-(4-CLORO-2,5-DIMETOXI-FENIL)-N-[(2-METOXIFENIL)METIL]ETANOAMINA |
|
44. |
25D-NBOMe |
ou |
2-(4-METIL-2,5-DIMETOXI-FENIL)-N-[(2-METOXIFENIL)METIL]ETANOAMINA |
|
45. |
25E-NBOH |
ou |
2-({[2-(4-ETIL-2,5-DIMETOXIFENIL)ETIL]AMINO}METIL)FENOL |
|
46. |
25E-NBOMe |
ou |
2-(4-ETIL-2,5-DIMETOXI-FENIL)-N-[(2-METOXIFENIL)METIL]ETANOAMINA |
|
47. |
25H-NBOH |
ou |
2-({[2,5-DIMETOXIFENIL)ETIL]AMINO}METIL)FENOL |
|
48. |
25H-NBOMe |
ou |
2-(2,5-DIMETOXI-FENIL)-N-[(2-METOXIFENIL)METIL]ETANOAMINA |
|
49. |
25I-NBF |
ou |
Cimbi-21; 2C-I-NBF; N-(2-FLUOROBENZIL)-2-(4-IODO-2,5-DIMETOXIFENIL)ETAN-1-AMINA |
|
50. |
25I-NBOH |
ou |
2CI-NBOH; 2-({[2-(4-IODO-2,5-DIMETOXIFENIL)ETIL]AMINO}METIL)FENOL |
|
51. |
25I-NBOMe |
ou |
2-(4-IODO-2,5-DIMETOXI-FENIL)-N-[(2-METOXIFENIL)METIL]ETANOAMINA |
|
52. |
25N-NBOMe |
ou |
2-(4-NITRO-2,5-DIMETOXI-FENIL)-N-[(2-METOXIFENIL)METIL]ETANOAMINA |
|
53. |
25P-NBOMe |
ou |
2-(4-PROPIL-2,5-DIMETOXI-FENIL)-N-[(2-METOXIFENIL)METIL]ETANOAMINA |
|
54. |
25T2-NBOMe |
ou |
2-(4-TIOETIL-2,5-DIMETOXI-FENIL)-N-[(2-METOXIFENIL)METIL]ETANOAMINA |
|
55. |
25T4-NBOMe |
ou |
2-[4-(1-METIL-TIOETIL)-2,5-DIMETOXI-FENIL]-N-[(2-METOXIFENIL)METIL]ETANOAMINA |
|
56. |
25T7-NBOMe |
ou |
2-(4-TIOPROPIL-2,5-DIMETOXI-FENIL)-N-[(2-METOXIFENIL)METIL]ETANOAMINA |
|
57. |
30C-NBOMe |
ou |
C30-NBOMe; 2-(4-CLORO-2,5-DIMETOXIFENIL)-N-(3,4,5-TRIMETOXIBENZIL)ETAN-1-AMINA |
|
58. |
AB-CHMINACA |
ou |
N-(1-AMINO-3-METIL-1-OXOBUTAN-2-IL)-1-(CICLOHEXILMETIL)-1H-INDAZOL-3-CARBOXAMIDA |
|
59. |
AB-PINACA |
ou |
N-[(2S)-1-AMINO-3-METIL-1-OXOBUTAN-2-IL]-1-PENTIL-1H-INDAZOL-3-CARBOXAMIDA |
|
60. |
ADB-CHMINACA |
ou |
MAB-CHMINACA; N-(-1-AMINO-3,3-DIMETIL-1-OXOBUTAN-2-IL)-1- (CICLOHEXILMETIL)-1-H-INDAZOL-3-CARBOXAMIDA |
|
61. |
ADB-FUBINACA |
ou |
N-(1-AMINO-3,3-DIMETIL-1-OXOBUTAN-2-IL)-1-(4-FLUOROBENZIL)-1H-INDAZOL-3-CARBOXAMIDA |
|
62. |
ALFA-EAPP |
ou |
ALFA-ETILAMINOPENTIOFENONA; 2-(ETILAMINO)-1-FENILPENTAN-1-ONA |
|
63. |
ALFA-PVP |
ou |
1-FENIL-2-(PIRROLIDIN-1-IL)PENTAN-1-ONA) |
|
64. |
AKB48 |
ou |
APINACA; N-ADAMANTIL-1-PENTILINDAZOL-3-CARBOXAMIDA |
|
65. |
AM-2201 |
ou |
