|
Presidência
da República |
PROJETO DE LEI
|
Consolida a legislação que dispõe sobre os Planos de Benefícios e Custeio da Previdência Social e sobre a organização da Seguridade Social. |
O CONGRESSO NACIONAL decreta:
LIVRO I
DOS CONCEITOS E
DOS PRINCÍPIOS
TÍTULO I
DA SEGURIDADE
SOCIAL
Art. 1o A Seguridade Social compreende um conjunto integrado de ações de iniciativa dos poderes públicos e da sociedade, destinado a assegurar o direito relativo à Saúde, à Previdência Social e à Assistência Social.
Parágrafo único. A Seguridade Social obedecerá aos seguintes princípios e diretrizes:
I - universalidade da cobertura e do atendimento;
II - uniformidade e equivalência dos benefícios e serviços às populações urbanas e rurais;
III - seletividade e distributividade na prestação dos benefícios e serviços;
IV - irredutibilidade do valor dos benefícios;
V - eqüidade na forma de participação no custeio;
VI - diversidade da base de financiamento; e
VII - caráter democrático e descentralizado da gestão administrativa com a participação da comunidade, em especial dos trabalhadores, dos empregadores, dos aposentados e do Governo nos órgãos colegiados.
TÍTULO II
DA SAÚDE
Art. 2o A Saúde é direito de todos e dever do Estado, garantido mediante políticas sociais e econômicas que visem à redução do risco de doença e de outros agravos e ao acesso universal e igualitário às ações e serviços para sua promoção, proteção e recuperação.
Parágrafo único. As atividades de Saúde são de relevância pública e sua organização obedecerá aos seguintes princípios e diretrizes:
I - acesso universal e igualitário;
II - provimento das ações e serviços por intermédio de rede regionalizada e hierarquizada, integrados em sistema único;
III - descentralização, com direção única em cada esfera de governo;
IV - atendimento integral, com prioridade para as atividades preventivas;
V - participação da comunidade na gestão, fiscalização e acompanhamento das ações e serviços de Saúde; e
VI - participação da iniciativa privada na assistência à saúde, respeitados os preceitos constitucionais.
TÍTULO III
DA ASSISTÊNCIA SOCIAL
Art. 3o A Assistência Social é a política social que provê o atendimento das necessidades básicas, traduzidas em proteção à família, à maternidade, à infância, à adolescência, à velhice e à pessoa portadora de deficiência, independentemente de contribuição à Seguridade Social.
Parágrafo único. A organização da Assistência Social obedecerá às seguintes diretrizes:
I - descentralização político-administrativa; e
II - participação da população na formulação e controle das ações em todos os níveis.
TÍTULO IV
DA PREVIDÊNCIA SOCIAL
Art. 4o A Previdência Social, mediante contribuição, tem por fim assegurar aos seus beneficiários meios indispensáveis de manutenção, por motivo de incapacidade, desemprego involuntário, idade avançada, tempo de contribuição, encargos de família e reclusão ou morte daqueles de quem dependiam economicamente.
Art. 5o A Previdência Social rege-se pelos seguintes princípios e objetivos:
I - universalidade de participação nos planos previdenciários;
II - uniformidade e equivalência dos benefícios e serviços às populações urbanas e rurais;
III - seletividade e distributividade na prestação dos benefícios;
IV - cálculo dos benefícios considerando-se os salários-de-contribuição atualizados monetariamente;
V - irredutibilidade do valor dos benefícios de forma a preservar-lhes o poder aquisitivo;
VI - preservação do valor real dos benefícios;
VII - valor da renda mensal dos benefícios substitutos do salário-de-contribuição ou do rendimento do trabalho do segurado não inferior ao do salário mínimo; e
VIII - caráter democrático e descentralizado da gestão administrativa, com a participação da comunidade, em especial dos trabalhadores, dos empregadores, dos aposentados e do Governo nos órgãos colegiados.
Parágrafo único. A participação referida no inciso VIII será efetivada a nível federal, estadual e municipal.
LIVRO II
DO PLANO DE BENEFÍCIOS
DA PREVIDÊNCIA SOCIAL
TÍTULO I
DO REGIME GERAL DE
PREVIDÊNCIA SOCIAL - RGPS
CAPÍTULO I
DA ABRANGÊNCIA
Art. 6o A Previdência Social, atendida pelo Regime Geral de Previdência Social, garante a cobertura de todas as situações expressas no art. 4o, exceto a de desemprego involuntário, objeto de lei específica.
CAPÍTULO II
DOS BENEFICIÁRIOS
Seção I
Da Classificação
Art. 7o Os beneficiários do Regime Geral de Previdência Social classificam-se como segurados e dependentes, nos termos das Seções II e IV deste Capítulo.
Seção II
Dos Segurados
Art. 8o São segurados obrigatórios da Previdência Social as seguintes pessoas físicas:
I - como empregado:
a) aquele que presta serviço de natureza urbana ou rural à empresa, em caráter não eventual, sob sua subordinação e mediante remuneração, inclusive como diretor empregado;
b) aquele que, contratado por empresa de trabalho temporário, definida em legislação específica, presta serviço para atender a necessidade transitória de substituição de pessoal regular e permanente ou a acréscimo extraordinário de serviços de outras empresas;
c) o brasileiro ou estrangeiro domiciliado e contratado no Brasil para trabalhar como empregado no exterior, em sucursal ou agência de empresa constituída sob as leis brasileiras e que tenha sede e administração no País;
d) aquele que presta serviço no Brasil a missão diplomática ou a repartição consular de carreira estrangeira e a órgãos a ela subordinados, ou a membros dessas missões e repartições, excluídos o não-brasileiro sem residência permanente no Brasil e o brasileiro amparado pela legislação previdenciária do país da respectiva missão diplomática ou repartição consular;
e) o brasileiro civil que trabalha para a União, no exterior, em organismos oficiais brasileiros ou internacionais dos quais o Brasil seja membro efetivo, ainda que lá domiciliado e contratado, salvo se segurado na forma da legislação vigente do país do domicílio;
f) o empregado de organismo oficial internacional ou estrangeiro em funcionamento no Brasil, salvo quando coberto por regime próprio de previdência social;
g) o brasileiro ou estrangeiro domiciliado e contratado no Brasil para trabalhar como empregado em empresa domiciliada no exterior, com maioria do capital votante pertencente à empresa constituída sob as leis brasileiras e que tenha sede e administração no País;
h) o servidor público ocupante, exclusivamente, de cargo em comissão declarado em lei de livre nomeação e exoneração, bem como de outro cargo temporário ou de emprego público, da União, Estados, Distrito Federal e Municípios e suas respectivas autarquias, inclusive em regime especial, e fundações públicas;
i) o exercente de mandato eletivo federal, estadual ou municipal, desde que não vinculado a regime próprio de previdência social;
j) o escrevente e o auxiliar contratados por titular de serviços notariais e oficiais de registro;
l) a pessoa contratada pela União, Estados, Distrito Federal ou Municípios, bem como pelas respectivas autarquias e fundações, por tempo determinado, para atender a necessidade temporária de excepcional interesse público, nos termos do inciso IX do art. 37 da Constituição Federal;
m) o auxiliar local de nacionalidade brasileira, que presta serviços à União no exterior em repartições governamentais brasileiras, lá domiciliado e contratado, inclusive o auxiliar civil de mesma nacionalidade que presta serviços aos órgãos de representação das Forças Armadas brasileiras no exterior, desde que, em razão de proibição legal, não possa filiar-se ao sistema previdenciário local; e
n) o atleta profissional;
II - como trabalhador avulso: quem presta, a diversas empresas, sem vínculo empregatício, serviços de natureza urbana ou rural definidos no regulamento;
III - como empregado doméstico: aquele que presta serviço de natureza contínua a pessoa ou família, no âmbito residencial desta, em atividades sem fins lucrativos;
IV - como contribuinte individual:
a) o titular de firma individual urbana ou rural, o diretor não empregado e o membro de conselho de administração de sociedade anônima, o sócio-solidário, o sócio de indústria, o sócio-gerente e o sócio-cotista que recebam remuneração decorrente de seu trabalho em empresa urbana ou rural, e o associado eleito para cargo de direção em cooperativa, associação ou entidade de qualquer natureza ou finalidade, bem como o síndico ou administrador eleito para exercer atividade de direção condominial, desde que recebam remuneração;
b) a pessoa física que exerce, por conta própria, atividade econômica de natureza urbana, com fins lucrativos ou não;
c) quem presta serviço de natureza urbana ou rural, em caráter eventual, a uma ou mais empresas, sem relação de emprego;
d) a pessoa física, proprietária ou não, que explora atividade agropecuária ou pesqueira, em caráter permanente ou temporário, diretamente com auxílio de empregados, utilizados a qualquer título, ainda que de forma não contínua ou por intermédio de prepostos;
e) a pessoa física, proprietária ou não, que explora atividade de extração mineral - garimpo -, em caráter permanente ou temporário, diretamente ou por intermédio de prepostos, com ou sem o auxílio de empregados, utilizados a qualquer título, ainda que de forma não contínua;
f) o ministro de confissão religiosa e o membro de instituto de vida consagrada, de congregação ou de ordem religiosa;
g) o brasileiro civil que trabalha no exterior para organismo oficial internacional do qual o Brasil é membro efetivo, ainda que lá domiciliado e contratado, salvo quando coberto por regime próprio de previdência social;
h) o médico-residente;
i) o notário e o oficial de registro, titular de cartório, que detêm a delegação do exercício da atividade notarial e de registros, não remunerados pelos cofres públicos;
j) o árbitro e o auxiliar de arbitragem;
l) a pessoa que exerce atividade de auxiliar de condutor autônomo de veículo rodoviário em veículo cedido em regime de colaboração por condutor autônomo, observado o disposto no § 4o;
m) a pessoa que, pessoalmente, por conta própria e a seu risco, exerce pequena atividade comercial em via pública ou de porta em porta, como comerciante ambulante, nos termos da lei específica; e
V - como segurado especial: o produtor, o parceiro, o meeiro e o arrendatário rurais, o pescador artesanal e o assemelhado, que exerçam essas atividades individualmente ou em regime de economia familiar, ainda que com auxílio eventual de terceiros, bem como seus respectivos cônjuges ou companheiros e filhos maiores de dezesseis anos ou a eles equiparados, desde que trabalhem, comprovadamente, com o grupo familiar respectivo.
§ 1o Todo aquele que exercer, concomitantemente, mais de uma atividade remunerada sujeita ao Regime Geral de Previdência Social é obrigatoriamente filiado em relação a cada uma delas.
§ 2o O aposentado pelo Regime Geral de Previdência Social que estiver exercendo ou que voltar a exercer atividade abrangida por este Regime é segurado obrigatório em relação a essa atividade, ficando sujeito às contribuições de que trata esta Lei, para fins de custeio da Seguridade Social.
§ 3o Aplica-se o disposto na alínea "h" do inciso I do caput ao ocupante de cargo de Ministro de Estado, de Secretário Estadual, Distrital ou Municipal, sem vínculo efetivo com a União, Estados, Distrito Federal e Municípios, suas autarquias, ainda que em regime especial, e fundações.
§ 4o Para fins de filiação ao Regime Geral de Previdência Social da pessoa que exerce atividade de auxiliar de condutor autônomo de veículo rodoviário, como contribuinte individual, a cessão de veículo por condutor autônomo de veículo rodoviário em regime de colaboração é limitada a, no máximo, dois condutores auxiliares.
§ 5o Entende-se como regime de economia familiar a atividade em que o trabalho dos membros da família é indispensável à própria subsistência e é exercido em condições de mútua dependência e colaboração, sem a utilização de empregados.
§ 6o O aposentado de qualquer regime previdenciário que exercer a magistratura nos termos dos arts. 121 e 122 vincula-se, obrigatoriamente, ao Regime Geral de Previdência Social.
§ 7o O dirigente sindical mantém, durante o exercício do mandato eletivo, o mesmo enquadramento no Regime Geral de Previdência Social de antes da investidura.
§ 8o O Instituto Nacional do Seguro Social - INSS instituirá Carteira de Identificação e Contribuição, sujeita à renovação anual, nos termos do regulamento, que será exigida:
I - da pessoa física, referida na alínea "d" do inciso IV do caput, para fins de sua inscrição como segurado e habilitação aos benefícios de que trata esta Lei; e
II - do segurado especial, referido no inciso V do caput, para sua inscrição, comprovação da qualidade de segurado e do exercício de atividade rural e habilitação aos benefícios de que trata esta Lei.
Art. 9o O servidor civil ocupante de cargo efetivo ou o militar da União, dos Estados, do Distrito Federal ou dos Municípios, bem como o das respectivas autarquias e fundações, são excluídos do Regime Geral de Previdência Social consubstanciado nesta Lei, desde que amparados por regime próprio de previdência social.
§ 1o Caso o servidor ou o militar venha a exercer, concomitantemente, uma ou mais atividades abrangidas pelo Regime Geral de Previdência Social, tornar-se-á segurado obrigatório em relação a essas atividades.
§ 2o Caso o servidor ou o militar, amparado por regime próprio de previdência social, seja requisitado para outro órgão ou entidade cujo regime previdenciário não permita a filiação nessa condição, permanecerá vinculado ao regime de origem, obedecidas as regras que cada ente estabeleça acerca de sua contribuição.
Art. 10. É segurado facultativo o maior de dezesseis anos de idade que se filiar ao Regime Geral de Previdência Social, mediante contribuição, na forma do art. 168, desde que não incluído nas disposições do art. 8o e não vinculado a regime próprio de previdência social.
Art. 11. Considera-se, para os efeitos desta Lei:
I - empresa - a firma individual ou sociedade que assume o risco de atividade econômica urbana ou rural, com fins lucrativos ou não, bem como os órgãos e entidades da administração pública direta, indireta e fundacional; e
II - empregador doméstico - a pessoa ou família que admite a seu serviço, sem finalidade lucrativa, empregado doméstico.
§ 1o Equipara-se à empresa, para os efeitos desta Lei, o contribuinte individual em relação a segurado que lhe presta serviço, bem como a cooperativa, a associação ou entidade de qualquer natureza ou finalidade, a missão diplomática e a repartição consular de carreira estrangeiras.
§ 2o Não se aplica o disposto no § 1o, para os efeitos dos incisos V e VI do art. 201 e dos arts. 232 e 233, ao contribuinte individual em relação a segurado que lhe presta serviço.
Seção
III
Da Manutenção e da Perda da Qualidade de Segurado
Art. 12. Mantém a qualidade de segurado, independentemente de contribuições:
I - sem limite de prazo, quem está em gozo de benefício;
II - até doze meses após a cessação das contribuições, o segurado que deixar de exercer atividade remunerada abrangida pela Previdência Social ou estiver suspenso ou licenciado sem remuneração;
III - até doze meses após cessar a segregação, o segurado acometido de doença de segregação compulsória;
IV - até doze meses após o livramento, o segurado retido ou recluso;
V - até três meses após o licenciamento, o segurado incorporado às Forças Armadas para prestar serviço militar; e
VI - até seis meses após a cessação das contribuições, o segurado facultativo.
§ 1o O prazo do inciso II será prorrogado para até vinte e quatro meses se o segurado já tiver pago mais de cento e vinte contribuições mensais sem interrupção que acarrete a perda da qualidade de segurado.
§ 2o Os prazos do inciso II ou do § 1o serão acrescidos de doze meses para o segurado desempregado, desde que comprovada essa situação pelo registro no órgão próprio do Ministério do Trabalho e Emprego.
§ 3o Durante os prazos deste artigo, o segurado conserva todos os seus direitos perante a Previdência Social.
§ 4o O reconhecimento da perda da qualidade de segurado ocorrerá no dia seguinte ao do término do prazo fixado no Plano de Custeio da Seguridade Social para recolhimento da contribuição referente ao mês imediatamente posterior ao do final dos prazos fixados neste artigo e seus parágrafos.
Seção
IV
Dos Dependentes
Art. 13. São beneficiários do Regime Geral de Previdência Social, na condição de dependentes do segurado:
I - o cônjuge, a companheira, o companheiro e o filho não emancipado, de qualquer condição, menor de vinte e um anos ou inválido;
II - os pais; ou
III - o irmão não emancipado, de qualquer condição, menor de vinte e um anos ou inválido.