(1-(5-FLUOROPENTIL)-1H-INDOL-3-IL)-1-NAFTALENIL- METANONA |
|
66. |
AMT |
ou
|
ALFA-METILTRIPTAMINA |
|
67. |
BENZOFETAMINA |
ou |
N-BENZIL-N,ALFA-DIMETILFENETILAMINA |
|
68. |
BETACETO-DMBDB |
ou |
DIBUTILONA; METILBUTILONA; k-DMBDB; k-MMBDB; 1- BENZO[D] [1,3]DIOXOL-5-IL)-2-(DIMETILAMINO)BUTAN-1-ONA |
|
69. |
BROLANFETAMINA |
ou |
DOB; (±)-4-BROMO-2,5-DIMETOXI-ALFA-METILFENETILAMINA |
|
70. |
BZP |
ou |
1-BENZILPIPERAZINA |
|
71. |
CATINONA |
ou |
(-)-(S)-2-AMINOPROPIOFENONA |
|
72. |
CUMYL-4-CN-BINACA |
ou |
SGT-78; 4-CN-CUMYL-BINACA; CUMYL-CB-PINACA; CUMYL-CYBINACA; 4-CYANO CUMYL-BUTINACA; 1-(4-CIANOBUTIL)-N-(1-METIL-1-FENILETIL)-1H-INDAZOL-3- CARBOXAMIDA |
|
73. |
DET |
ou |
3-[2-(DIETILAMINO)ETIL]INDOL |
|
74. |
DIFENIDINA |
ou |
1-(1,2-DIFENILETIL)PIPERIDINA; DEP |
|
75. |
DIIDRO-LSD |
ou |
(8)-N,N-DIETIL-6-METIL-9,10-DIDEHIDRO-2,3-DIHIDROERGOLINA-8-CARBOXAMIDA |
|
76. |
DIMETILONA |
ou |
bk-MDDMA; bk-DMBDP; 1-(BENZO[d][1,3]DIOXOL-5-IL)-2-(DIMETILAMINO)PROPAN-1-ONA |
|
77. |
DMA |
ou |
(±)-2,5-DIMETOXI-ALFA-METILFENETILAMINA |
|
78. |
DMAA |
ou |
1,3-DIMETILAMILAMINA; 4-METILHEXAN-2-AMINA |
|
79. |
DMBA |
ou |
1,3-DIMETILBUTILAMINA; 4-METILPENTAN-2-AMINA |
|
80. |
DMHP |
ou |
3-(1,2-DIMETILHEPTIL)-7,8,9,10-TETRAHIDRO-6,6,9-TRIMETIL-6H-DIBENZO[B,D]PIRANO-1-OL |
|
81. |
DMT |
ou |
3-[2-(DIMETILAMINO)ETIL] INDOL ; N,N-DIMETILTRIPTAMINA |
|
82. |
DOC |
ou |
4-CLORO-2,5-DIMETOXIANFETAMINA |
|
83. |
DOET |
ou |
(±)–4-ETIL-2,5-DIMETOXI-ALFA-METILFENETILAMINA |
|
84. |
DOI |
ou |
4-IODO-2,5-DIMETOXIANFETAMINA |
|
85. |
EAM-2201 |
ou |
(1-(5-FLUOROPENTIL)-1H-INDOL-3-IL)-(4-ETIL-1-NAFTALENIL)-METANONA |
|
86. |
ERGINA |
ou |
LSA (AMIDA DO ÁCIDO D-LISÉRGICO) |
|
87. |
ETICICLIDINA |
ou |
PCE ; N-ETIL-1-FENILCICLOHEXILAMINA |
|
88. |
ETILFENIDATO |
ou |
ACETATO DE ETIL-2-FENIL-2-(PIPERIDIN-2-IL) |
|
89. |
ETILONA |
ou |
k-MDEA; MDEC; 1-(1,3-BENZODIOXOL-5-IL)-2-(ETILAMINO)-1-PROPANONA |
|
90. |
ETRIPTAMINA |
ou |
3-(2-AMINOBUTIL)INDOL |
|
91. |
FUB-AMB |
ou |
AMB-FUBINACA; MMB-FUBINACA; METIL (2S)-2-[[1-[(4-FLUOROFENIL)METIL]INDAZOL-3-CARBONIL]AMINO]-3- METILBUTANOATO |
|
92. |
JWH-018 |
ou |
1-NAFTALENIL-(1-PENTIL-1H-INDOL-3-IL)-METANONA |
|
93. |
JWH-071 |
ou |
(1-ETIL-1H-INDOL-3-IL)-1-NAFTALENIL-METANONA |
|
94. |
JWH-072 |
ou |
(1-PROPILINDOL-3-IL)NAFTALEN-1-IL-METANONA |
|
95. |
JWH-073 |
ou |
NAFTALEN-1-IL(1-BUTILINDOL-3-IL) METANONA |
|
96. |
JWH-081 |
ou |
4-METOXINAFTALEN-1-IL-(1-PENTILINDOL-3-IL) METANONA |
|
97. |
JWH-098 |
ou |
(4-METOXI1-NAFTALENIL)(2-METIL-1- PENTIL-1H-INDOL-3-IL) METANONA |
|
98. |
JWH-122 |
ou |
4-METILNAFTALEN-1-IL-(1-PENTILINDOL-3-IL) METANONA |
|
99. |
JWH-210 |
ou |
4-ETILNAFTALEN-1-IL-(1-PENTILINDOL-3-IL) METANONA |
|
100. |
JWH-250 |
ou |
2-(2-METOXIFENIL)-1-(1-PENTIL-1-INDOL-3-IL) ETANONA |
|
101. |
JWH-251 |
ou |
2-(2-METILFENIL)-1-(1-PENTIL-1H-INDOL-3-IL) ETANONA |
|
102. |
JWH-252 |
ou |
1-(2-METIL-1-PENTILINDOL-3-IL)-2-(2-METILFENIL) ETANONA |
|
103. |
JWH-253 |
ou |
1-(2-METIL-1-PENTIL-1H-INDOL-3-IL)-2-(3-METOXI-FENIL) ETANONA |
|
104. |
MAM-2201 |
ou |
(1-(5-FLUOROPENTIL)-1H-INDOL-3-IL](4-METIL-1-NAFTALENIL)-METANONA |
|
105. |
MAM-2201 N-(4-hidroxipentil) |
ou |
[1-(5-FLUORO-4-HIDROXIPENTIL)-1H-INDOL-3-IL](4-METIL-1-NAFTALENIL)METANONA |
|
106. |
MAM-2201 N-(5-cloropentil) |
ou |
[1-(5-CLOROPENTIL)-1H-INDOL-3-IL](4-METIL-1-NAFTALENIL)METANONA |
|
107. |
mCPP |
ou |
1-(3-CLOROFENIL)PIPERAZINA |
|
108. |
MDAI |
ou |
5,6-METILENODIOXI-2-AMINOINDANO |
|
109. |
MDE |
ou |
MDEA; N-ETIL MDA; (±)-N-ETIL-ALFA-METIL-3,4-(METILENEDIOXI)FENETILAMINA |
|
110. |
MDMA |
ou |
(±)-N,ALFA-DIMETIL-3,4-(METILENODIOXI)FENETILAMINA; 3,4 METILENODIOXIMETANFETAMINA |
|
111. |
MECLOQUALONA |
ou |
3-(O-CLOROFENIL)-2-METIL-4(3H)-QUINAZOLINONA |
|
112. |
MEFEDRONA |
ou |
2-METILAMINO-1-(4-METILFENIL)-PROPAN-1-ONA |
|
113. |
MESCALINA |
ou |
3,4,5-TRIMETOXIFENETILAMINA |
|
114. |
METALILESCALINA |
ou |
2-[3,5-DIMETOXI-4-(2-METILPROP-2-ENOXI)FENIL]ETANAMINA |
|
115. |
METANFETAMINA |
||
|
116. |
METAQUALONA |
ou |
2-METIL-3-O-TOLIL-4(3H)-QUINAZOLINONA |
|
117. |
METCATINONA |
ou |
2-(METILAMINO)-1-FENILPROPAN-1-ONA |
|
118. |
METILONA |
ou |
k-MDMA; MDMC; 1-(1,3-BENZODIOXOL-5-IL)-2-(METILAMINO)-1- PROPANONA |