§ 1o A existência de dependente de qualquer das classes deste artigo exclui do direito às prestações os das classes seguintes.
§ 2o O enteado e o menor tutelado equiparam-se a filho mediante declaração do segurado e desde que comprovada a dependência econômica na forma estabelecida no regulamento.
§ 3o Considera-se companheira ou companheiro a pessoa que, sem ser casada, mantém união estável com o segurado ou com a segurada, de acordo com o § 3o do art. 226 da Constituição Federal.
§ 4o A dependência econômica das pessoas indicadas no inciso I é presumida e a das demais deve ser comprovada.
Seção V
Das Inscrições
Art. 14. O regulamento disciplinará a forma de inscrição do segurado e dos dependentes.
§ 1o Incumbe ao dependente promover a sua inscrição quando do requerimento do benefício a que estiver habilitado.
§ 2o O cancelamento da inscrição do cônjuge se processa em face de separação judicial ou divórcio sem direito a alimentos, certidão de anulação de casamento, certidão de óbito ou sentença judicial, transitada em julgado.
§ 3o A Previdência Social poderá emitir identificação específica, para os segurados referidos no inciso V do art. 8o e no art. 10, para produzir efeitos exclusivamente perante ela, inclusive com a finalidade de provar a filiação.
CAPÍTULO III
DAS PRESTAÇÕES
EM GERAL
Seção
I
Das Espécies de Prestações
Art. 15. O Regime Geral de Previdência Social compreende as seguintes prestações, devidas inclusive em razão de eventos decorrentes de acidente do trabalho, expressas em benefícios e serviços:
I - quanto ao segurado:
a) aposentadoria por invalidez;
b) aposentadoria por idade;
c) aposentadoria por tempo de contribuição;
d) aposentadoria especial;
e) auxílio-doença;
f) salário-família;
g) salário-maternidade; e
h) auxílio-acidente;
II - quanto ao dependente:
a) pensão por morte; e
b) auxílio-reclusão;
III - quanto ao segurado e dependente:
a) serviço social; e
b) reabilitação profissional.
§ 1o Somente poderão beneficiar-se do auxílio-acidente os segurados incluídos nos incisos I, II e V do art. 8o.
§ 2o O aposentado pelo Regime Geral de Previdência Social que permanecer em atividade sujeita a este Regime, ou a ele retornar, não fará jus à prestação alguma da Previdência Social em decorrência do exercício dessa atividade, exceto ao salário-família e à reabilitação profissional, quando empregado.
Art. 16. Acidente do trabalho é o que ocorre pelo exercício do trabalho a serviço da empresa ou pelo exercício do trabalho dos segurados referidos no inciso V do art. 8o, provocando lesão corporal ou perturbação funcional que cause a morte ou a perda ou redução, permanente ou temporária, da capacidade para o trabalho.
§ 1o A empresa é responsável pela adoção e uso das medidas coletivas e individuais de proteção e segurança da saúde do trabalhador.
§ 2o Constitui contravenção penal, punível com multa, deixar a empresa de cumprir as normas de segurança e higiene do trabalho.
§ 3o É dever da empresa prestar informações pormenorizadas sobre os riscos da operação a executar e do produto a manipular.
§ 4o Os Ministérios do Trabalho e Emprego e da Previdência e Assistência Social fiscalizarão, e os sindicatos e entidades representativas de classe acompanharão o fiel cumprimento do disposto nos §§ 1o a 3o, conforme dispuser o regulamento.
Art. 17. Consideram-se acidente do trabalho, nos termos do art. 16, as seguintes entidades mórbidas:
I - doença profissional, assim entendida a produzida ou desencadeada pelo exercício do trabalho peculiar a determinada atividade e constante da respectiva relação elaborada pelo Ministério da Previdência e Assistência Social; e
II - doença do trabalho, assim entendida a adquirida ou desencadeada em função de condições especiais em que o trabalho é realizado e com ele se relacione diretamente, constante da relação mencionada no inciso I.
§ 1o Não são consideradas como doença do trabalho:
I - a doença degenerativa;
II - a inerente a grupo etário;
III - a que não produza incapacidade laborativa; e
IV - a doença endêmica adquirida por segurado habitante de região em que ela se desenvolva, salvo comprovação de que é resultante de exposição ou contato direto determinado pela natureza do trabalho.
§ 2o Em caso excepcional, constatando-se que a doença não incluída na relação prevista nos incisos I e II do caput resultou das condições especiais em que o trabalho é executado e com ele se relaciona diretamente, a Previdência Social deve considerá-la acidente do trabalho.
Art. 18. Equiparam-se também ao acidente do trabalho, para efeitos desta Lei:
I - o acidente ligado ao trabalho que, embora não tenha sido a causa única, haja contribuído diretamente para a morte do segurado, para redução ou perda da sua capacidade para o trabalho, ou produzido lesão que exija atenção médica para a sua recuperação;
II - o acidente sofrido pelo segurado no local e no horário do trabalho, em conseqüência de:
a) ato de agressão, sabotagem ou terrorismo praticado por terceiro ou companheiro de trabalho;
b) ofensa física intencional, inclusive de terceiro, por motivo de disputa relacionada ao trabalho;
c) ato de imprudência, de negligência ou de imperícia de terceiro ou de companheiro de trabalho;
d) ato de pessoa privada do uso da razão; e
e) desabamento, inundação, incêndio e outros casos fortuitos ou decorrentes de força maior;
III - a doença proveniente de contaminação acidental do empregado no exercício de sua atividade; e
IV - o acidente sofrido pelo segurado ainda que fora do local e horário de trabalho:
a) na execução de ordem ou na realização de serviço sob a autoridade da empresa;
b) na prestação espontânea de qualquer serviço à empresa para lhe evitar prejuízo ou proporcionar proveito;
c) em viagem a serviço da empresa, inclusive para estudo, quando financiada por esta dentro de seus planos para melhor capacitação da mão-de-obra, independentemente do meio de locomoção utilizado, inclusive veículo de propriedade do segurado; e
d) no percurso da residência para o local de trabalho ou deste para aquela, qualquer que seja o meio de locomoção, inclusive veículo de propriedade do segurado.
§ 1o Nos períodos destinados a refeição ou descanso, ou por ocasião da satisfação de outras necessidades fisiológicas, no local do trabalho ou durante este, o empregado é considerado no exercício do trabalho.
§ 2o Não é considerada agravação ou complicação de acidente do trabalho a lesão que, resultante de acidente de outra origem, se associe ou se superponha às conseqüências do anterior.
Art. 19. A empresa deverá comunicar o acidente do trabalho à Previdência Social até o primeiro dia útil seguinte ao da ocorrência e, em caso de morte, de imediato, à autoridade competente, sob pena de multa variável entre o limite mínimo e o limite máximo do salário-de-contribuição, sucessivamente aumentada nas reincidências, aplicada e cobrada pela Previdência Social.
§ 1o Da comunicação a que se refere este artigo receberão cópia fiel o acidentado ou seus dependentes, bem como o sindicato a que corresponda a sua categoria.
§ 2o Na falta de comunicação por parte da empresa, pode formalizá-la o próprio acidentado, seus dependentes, a entidade sindical competente, o médico que o assistiu ou qualquer autoridade pública, não prevalecendo nestes casos o prazo previsto neste artigo.
§ 3o A comunicação a que se refere o § 2o não exime a empresa de responsabilidade pela falta do cumprimento do disposto neste artigo.
§ 4o Os sindicatos e entidades representativas de classe poderão acompanhar a cobrança, pela Previdência Social, das multas previstas neste artigo.
Art. 20. Considera-se como dia do acidente, no caso de doença profissional ou do trabalho, a data do início da incapacidade laborativa para o exercício da atividade habitual, ou o dia da segregação compulsória, ou o dia em que for realizado o diagnóstico, valendo para este efeito o que ocorrer primeiro.
Seção
II
Dos Períodos de Carência
Art. 21. Considera-se período de carência o número mínimo de contribuições mensais efetuadas indispensáveis para que o beneficiário faça jus ao benefício, consideradas a partir do transcurso do primeiro dia dos meses de suas competências.
Parágrafo único. Havendo perda da qualidade de segurado, as contribuições anteriores a essa data só serão computadas para efeito de carência depois que o segurado contar, a partir da nova filiação à Previdência Social, com, no mínimo, um terço do número de contribuições exigidas para o cumprimento da carência definida para o benefício a ser requerido.
Art. 22. A concessão das prestações pecuniárias do Regime Geral de Previdência Social depende dos seguintes períodos de carências, ressalvado o disposto no art. 23:
I - auxílio-doença e aposentadoria por invalidez: doze contribuições mensais;
II - aposentadoria por idade, aposentadoria por tempo de contribuição e aposentadoria especial: cento e oitenta contribuições mensais; e
III - salário-maternidade para as seguradas de que tratam os incisos IV e V do art. 8o e o art. 10: dez contribuições mensais, respeitado o disposto no parágrafo único do art. 37.
Parágrafo único. Em caso de parto antecipado, o período de carência a que se refere o inciso III será reduzida em número de contribuições equivalente ao número de meses em que o parto foi antecipado.
Art. 23. Independe de carência a concessão das seguintes prestações:
I - pensão por morte, auxílio-reclusão, salário-família e auxílio-acidente;
II - auxílio-doença e aposentadoria por invalidez nos casos de acidente de qualquer natureza ou causa e de doença profissional ou do trabalho, bem como nos casos de segurado que, após filiar-se ao Regime Geral de Previdência Social, for acometido de alguma das doenças e afecções especificadas em lista elaborada pelos Ministérios da Saúde e da Previdência e Assistência Social a cada três anos, de acordo com os critérios de estigma, deformação, mutilação, deficiência, ou outro fator que lhe confira especificidade e gravidade que mereçam tratamento particularizado;
III - os benefícios concedidos na forma do inciso I do art. 37, aos segurados especiais referidos no inciso V do art. 8o;
IV - serviço social;
V - reabilitação profissional; e
VI - salário-maternidade para as seguradas empregada, trabalhadora avulsa e empregada doméstica.
Art. 24. Para cômputo do período de carência, serão consideradas as contribuições:
I - a partir da data da filiação ao Regime Geral de Previdência Social, no caso dos segurados empregados e trabalhadores avulsos referidos nos incisos I e II do art. 8o; e
II - realizadas a contar da data do efetivo pagamento da primeira contribuição sem atraso, não sendo consideradas para este fim as contribuições recolhidas com atraso referentes a competências anteriores, no caso dos segurados empregado doméstico, contribuinte individual, especial e facultativo, referidos, respectivamente, nos incisos III, IV e V do art. 8o e no art. 10.
Seção
III
Do
Cálculo do Valor dos Benefícios
Subseção
I
Do Salário-de-benefício
Art. 25. O valor do benefício de prestação continuada, inclusive o regido por norma especial e o decorrente de acidente do trabalho, exceto o salário-família e o salário-maternidade, será calculado com base no salário-de-benefício.
Art. 26. O salário-de-benefício consiste:
I - para os benefícios de que tratam as alíneas "b" e "c" do inciso I do art. 15, na média aritmética simples dos maiores salários-de-contribuição correspondentes a oitenta por cento de todo o período contributivo, multiplicada pelo fator previdenciário; e
II - para os benefícios de que tratam as alíneas "a", "d", "e" e "h" do inciso I do art. 15, na média aritmética simples dos maiores salários-de-contribuição correspondentes a oitenta por cento de todo o período contributivo.
§ 1o O valor do salário-de-benefício não será inferior ao de um salário mínimo, nem superior ao do limite máximo do salário-de-contribuição na data de início do benefício.
§ 2o Serão considerados para cálculo do salário-de-benefício os ganhos habituais do segurado empregado, a qualquer título, sob forma de moeda corrente ou de utilidades, sobre os quais tenham incidido contribuições previdenciárias, exceto o décimo terceiro salário.
§ 3o Não será considerado, para o cálculo do salário-de-benefício, o aumento dos salários-de-contribuição que exceder o limite legal, inclusive o voluntariamente concedido nos trinta e seis meses imediatamente anteriores ao início do benefício, salvo se homologado pela Justiça do Trabalho, resultante de promoção regulada por normas gerais da empresa, admitida pela legislação do trabalho, de sentença normativa ou de reajustamento salarial obtido pela categoria respectiva.
§ 4o Se, no período básico de cálculo, o segurado tiver recebido benefícios por incapacidade, sua duração será contada, considerando-se como salário-de-contribuição, no período, o salário-de-benefício que serviu de base para o cálculo da renda mensal, reajustado nas mesmas épocas e bases dos benefícios em geral, não podendo ser inferior ao valor de um salário mínimo.
§ 5o No caso de segurado especial, o salário-de-benefício, que não será inferior ao salário mínimo, consiste:
I - para os benefícios de que tratam as alíneas "b" e "c" do inciso I do art. 15, em um treze avos da média aritmética simples dos maiores valores sobre os quais incidiu a sua contribuição anual, correspondentes a oitenta por cento de todo o período contributivo, multiplicada pelo fator previdenciário; e
II - para os benefícios de que tratam as alíneas "a", "d", "e" e "h" do inciso I do art. 15, em um treze avos da média aritmética simples dos maiores valores sobre os quais incidiu a sua contribuição anual, correspondentes a oitenta por cento de todo o período contributivo.
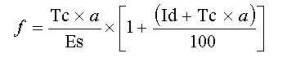
§ 6o O fator previdenciário será
calculado considerando-se a idade, a expectativa de sobrevida e o tempo de
contribuição do segurado ao se aposentar, segundo a fórmula a seguir, onde (f) representa
o fator previdenciário; (Es) a expectativa de sobrevida no momento da
aposentadoria; (Tc) o tempo de contribuição até o momento da
aposentadoria; (Id) a idade no momento da aposentadoria; e (a) a
alíquota de contribuição correspondente a 0,31:
|
|
|
§ 7o Para efeito do disposto no § 6o, a expectativa de sobrevida do segurado na idade da aposentadoria será obtida a partir da tábua completa de mortalidade construída pela Fundação Instituto Brasileiro de Geografia e Estatística - IBGE, considerando-se a média nacional única para ambos os sexos.
§ 8o Para efeito da aplicação do fator previdenciário, ao tempo de contribuição do segurado serão adicionados:
I - cinco anos, quando se tratar de mulher;
II - cinco anos, quando se tratar de professor que comprove exclusivamente tempo de efetivo exercício das funções de magistério na educação infantil e no ensino fundamental e médio; e
III - dez anos, quando se tratar de professora que comprove exclusivamente tempo de efetivo exercício das funções de magistério na educação infantil e no ensino fundamental e médio.
Art. 27. Os salários-de-contribuição utilizados no cálculo do salário-de-benefício serão atualizados, mês a mês, de acordo com a variação do Índice Geral de Preços - Disponibilidade Interna - IGP-DI, referente ao período decorrido a partir da primeira competência que compõe o período básico de cálculo até o mês anterior ao do início do benefício, de modo a preservar os seus valores reais.
Parágrafo único. Na hipótese de a média apurada nos termos deste artigo resultar superior ao limite máximo do salário-de-contribuição vigente no mês de início do benefício, a diferença percentual entre esta média e o referido limite será incorporada ao valor do benefício juntamente com o primeiro reajuste do mesmo após a concessão, observado que nenhum benefício assim reajustado poderá superar o limite máximo do salário-de-contribuição vigente na competência em que ocorrer o reajuste.
Art. 28. É garantido ao segurado com direito a aposentadoria por idade a opção pela não aplicação do fator previdenciário a que se refere o art. 26.
Art. 29. O valor mensal do auxílio-acidente integra o salário-de-contribuição, para fins de cálculo do salário-de-benefício de qualquer aposentadoria, observado, no que couber, o disposto no art. 26.