|
119. |
METIOPROPAMINA |
ou |
N-METIL-1-TIOFEN-2-ILPROPAN-2-AMINA |
|
120. |
MMDA |
ou |
5-METOXI-ALFA-METIL-3,4-(METILENODIOXI)FENETILAMINA |
|
121. |
MXE |
ou |
METOXETAMINA; 2-(ETILAMINO)-2-(3-METOXIFENIL)-CICLOHEXANONA |
|
122. |
N-ACETIL-3,4-MDMC |
ou |
N-ACETIL-3,4-METILENODIOXIMETCATINONA; N-ACETILMETILONA; N-[2-(1,3-BENZODIOXOL-5-IL)-1-METIL-2-OXOETIL]-N-METIL-ACETAMIDA |
|
123. |
N-ETILCATINONA |
ou |
2-(ETILAMINA)-1-FENILPROPAN-1-ONA |
|
124. |
N-ETILHEXEDRONA |
ou |
2-(ETILAMINO)-1-FENILHEXAN-1-ONA; HEXEN; NEH |
|
125. |
N-ETILPENTILONA |
ou |
EFILONA; N-ETILNORPENTILONA;1-(2H-1,3-BENZODIOXOL-5-IL)-2-(ETILAMINO)PENTAN-1-ONA; 1-(BENZO[D][1,3]DIOXOL-5-IL)-2-(ETILAMINO)PENTAN-1-ONA |
|
126. |
PARAHEXILA |
ou |
3-HEXIL-7,8,9,10-TETRAHIDRO-6,6,9-TRIMETIL-6H-DIBENZO[B,D]PIRANO-1-OL |
|
127. |
PENTEDRONA |
ou |
2-(METILAMINO)-1-FENIL-PENTAN-1-ONA |
|
128. |
PENTILONA |
ou |
bk-MBDP; k-MBDP; bk-METIL-K; 1-(BENZO[d][1,3]DIOXOL-5-IL)-2-(METILAMINO)PENTAN-1-ONA |
|
129. |
PMA |
ou |
P-METOXI-ALFA-METILFENETILAMINA |
|
130. |
PMMA |
ou |
PARA-METOXIMETANFETAMINA; [1-(4-METOXIFENIL)PROPANO-2-IL](METIL)AZANO] |
|
131. |
PSILOCIBINA |
ou |
FOSFATO DIIDROGENADO DE 3-[2-(DIMETILAMINOETIL)]INDOL-4-ILO |
|
132. |
PSILOCINA |
ou |
PSILOTSINA ; 3-[2-(DIMETILAMINO)ETIL]INDOL-4-OL |
|
133. |
RH-34 |
ou |
3-(2-((2-METOXIBENZIL)AMINO)ETIL)QUINAZOLINA-2,4(1H,3H)-DIONA |
|
134. |
ROLICICLIDINA |
ou |
PHP; PCPY ; 1-(1-FENILCICLOHEXIL)PIRROLIDINA |
|
135. |
SALVINORINA A |
ou |
Metil (2S,4aR,6aR,7R,9S,10aS,10bR)-9-acetoxi-2-(3-furil)-6a,10b-dimetil-4,10-dioxododecahidro-2H-benzo[f]isocromeno-7-carboxilato |
|
136. |
STP |
ou |
DOM ; 2,5-DIMETOXI-ALFA,4-DIMETILFENETILAMINA |
|
137. |
TENANFETAMINA |
ou |
MDA; ALFA-METIL-3,4-(METILENODIOXI)FENETILAMINA |
|
138. |
TENOCICLIDINA |
ou |
TCP ; 1-[1-(2-TIENIL)CICLOHEXIL]PIPERIDINA |
|
139. |
TETRAHIDROCANNABINOL |
ou |
THC |
|
140. |
TH-PVP |
ou |
2-(PIRROLIDIN-1-IL)-1-(5,6,7,8-TETRAHIDRONAFTALEN-2-IL)PENTAN-1-ONA |
|
141. |
TMA |
ou |
(±)-3,4,5-TRIMETOXI-ALFA-METILFENETILAMINA |
|
142. |
TFMPP |
ou |