Art. 30. O salário-de-benefício do segurado que contribuir em razão de atividades concomitantes será calculado com base na soma dos salários-de-contribuição das atividades exercidas na data do requerimento ou do óbito, ou no período básico de cálculo, observado o disposto no art. 26 e as normas seguintes:
I - quando o segurado satisfizer, em relação a cada atividade, as condições do benefício requerido, o salário-de-benefício será calculado com base na soma dos respectivos salários-de-contribuição;
II - quando não se verificar a hipótese do inciso I, o salário-de-benefício corresponderá à soma das seguintes parcelas:
a) o salário-de-benefício calculado com base nos salários-de-contribuição das atividades em relação às quais são atendidas as condições do benefício requerido; e
b) um percentual da média do salário-de-contribuição de cada uma das demais atividades, equivalente à relação entre o número de meses completos de contribuição e os períodos de carência do benefício requerido; e
III - quando se tratar de benefício por tempo de contribuição, o percentual da alínea "b" do inciso II será o resultante da relação entre os anos completos de atividade e o número de anos de contribuição considerado para a concessão do benefício.
§ 1o O disposto neste artigo não se aplica ao segurado que, em obediência ao limite máximo do salário-de-contribuição, contribuiu apenas por uma das atividades concomitantes.
§ 2o Não se aplica o disposto neste artigo ao segurado que tenha sofrido redução do salário-de-contribuição das atividades concomitantes em respeito ao limite máximo desse salário.
Subseção
II
Da Renda Mensal do Benefício
Art. 31. A renda mensal do benefício de prestação continuada que substituir o salário-de-contribuição ou o rendimento do trabalho do segurado não terá valor inferior ao do salário mínimo, nem superior ao do limite máximo do salário-de-contribuição, ressalvado o disposto no art. 42.
Art. 32. No cálculo do valor da renda mensal do benefício, inclusive o decorrente de acidente do trabalho, serão computados:
I - para o segurado empregado e trabalhador avulso, os salários-de-contribuição referentes aos meses de contribuições devidas, ainda que não recolhidas pela empresa, sem prejuízo da respectiva cobrança e da aplicação das penalidades cabíveis;
II - para o segurado empregado, o trabalhador avulso e o segurado especial, o valor mensal do auxílio-acidente, considerado como salário-de-contribuição para fins de concessão de qualquer aposentadoria, nos termos do art. 29; e
III - para os demais segurados, os salários-de-contribuição referentes aos meses de contribuições efetivamente recolhidas.
Art. 33. Ao segurado empregado e ao trabalhador avulso que tenham cumprido todas as condições para a concessão do benefício pleiteado, mas não possam comprovar o valor dos seus salários-de-contribuição no período básico de cálculo, será concedido o benefício de valor mínimo, devendo esta renda ser recalculada, quando da apresentação de prova dos salários-de-contribuição.
Art. 34. Para o segurado empregado doméstico que, tendo satisfeito as condições exigidas para a concessão do benefício requerido, não comprovar o efetivo recolhimento das contribuições devidas, será concedido o benefício de valor mínimo, devendo sua renda ser recalculada quando da apresentação da prova do recolhimento das contribuições.
Art. 35. A renda mensal inicial, recalculada de acordo com o disposto nos arts. 33 e 34, deve ser reajustada como a dos benefícios correspondentes com igual data de início e substituirá, a partir da data do requerimento de revisão do valor do benefício, a renda mensal que prevalecia até então.
Art. 36. Sem prejuízo do disposto nos arts. 33 e 34, cabe à Previdência Social manter cadastro dos segurados com todos os informes necessários para o cálculo da renda mensal dos benefícios.
Art. 37. Para os segurados especiais, referidos no inciso V do art. 8o, fica garantida a concessão:
I - de aposentadoria por idade ou por invalidez, de auxílio-doença, de auxílio-reclusão ou de pensão, no valor de um salário mínimo, desde que comprove o exercício de atividade rural, ainda que de forma descontínua, no período imediatamente anterior ao requerimento do benefício, igual ao número de meses correspondentes à carência do benefício requerido; ou
II - dos benefícios especificados nesta Lei, observados os critérios e a forma de cálculo estabelecidos, desde que contribuam facultativamente para a Previdência Social, na forma estipulada no Plano de Custeio da Seguridade Social.
Parágrafo único. Para a segurada especial fica garantida a concessão do salário-maternidade no valor de um salário mínimo, desde que comprove o exercício de atividade rural, ainda que de forma descontínua, nos doze meses imediatamente anteriores ao do início do benefício.
Seção
IV
Do Reajustamento do Valor dos Benefícios
Art. 38. É assegurado o reajustamento dos valores dos benefícios para preservar-lhes, em caráter permanente, o valor real da data de sua concessão.
§ 1o Os benefícios mantidos pela Previdência Social serão reajustados em junho de cada ano.
§ 2o Nenhum benefício reajustado poderá exceder o limite máximo do salário-de-benefício na data do reajustamento, respeitados os direitos adquiridos.
§ 3o Os benefícios devem ser pagos do primeiro ao décimo dia útil do mês seguinte ao de sua competência, observada a distribuição proporcional do número de beneficiários por dia de pagamento.
§ 4o Em caso de comprovada inviabilidade operacional e financeira do INSS, o Conselho Nacional de Previdência Social poderá autorizar, em caráter excepcional, que o pagamento dos benefícios de prestação continuada concedidos a partir de 1o de agosto de 1992 seja efetuado do décimo primeiro ao décimo segundo dia útil do mês seguinte ao de sua competência, retornando-se à regra geral, disposta no § 3o, tão logo superadas as dificuldades.
§ 5o O primeiro pagamento de renda mensal do benefício será efetuado até quarenta e cinco dias após a data da apresentação, pelo segurado, da documentação necessária a sua concessão.
§ 6o Os valores das parcelas referentes a benefícios pagos com atraso pela Previdência Social, por sua responsabilidade, observado o prazo previsto no § 5o, serão atualizados monetariamente pela variação acumulada do Índice Geral de Preços - Disponibilidade Interna entre o mês da competência a que se refiram e o mês imediatamente anterior à competência em que for incluído o pagamento.
§ 7o Na hipótese de se constatar perda de poder aquisitivo com a aplicação do disposto neste artigo, o Conselho Nacional de Seguridade Social poderá propor um reajuste extraordinário para recompor esse valor, sendo feita igual recomposição das faixas e limites fixados para os salários-de-contribuição.
Seção
V
Dos
Benefícios
Subseção
I
Da Aposentadoria por Invalidez
Art. 39. A aposentadoria por invalidez, uma vez cumprida, quando for o caso, a carência exigida, será devida ao segurado que, estando ou não em gozo de auxílio-doença, for considerado incapaz e insusceptível de reabilitação para o exercício de atividade que lhe garanta a subsistência, e ser-lhe-á paga enquanto permanecer nesta condição.
§ 1o A concessão de aposentadoria por invalidez dependerá da verificação da condição de incapacidade mediante exame médico-pericial a cargo da Previdência Social, podendo o segurado, às suas expensas, fazer-se acompanhar de médico de sua confiança.
§ 2o A doença ou lesão de que o segurado já era portador ao filiar-se ao Regime Geral de Previdência Social não lhe conferirá direito à aposentadoria por invalidez, salvo quando a incapacidade sobrevier por motivo de progressão ou agravamento dessa doença ou lesão.
Art. 40. A aposentadoria por invalidez será devida a partir do dia imediato ao da cessação do auxílio-doença, ressalvado o disposto nos §§ 1o e 2o.
§ 1o Concluindo a perícia médica inicial pela existência de incapacidade total e definitiva para o trabalho, a aposentadoria por invalidez será devida:
I - ao segurado empregado, a contar do décimo sexto dia do afastamento da atividade ou a partir da entrada do requerimento, se entre o afastamento e a entrada do requerimento decorrerem mais de trinta dias; e
II - aos segurados empregado doméstico, trabalhador avulso, contribuinte individual, especial e facultativo, a contar da data do início da incapacidade ou da data da entrada do requerimento, se entre essas datas decorrerem mais de trinta dias.
§ 2o Durante os primeiros quinze dias de afastamento da atividade por motivo de invalidez, caberá à empresa pagar ao segurado empregado o salário.
Art. 41. A aposentadoria por invalidez, inclusive a decorrente de acidente do trabalho, consistirá numa renda mensal correspondente a cem por cento do salário-de-benefício, observado o disposto na Seção III, especialmente no art. 31.
Parágrafo único. Quando o acidentado do trabalho estiver em gozo de auxílio-doença, o valor da aposentadoria por invalidez será igual ao do auxílio-doença se este, por força de reajustamento, for superior ao previsto neste artigo.
Art. 42. O valor da aposentadoria por invalidez do segurado que necessitar da assistência permanente de outra pessoa será acrescido de vinte e cinco por cento.
Parágrafo único. O acréscimo de que trata este artigo:
I - será devido ainda que o valor da aposentadoria atinja o limite máximo legal;
II - será recalculado quando o benefício que lhe deu origem for reajustado; e
III - cessará com a morte do aposentado, não sendo incorporável ao valor da pensão.
Art. 43. O aposentado por invalidez que retornar voluntariamente à atividade terá sua aposentadoria automaticamente cancelada, a partir da data do retorno.
Art. 44. Verificada a recuperação da capacidade de trabalho do aposentado por invalidez, será observado o seguinte procedimento:
I - quando a recuperação ocorrer dentro de cinco anos, contados da data do início da aposentadoria por invalidez ou do auxílio-doença que a antecedeu sem interrupção, o benefício cessará:
a) de imediato, para o segurado empregado que tiver direito a retornar à função que desempenhava na empresa quando se aposentou, na forma da legislação trabalhista, valendo como documento, para tal fim, o certificado de capacidade fornecido pela Previdência Social; ou
b) após tantos meses quantos forem os anos de duração do auxílio-doença ou da aposentadoria por invalidez, para os demais segurados; e
II - quando a recuperação for parcial, ou ocorrer após o período do inciso I, ou ainda quando o segurado for declarado apto para o exercício de trabalho diverso do qual habitualmente exercia, a aposentadoria será mantida, sem prejuízo da volta à atividade:
a) no seu valor integral, durante seis meses contados da data em que for verificada a recuperação da capacidade;
b) com redução de cinqüenta por cento, no período seguinte de seis meses; e
c) com redução de setenta e cinco por cento, também por igual período de seis meses, ao término do qual cessará definitivamente.
Subseção
II
Da Aposentadoria por Idade
Art. 45. A aposentadoria por idade será devida ao segurado que, cumprida a carência exigida nesta Lei, completar sessenta e cinco anos de idade, se homem, e sessenta, se mulher.
§ 1o Os limites fixados no caput são reduzidos para sessenta e cinqüenta e cinco anos no caso de trabalhadores rurais, respectivamente, homens e mulheres, referidos na alínea "a" do inciso I, no inciso II, na alínea "c" do inciso IV e no inciso V do art. 8o.
§ 2o Para os efeitos do disposto no § 1o , o trabalhador rural deve comprovar o efetivo exercício de atividade rural, ainda que de forma descontínua, no período imediatamente anterior ao requerimento do benefício, por tempo igual ao número de meses de contribuição correspondente à carência do benefício pretendido.
Art. 46. A aposentadoria por idade será devida:
I - ao segurado empregado, inclusive o doméstico, a partir:
a) da data do desligamento do emprego, quando requerida até essa data ou até noventa dias depois dela; ou
b) da data do requerimento, quando não houver desligamento do emprego ou quando for requerida após o prazo previsto na alínea "a"; e
II - para os demais segurados, da data da entrada do requerimento.
Art. 47. A aposentadoria por idade, observado o disposto na Seção III deste Capítulo, especialmente no art. 31 , consistirá numa renda mensal de setenta por cento do salário-de-benefício, mais um por cento deste, por grupo de doze contribuições, não podendo ultrapassar cem por cento do salário-de-benefício.
Art. 48. A aposentadoria por idade pode ser requerida pela empresa, desde que o segurado empregado tenha cumprido o período de carência e completado setenta anos de idade, se do sexo masculino, ou sessenta e cinco anos, se do sexo feminino, sendo compulsória, caso em que será garantida ao empregado a indenização prevista na legislação trabalhista, considerada como data da rescisão do contrato de trabalho o dia imediatamente anterior ao do início da aposentadoria.
Subseção
III
Da Aposentadoria por Tempo de Contribuição
Art. 49. A aposentadoria por tempo de contribuição será devida, cumprida a carência exigida nesta Lei, ao segurado que completar trinta e cinco anos de contribuição, se homem, e trinta anos de contribuição, se mulher.
Art. 50. A aposentadoria por tempo de contribuição , observado o disposto na Seção III deste Capítulo, especialmente no art. 31, consistirá numa renda mensal de:
I - para a mulher: cem por cento do salário-de-benefício a partir de trinta anos de contribuição; e
II - para o homem: cem por cento do salário-de-benefício a partir de trinta e cinco anos de contribuição.
Art. 51. A data do início da aposentadoria por tempo de contribuição será fixada da mesma forma que a da aposentadoria por idade, conforme o disposto no art. 46.
Art. 52. O tempo de contribuição será comprovado na forma estabelecida no regulamento, compreendendo, além do correspondente às atividades de qualquer das categorias de segurados de que trata o art. 8o , mesmo que anterior à perda da qualidade de segurado:
I - o tempo intercalado em que esteve em gozo de auxílio-doença ou aposentadoria por invalidez;
II - o tempo de contribuição efetuada como segurado facultativo;
III - o tempo de contribuição referente ao exercício de mandato eletivo federal, estadual ou municipal, desde que não tenha sido contado para efeito de aposentadoria por outro regime de previdência social;
IV - o tempo de contribuição efetuado por segurado depois de ter deixado de exercer atividade remunerada que o enquadrava no art. 8o; e
V - o tempo de contribuição do servidor público ocupante de cargo em comissão, sem vínculo efetivo com a União, autarquias, inclusive em regime especial, e fundações públicas federais de que trata a alínea "h" do inciso I do art. 8o, vertida para o Plano de Seguridade Social do Servidor, sendo tais contribuições computadas para efeito de carência.
§ 1o A averbação de tempo de contribuição durante o qual o exercício da atividade não determinava filiação obrigatória ao anterior Regime de Previdência Social Urbana só será admitida mediante o recolhimento das contribuições correspondentes, conforme dispuser o regulamento, observado o disposto no § 2o.
§ 2o O tempo de serviço do segurado trabalhador rural, anterior a 25 de julho de 1991, será computado independentemente do recolhimento das contribuições a ele correspondentes, exceto para efeito de carência, conforme dispuser o regulamento.
§ 3o A comprovação do tempo de contribuição para os efeitos desta Lei, inclusive mediante justificação administrativa ou judicial, conforme o disposto no art. 98, só produzirá efeito quando baseada em início de prova material, não sendo admitida prova exclusivamente testemunhal, salvo na ocorrência de motivo de força maior ou caso fortuito, conforme disposto no regulamento.
Art. 53. O professor, após trinta anos, e a professora, após vinte e cinco anos de efetivo exercício das funções de magistério na educação infantil e no ensino fundamental e médio, poderão aposentar-se por tempo de contribuição, com renda mensal correspondente a cem por cento do salário-de-benefício, observado o disposto na Seção III deste Capítulo.
Subseção
IV
Da Aposentadoria Especial
Art. 54. A aposentadoria especial será devida, uma vez cumprida a carência exigida nesta Lei, ao segurado que tiver trabalhado sujeito a condições especiais que prejudiquem a saúde ou a integridade física, durante quinze, vinte ou vinte e cinco anos.
§ 1o A aposentadoria especial, observado o disposto no art. 31, consistirá numa renda mensal equivalente a cem por cento do salário-de-benefício.
§ 2o A data de início do benefício será fixada da mesma forma que a da aposentadoria por idade, conforme o disposto no art. 46.
§ 3o A concessão da aposentadoria especial dependerá de comprovação pelo segurado, perante o INSS, do tempo de trabalho permanente, não ocasional nem intermitente, em condições especiais que prejudiquem a saúde ou a integridade física, durante o período mínimo fixado.
§ 4o O segurado deverá comprovar, além do tempo de trabalho, exposição aos agentes nocivos químicos, físicos, biológicos ou associação de agentes prejudiciais à saúde ou à integridade física, pelo período equivalente ao exigido para a concessão do benefício.
§ 5o Aplica-se o disposto no art. 43 ao segurado aposentado nos termos deste artigo que continuar no exercício de atividade ou operação que o sujeite aos agentes nocivos constantes da relação referida no art. 55.
Art. 55. A relação dos agentes nocivos químicos, físicos e biológicos ou associação de agentes prejudiciais à saúde ou à integridade física considerados para fins de concessão da aposentadoria especial de que trata o art. 54 será definida pelo Poder Executivo.