1-(3-TRIFLUORMETILFENIL)PIPERAZINA |
|
143. |
UR-144 |
ou |
(1-PENTIL-1H-INDOL-3-IL)(2,2,3,3-TETRAMETILCICLOPROPIL)-METANONA |
|
144. |
XLR-11 |
ou |
5F-UR-144; [1-(5-FLUOROPENTIL)-1H-INDOL-3-IL](2,2,3,3-TETRAMETILCICLOPROPIL)-METANONA |
|
145. |
ZIPEPROL |
ou |
ALFA-(ALFA-METOXIBENZIL)-4-(BETA-METOXIFENETIL)-1-PIPERAZINAETANOL |
b) CLASSES ESTRUTURAIS DOS CANABINOIDES SINTÉTICOS – Ficam também sob controle desta Lista as substâncias canabimiméticas que se enquadram nas seguintes classes estruturais:
1. Qualquer substância que apresente uma estrutura 2-(ciclohexil)fenol (estrutura 1):
1.1 Com substituição na posição 1 do anel benzênico por um grupo (-OR1) hidroxil, alcoxi (éter) ou carboxialquil (éster);
1.2 Substituída na posição 5 (-R2) do anel benzênico em qualquer extensão;
1.3 Substituída ou não nas posições 3’ (-R3) e/ou 6’ (-R4) em qualquer extensão no anel ciclo-hexil;
1.4 Que apresente ou não uma insaturação entre as posições 2’ e 3’ do anel ciclohexil substituinte;
1.5 Substituída ou não no anel benzênico em qualquer extensão (-R5).

2. Qualquer substância que apresente uma estrutura naftalen-1-il(1H-indol-3-il)metanona (estrutura 2) ou naftalen-1-il(1H-indol-3-il)metano (estrutura 3):
2.1 Substituída no átomo de nitrogênio do anel indol (-R1);
2.2 Se ou não substituído no anel indol em qualquer extensão (-R2 e -R2’);
2.3 Se ou não substituído no anel naftoil ou no anel naftil em qualquer extensão (-R3 e -R3’).
1. Qualquer substância que apresente uma estrutura naftalen-1-il(1H-pirrol-3-il)metanona (estrutura 4):
3.1 Substituída no átomo de nitrogênio do anel pirrol (-R1);
3.2 Substituída ou não no anel pirrol em qualquer extensão (-R2);
3.3 Substituída ou não no anel naftoil em qualquer extensão (-R3 e -R3’).

1. Qualquer substância que apresente uma estrutura fenil(1H-indol-3-il)metanona (estrutura 5) ou fenil(1H-indol-3-il)etanona (estrutura 6):
4.1 Substituída no átomo de nitrogênio do anel indol (-R1);
4.2 Se ou não substituído no anel indol em qualquer extensão (-R2 e -R2’);
4.3 Se ou não substituído no anel fenil em qualquer extensão (-R3).