Art. 56. A comprovação da efetiva exposição do segurado aos agentes nocivos será feita mediante formulário, na forma estabelecida pelo INSS, emitido pela empresa ou seu preposto, com base em laudo técnico de condições ambientais do trabalho expedido por médico do trabalho ou engenheiro de segurança do trabalho.
§ 1o Do laudo técnico referido no caput deverão constar informação sobre a existência de tecnologia de proteção coletiva ou individual que diminua a intensidade do agente agressivo a limites de tolerância e recomendação sobre a sua adoção pelo estabelecimento respectivo.
§ 2o A empresa que não mantiver laudo técnico atualizado com referência aos agentes nocivos existentes no ambiente de trabalho de seus trabalhadores ou que emitir documento de comprovação de efetiva exposição em desacordo com o respectivo laudo estará sujeita à penalidade prevista no art. 245.
§ 3o A empresa deverá elaborar e manter atualizado perfil profissiográfico abrangendo as atividades desenvolvidas pelo trabalhador e fornecer a este, quando da rescisão do contrato de trabalho, cópia autêntica desse documento.
Subseção
V
Do Auxílio-Doença
Art. 57. O auxílio-doença será devido ao segurado que, havendo cumprido, quando for o caso, o período de carência exigida nesta Lei, ficar incapacitado para o seu trabalho ou para a sua atividade habitual por mais de quinze dias consecutivos.
Parágrafo único. Não será devido auxílio-doença ao segurado que se filiar ao Regime Geral de Previdência Social já portador da doença ou da lesão invocada como causa para o benefício, salvo quando a incapacidade sobrevier por motivo de progressão ou agravamento dessa doença ou lesão.
Art. 58. O auxílio-doença será devido ao segurado empregado a contar do décimo sexto dia do afastamento da atividade, e, no caso dos demais segurados, a contar da data do início da incapacidade e enquanto ele permanecer incapaz.
§ 1o Quando requerido por segurado afastado da atividade por mais de trinta dias, o auxílio-doença será devido a contar da data da entrada do requerimento.
§ 2o Durante os primeiros quinze dias consecutivos ao do afastamento da atividade por motivo de doença, incumbirá à empresa pagar ao segurado empregado o seu salário integral.
§ 3o A empresa que dispuser de serviço médico, próprio ou em convênio, terá a seu cargo o exame médico e o abono das faltas correspondentes ao período referido no § 2o, somente devendo encaminhar o segurado à perícia médica da Previdência Social quando a incapacidade ultrapassar quinze dias.
Art. 59. O auxílio-doença, inclusive o decorrente de acidente do trabalho, consistirá numa renda mensal correspondente a noventa e um por cento do salário-de-benefício, observado o disposto na Seção III, especialmente no art. 31.
Art. 60. O segurado em gozo de auxílio-doença, insusceptível de recuperação para sua atividade habitual, deverá submeter-se a processo de reabilitação profissional para o exercício de outra atividade. Não cessará o benefício até que seja dado como habilitado para o desempenho de nova atividade que lhe garanta a subsistência ou, quando considerado não-recuperável, for aposentado por invalidez.
Art. 61. O segurado empregado em gozo de auxílio-doença será considerado pela empresa como licenciado.
Parágrafo único. A empresa que garantir ao segurado licença remunerada ficará obrigada a pagar-lhe durante o período de auxílio-doença a eventual diferença entre o valor deste e a importância garantida pela licença.
Subseção
VI
Do Salário-família
Art. 62. O salário-família será devido, mensalmente, ao segurado empregado, exceto ao doméstico, e ao segurado trabalhador avulso, na proporção do respectivo número de filhos ou equiparados nos termos do § 2o do art. 13, observado o disposto no art. 63.
Parágrafo único. O aposentado por invalidez ou por idade e os demais aposentados com sessenta e cinco anos ou mais de idade, se do sexo masculino, ou sessenta anos ou mais, se do feminino, terão direito ao salário-família, pago juntamente com a aposentadoria.
Art. 63. O valor da cota do salário-família por filho ou equiparado de qualquer condição, até quatorze anos de idade ou inválido de qualquer idade, é de R$ 11,26 (onze reais e vinte e seis centavos), para o segurado com renda mensal bruta igual ou inferior a R$ 468,47 (quatrocentos e sessenta e oito reais e quarenta e sete centavos).
Art. 64. O pagamento do salário-família é condicionado à apresentação da certidão de nascimento do filho ou da documentação relativa ao equiparado ou ao inválido, e à apresentação anual de atestado de vacinação obrigatória e de comprovação de freqüência à escola do filho ou equiparado, nos termos do regulamento.
Art. 65. As cotas do salário-família serão pagas pela empresa, mensalmente, junto com o salário, efetivando-se a compensação quando do recolhimento das contribuições, conforme dispuser o regulamento.
§ 1o A empresa conservará durante dez anos os comprovantes dos pagamentos e as cópias das certidões correspondentes, para exame pela fiscalização da Previdência Social.
§ 2o Quando o pagamento do salário não for mensal, o salário-família será pago juntamente com o último pagamento relativo ao mês.
Art. 66. O salário-família devido ao trabalhador avulso poderá ser recebido pelo sindicato de classe respectivo, que se incumbirá de elaborar as folhas correspondentes e de distribuí-lo.
Art. 67. A cota do salário-família não será incorporada, para qualquer efeito, ao salário ou ao benefício.
Subseção
VII
Do Salário-maternidade
Art. 68. O salário-maternidade é devido à segurada da Previdência Social, durante cento e vinte dias, com início no período entre vinte e oito dias antes do parto e a data de ocorrência deste, observadas as situações e condições previstas na legislação no que concerne à proteção à maternidade, sendo pago diretamente pela Previdência Social.
§ 1o A partir de 16 de abril de 2002, o salário-maternidade é devido, também, à segurada que adotar ou obtiver guarda judicial para fins de adoção de criança, nos seguintes termos:
I - por cento e vinte dias, se a criança tiver até um ano de idade;
II - por sessenta dias, se a criança tiver entre um e quatro anos de idade; e
III - por trinta dias, se a criança tiver de quatro a oito anos de idade.
§ 2o As obrigações decorrentes do § 1o não se aplicam a fatos anteriores a 16 de abril de 2002.
Art. 69. O salário-maternidade para a segurada empregada ou trabalhadora avulsa consistirá numa renda mensal igual a sua remuneração integral.
Art. 70. Assegurado o valor de um salário mínimo, o salário-maternidade para as demais seguradas consistirá:
I - em um valor correspondente ao do seu último salário-de-contribuição, para a segurada empregada doméstica;
II - em um doze avos do valor sobre o qual incidiu sua última contribuição anual, para a segurada especial; e
III - em um doze avos da soma dos doze últimos salários-de-contribuição, apurados em um período não superior a quinze meses, para as demais seguradas.
Subseção
VIII
Da Pensão por Morte
Art. 71. A pensão por morte será devida ao conjunto dos dependentes do segurado que falecer, aposentado ou não, a contar da data:
I - do óbito ou da decisão judicial, no caso de morte presumida, quando requerida até trinta dias depois destes; ou
II - do requerimento, quando requerida após o prazo previsto no inciso I.
Art. 72. O valor mensal da pensão por morte será de cem por cento do valor da aposentadoria que o segurado recebia ou daquela a que teria direito se estivesse aposentado por invalidez na data de seu falecimento, observado o disposto no art. 31.
Art. 73. A concessão da pensão por morte não será protelada pela falta de habilitação de outro possível dependente, e qualquer inscrição ou habilitação posterior que importe em exclusão ou inclusão de dependente só produzirá efeito a contar da data da inscrição ou habilitação.
§ 1o O cônjuge ausente não exclui do direito à pensão por morte o companheiro ou a companheira, que somente fará jus ao benefício a partir da data de sua habilitação.
§ 2o O cônjuge divorciado ou separado judicialmente ou de fato que recebia pensão de alimentos concorrerá em igualdade de condições com os dependentes referidos no inciso I do art. 13 .
Art. 74. A pensão por morte, havendo mais de um pensionista, será rateada entre todos em partes iguais.
§ 1o Reverterá em favor dos demais a parte daquele cujo direito à pensão cessar.