1. Qualquer substância que apresente uma estrutura ciclopropil(1H-indol-3-il)metanona (estrutura 7):
5.1 Substituída no átomo de nitrogênio do anel indol (-R1);
5.2 Substituída ou não no anel indol em qualquer extensão (-R2 e -R2’);
5.3 Substituída ou não no anel ciclopropil em qualquer extensão (-R3, -R3’, -R3’’ e -R3’’’).

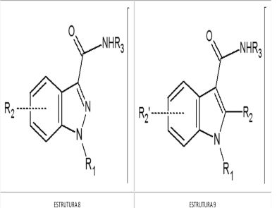
1. Qualquer substância que apresente uma estrutura 1H-indazol-3-carboxamida (estrutura 8) ou 1H-indol-3-carboxamida (estrutura 9):
6.1 Substituída no átomo de nitrogênio do anel indazol ou indol (-R1);
6.2 Substituída ou não no anel indazol (-R2) ou indol (-R2 e -R2’) em qualquer extensão;
6.3 Substituída ou não no grupo carboxamida em qualquer extensão (-R3).

1. Qualquer substância que apresente uma estrutura quinolin-8-il(1H-indol-3-il)carboxilato (estrutura 10):
7.1 Substituída no átomo de nitrogênio do anel indol (-R1);
7.2 Substituída ou não no anel indol (-R2 e -R2’) em qualquer extensão;
7.3 Substituída ou não no anel quinolil em qualquer extensão (-R3 e -R3’).

c) CLASSE ESTRUTURAL DAS CATINONAS SINTÉTICAS – Ficam também sob controle desta Lista as catinonas sintéticas que se enquadram na seguinte classe estrutural:
1.Qualquer substância que apresente uma estrutura 2–aminopropan–1–ona (estrutura 11):
1.1 Substituída no átomo de carbono da carbonila (posição 1) por qualquer monociclo ou sistema de anéis policíclicos fundidos;
1.2 Substituída ou não por um ou mais substituintes no monociclo ou sistema de anéis policíclicos fundidos (-R1), em qualquer extensão, por grupos alquil, alcóxi, haloalquil, haleto ou hidróxi;
1.3 Substituída ou não no átomo de nitrogênio (-R2 e -R3) por um ou dois grupos alquil, aril ou alquil-aril ou por inclusão do átomo de nitrogênio em uma estrutura cíclica;
1.4 Substituída ou não na posição 2 (-R4) por um grupo metil.
1.5 Substituída ou não na posição 3 (-R5) por um grupo alquil.

d) CLASSES ESTRUTURAIS DAS FENILETILAMINAS – Ficam também sob controle desta Lista as feniletilaminas que se enquadram nas seguintes classes estruturais:
1. Qualquer substância que apresente uma estrutura 1-feniletan-2-amina (estruturas 12 e 13):
1.1. Substituída no anel benzênico:
1.1.1. em -R6 e -R7, por dois grupos alquil ou haloalquil na estrutura 12; ou
1.1.2. em -R6 e -R7, por um grupo alquil e um grupo haloalquil na estrutura 12; ou
1.1.3. em carbonos adjacentes, resultando na formação de um ou dois grupos furano, dihidrofurano, tetrahidrofurano, pirano, dihidropirano, pirrol, metilenodioxi ou etilenodioxi na estrutura 13.
1.2. Adicionalmente, substituída ou não no anel benzênico (-R5), em qualquer posição, por um ou mais substituintes alcóxi, alquil, alquenil, alquinil, haleto, haloalquil, hidróxi, nitro, selenioalquil ou tioalquil;
1.3. Substituída ou não na posição 1 (-R4), por grupos acetil, alcóxi, alquil, cicloalquil ou hidróxi;
1.4. Substituída ou não, na posição 2 (-R3), por grupo alquil;
1.5. Substituída ou não, por um ou dois substituintes, no átomo de nitrogênio (-R1 e -R2), por grupos acetil, alquil, benzil, benzil substituído em uma ou mais posições, hidróxi, hidróxi-alquil ou pela inclusão do átomo de nitrogênio em estrutura cíclica.

2. Qualquer substância que apresente uma estrutura 1-fenilpropan-2-amina (estrutura 14):
2.1. Substituída ou não, em qualquer posição, no anel benzênico, por um ou mais substituintes alcóxi, alquil, cicloalquil, haleto, haloalquil, hidróxi, nitro, selenioalquil ou tioalquil (-R5);
2.2. Substituída ou não, na posição 1 (-R4), por grupos acetil, alcóxi, alquil, cicloalquil ou hidróxi;
2.3. Substituída ou não, na posição 3, por grupo alquil (-R3);
2.4. Substituída ou não, por um ou dois substituintes, no átomo de nitrogênio (-R1 e -R2), por grupos alquil, acetil, hidróxi, hidróxi-alquil, benzil, benzil substituído em qualquer posição ou pela inclusão do átomo de nitrogênio em estrutura cíclica.

ADENDO:
1) ficam também sob controle:
1.1. sempre que seja possível a sua existência, todos os sais e isômeros das substâncias desta Lista.
1.2. os seguintes isômeros e suas variantes estereoquímicas da substância TETRAHIDROCANNABINOL:
7,8,9,10-tetrahidro-6,6,9-trimetil-3-pentil-6H-dibenzo[b,d]pirano-1-ol
(9R,10aR)-8,9,10,10a-tetrahidro-6,6,9-trimetil-3-pentil-6H-dibenzo[b,d]pirano-1-ol
(6aR,9R,10aR)-6a,9,10,10a-tetrahidro-6,6,9-trimetil-3-pentil-6H-dibenzo[b,d]pirano-1-ol
(6aR,10aR)-6a,7,10,10a-tetrahidro-6,6,9-trimetil-3-pentil-6H-dibenzo[b,d]pirano-1-ol
6a,7,8,9-tetrahidro-6,6,9-trimetil-3-pentil-6H-dibenzo[b,d]pirano-1-ol
(6aR,10aR)-6a,7,8,9,10,10a-hexahidro-6,6-dimetil-9-metileno-3-pentil-6H-dibenzo[b,d]pirano-1-ol
2) excetua-se dos controles referentes a esta Lista, o isômero fentermina que está relacionado na Lista “B2” deste Regulamento.
3) excetua-se dos controles referentes a esta lista a substância canabidiol, que está relacionada na Lista “C1” deste Regulamento.
4) excetua-se das disposições legais deste Regulamento Técnico a substância ropivacaína.
5) excetua-se dos controles referentes a esta Lista a substância milnaciprana, que está relacionada na lista “C1” deste Regulamento.
6) excetuam-se dos controles referentes a esta lista os medicamentos registrados na Anvisa que possuam em sua formulação a substância tetrahidrocannabinol (THC), desde que sejam atendidas as exigências a serem regulamentadas previamente à concessão do registro.
7) excetuam-se dos controles referentes a esta Lista os isômeros das substâncias classificadas nos itens "b", "c" ou "d", desde que esses isômeros não se enquadrem em nenhuma das classes estruturais descritas nos referidos itens e nem sejam isômeros de substâncias descritas nominalmente no item "a" desta Lista.
8) excetuam-se dos controles referentes aos itens "b", "c" e "d" quaisquer substâncias que estejam descritas nominalmente nas listas deste Regulamento
9) excetua-se dos controles referentes a esta Lista o isômero metazocina, que está relacionado na Lista “A1” deste Regulamento.
10) excetua-se das disposições legais deste Regulamento Técnico a substância mepivacaína.
11) excetua-se dos controles referentes a esta Lista o isômero fendimetrazina, que está relacionado na Lista “B2” deste regulamento.
12) excetua-se das disposições legais deste Regulamento Técnico a substância DEET (N,N-dietil-3-metilbenzamida).
13) excetua-se dos controles referentes a esta Lista o isômero pentazocina, que está relacionado na Lista “B1” deste Regulamento.
14) excetuam-se dos controles referentes a esta Lista os isômeros relacionados nominalmente em outra Lista deste Regulamento.
15) excetuam-se dos controles referentes a esta Lista as substâncias componentes de medicamentos registrados na Anvisa que se enquadrem nos itens "b", "c" ou "d", bem como os medicamentos que as contenham.
16) A importação e a exportação de padrões analíticos à base das substâncias 2C-C, 2C-D, 2C-E, 2C-F, 2C-I, 2C-T-2, 2C-T-7, 2-MeO-DIFENIDINA, 3-FLUOROFENMETRAZINA, 3-MeO-PCP, 4-AcO-DMT, 4-BROMOMETCATINONA, 4-Cl-ALFA-PVP, 4-CLOROMETCATINONA, 4-FLUOROMETCATINONA, 4-HO-MIPT, 4-MEAPP, 5-APB, 5-APDB, 5-EAPB, 5-IAI, 5-MAPDB, 5-MeO-AMT, 5-MeO-DALT, 5-MeO-DIPT, 5-MeO-DMT, 5-MeO-MIPT, 25B-NBOH, 25C-NBF, 25C-NBOH, 25D-NBOME, 25E-NBOH, 25E-NBOME, 25H-NBOH, 25H-NBOME, 25I-NBF, 25I-NBOH, 25N-NBOME, 25P-NBOME, 25T2-NBOME, 25T4-NBOME, 25T7-NBOME, 30C-NBOMe, AKB48, ALFA-EAPP, AMT, BETACETO-DMBDB, DIIDRO-LSD, DIFENIDINA, DIMETILONA, DMAA,DMBA, DOC, DOI, EAM-2201, ERGINA, JWH-071, JWH-072, JWH-081, JWH-098, JWH-122, JWH-210, JWH-250, JWH-251, JWH-252, JWH-253, MAM-2201, MAM-2201 N-(4-hidroxipentil), MAM-2201 N-(5-cloropentil), mCPP, MDAI, METALILESCALINA, N-ACETIL-3,4-MDMC, N-ETILCATINONA, N-ETILHEXEDRONA, PENTILONA, RH-34, SALVINORINA A, TH-PVP e TFMPP, em que a quantidade do ativo sujeito a controle especial não exceda 500 mg por unidade, não requer Autorização de Importação e Autorização de Exportação, respectivamente. O disposto neste adendo também se aplica aos padrões analíticos à base dos sais e isômeros das substâncias citadas, a menos que sejam explicitamente excetuados ou constantes de listas de controle mais restrito e desde que a quantidade do ativo sujeito a controle especial não ultrapasse o limite especificado.
17) excetuam-se dos controles referentes a esta lista os isômeros não listados nominalmente e que sejam componentes de medicamentos registrados na Anvisa, bem como os medicamentos que os contenham.
LISTA F3 – SUBSTÂNCIAS PRECURSORAS
1. FENILPROPANOLAMINA OU NOREFEDRINA
ADENDO:
1) ficam também sob controle todos os sais e isômeros das substâncias enumeradas acima, sempre que seja possível a sua existência.
2) excetuam-se dos controles referentes a esta Lista os isômeros relacionados nominalmente em outra Lista deste regulamento.
3) excetuam-se dos controles referentes a esta lista os isômeros não listados nominalmente e que sejam componentes de medicamentos registrados na Anvisa, bem como os medicamentos que os contenham.
LISTA F4 – OUTRAS SUBSTÂNCIAS
1.DEXFENFLURAMINA
2.DINITROFENOL
3.ESTRICNINA
4.ETRETINATO
5.FENFLURAMINA
6.LINDANO
7.TERFENADINA
ADENDO:
1) ficam também sob controle todos os sais e isômeros das substâncias enumeradas acima, sempre que seja possível a sua existência.
2) fica autorizado o uso de LINDANO como padrão analítico para fins laboratoriais ou monitoramento de resíduos ambientais, conforme legislação específica.
3) excetuam-se dos controles referentes a esta Lista os isômeros relacionados nominalmente em outra Lista deste regulamento.
4) A importação e a exportação de padrões analíticos à base de substâncias constantes desta lista, em que a quantidade do ativo sujeito a controle especial não exceda 500 mg por unidade, não requer Autorização de Importação e Autorização de Exportação, respectivamente. O disposto neste adendo também se aplica aos padrões analíticos à base dos sais e isômeros das substâncias, a menos que sejam explicitamente excetuados ou constantes de listas de controle mais restrito e desde que a quantidade do ativo sujeito a controle especial não ultrapasse o limite especificado.
5) excetuam-se dos controles referentes a esta lista os isômeros não listados nominalmente e que sejam componentes de medicamentos registrados na Anvisa, bem como os medicamentos que os contenham.