§ 2o A parte individual da pensão extingue-se:
I - pela morte do pensionista;
II - para o filho, a pessoa a ele equiparada ou o irmão, de ambos os sexos, pela emancipação ou ao completar vinte e um anos de idade, salvo se for inválido; e
III - para o pensionista inválido, pela cessação da invalidez.
§ 3o Com a extinção da parte do último pensionista a pensão extinguir-se-á.
Art. 75. Por morte presumida do segurado, declarada pela autoridade judicial competente, depois de seis meses de ausência, será concedida pensão provisória, na forma desta Subseção.
§ 1o Mediante prova do desaparecimento do segurado em conseqüência de acidente, desastre ou catástrofe, seus dependentes farão jus à pensão provisória independentemente da declaração e do prazo deste artigo.
§ 2o Verificado o reaparecimento do segurado, o pagamento da pensão cessará imediatamente, desobrigados os dependentes da reposição dos valores recebidos, salvo má-fé.
Art. 76. Não se aplica o disposto no art. 270 ao pensionista menor, incapaz ou ausente, na forma da lei.
Subseção
IX
Do Auxílio-reclusão
Art. 77. O auxílio-reclusão será devido, nas mesmas condições da pensão por morte, aos dependentes do segurado recolhido à prisão, que não receber remuneração da empresa nem estiver em gozo de auxílio-doença, de aposentadoria ou de abono de permanência em serviço.
Parágrafo único. O requerimento do auxílio-reclusão deverá ser instruído com certidão do efetivo recolhimento à prisão, sendo obrigatória, para a manutenção do benefício, a apresentação de declaração de permanência na condição de presidiário.
Subseção
X
Do Auxílio-acidente
Art. 78. O auxílio-acidente será concedido, como indenização, ao segurado quando, após consolidação das lesões decorrentes de acidente de qualquer natureza, resultarem seqüelas que impliquem redução da capacidade para o trabalho que habitualmente exercia.
§ 1o O auxílio-acidente mensal corresponderá a cinqüenta por cento do salário-de-benefício e será devido até a véspera do início de qualquer aposentadoria ou até a data do óbito do segurado.
§ 2o O auxílio-acidente será devido a partir do dia seguinte ao da cessação do auxílio-doença, independentemente de qualquer remuneração ou rendimento auferido pelo acidentado, vedada sua acumulação com qualquer aposentadoria.
§ 3o O recebimento de salário ou concessão de outro benefício, exceto de aposentadoria não prejudicará a continuidade do recebimento do auxílio-acidente.
§ 4o A perda da audição, em qualquer grau, somente proporcionará a concessão do auxílio-acidente, quando, além do reconhecimento de causalidade entre o trabalho e a doença, resultar, comprovadamente, na redução ou perda da capacidade para o trabalho que habitualmente exercia.
Subseção
XI
Do Abono Anual
Art. 79. É devido abono anual ao segurado e ao dependente da Previdência Social que, durante o ano, recebeu auxílio-doença, auxílio-acidente ou aposentadoria, pensão por morte ou auxílio-reclusão.
Parágrafo único. O abono anual será calculado, no que
couber, da mesma forma que o décimo terceiro salário dos trabalhadores, tendo
por base o valor da renda mensal do benefício do mês de dezembro de cada ano.
Seção VI
Dos
Serviços
Subseção
I
Do Serviço Social
Art. 80. Compete ao serviço social esclarecer os beneficiários sobre seus direitos sociais e os meios de exercê-los e estabelecer conjuntamente com eles o processo de solução dos problemas que emergirem da sua relação com a Previdência Social, tanto no âmbito interno da instituição como na dinâmica da sociedade.
§ 1o Será dada prioridade aos segurados em benefício por incapacidade temporária e atenção especial aos aposentados e pensionistas.
§ 2o Para assegurar o efetivo atendimento dos usuários serão utilizadas intervenção técnica, assistência de natureza jurídica, ajuda material, recursos sociais, intercâmbio com empresas e pesquisa social, inclusive mediante celebração de convênios, acordos ou contratos.
§ 3o O serviço social terá como diretriz a participação do beneficiário na implementação e no fortalecimento da política previdenciária, em articulação com as associações e entidades de classe.
§ 4o O serviço social, considerando a universalização da Previdência Social, prestará assessoramento técnico aos Estados e Municípios na elaboração e implantação de suas propostas de trabalho.
Subseção
II
Da Habilitação e da Reabilitação Profissional
Art. 81. A habilitação e a reabilitação profissional e social deverão proporcionar ao beneficiário incapacitado parcial ou totalmente para o trabalho, e às pessoas portadoras de deficiência, os meios para a educação ou reeducação e de adaptação ou readaptação profissional e social indicados para participar do mercado de trabalho e do contexto em que vive.
Parágrafo único. A reabilitação profissional compreende:
I - o fornecimento de aparelho de prótese, órtese e
instrumentos de auxílio para locomoção quando a perda ou redução da
capacidade funcional puder ser atenuada por seu uso e dos equipamentos necessários
à habilitação e reabilitação social e profissional;
II - a reparação ou a substituição dos aparelhos mencionados no inciso I, desgastados pelo uso normal ou por ocorrência estranha à vontade do beneficiário; e
III - o transporte do acidentado do trabalho, quando necessário.
Art. 82. A prestação de que trata o art. 81 é devida em caráter obrigatório aos segurados, inclusive aposentados e, na medida das possibilidades do órgão da Previdência Social, aos seus dependentes.
Art. 83. Será concedido, no caso de habilitação e reabilitação profissional, auxílio para tratamento ou exame fora do domicílio do beneficiário, conforme dispuser o regulamento.
Art. 84. Concluído o processo de habilitação ou reabilitação social e profissional, a Previdência Social emitirá certificado individual, indicando as atividades que poderão ser exercidas pelo beneficiário, nada impedindo que este exerça outra atividade para a qual se capacitar.
Art. 85. A empresa com cem ou mais empregados está obrigada a preencher de dois por cento a cinco por cento dos seus cargos com beneficiários reabilitados ou pessoas portadoras de deficiência, habilitadas, na seguinte proporção:
I - até duzentos empregados, dois por cento;
II - de duzentos e um a quinhentos empregados, três por cento;
III - de quinhentos e um a mil empregados, quatro por cento; e
IV - de mil e um empregados em diante, cinco por cento.
§ 1o A dispensa de trabalhador reabilitado ou de deficiente habilitado ao final de contrato por prazo determinado de mais de noventa dias, e a imotivada, no contrato por prazo indeterminado, só poderá ocorrer após a contratação de substituto de condição semelhante.
§ 2o O Ministério da Previdência e Assistência Social deverá gerar estatísticas sobre o total de empregados e as vagas preenchidas por reabilitados e deficientes habilitados, fornecendo-as, quando solicitadas, aos sindicatos ou entidades representativas dos empregados.
§ 3o O Poder Executivo estabelecerá, na forma da lei, ouvido o Conselho Nacional de Seguridade Social, mecanismos de estímulo às empresas que se utilizem de empregados portadores de deficiências física, sensorial ou mental com desvio do padrão médio.
CAPÍTULO IV
DA CONTAGEM RECÍPROCA DE TEMPO DE CONTRIBUIÇÃO
Art. 86. Para efeito dos benefícios previstos no Regime Geral de Previdência Social ou no serviço público é assegurada a contagem recíproca do tempo de contribuição na atividade privada, rural e urbana, e do tempo de contribuição ou de serviço na administração pública, hipótese em que os diferentes sistemas de Previdência Social se compensarão financeiramente.
Parágrafo único. A compensação financeira será feita ao sistema a que o interessado estiver vinculado ao requerer o benefício pelos demais sistemas, em relação aos respectivos tempos de contribuição ou de serviço, conforme dispuser o regulamento.
Art. 87 Observada a carência de trinta e seis contribuições mensais, o segurado poderá contar, para fins de obtenção dos benefícios do Regime Geral de Previdência Social, o tempo de contribuição prestado à administração pública federal direta, autárquica e fundacional.
Parágrafo único. Poderá ser contado o tempo de serviço prestado à administração pública direta, autárquica e fundacional dos Estados, do Distrito Federal e dos Municípios, desde que estes assegurem aos seus servidores a contagem de tempo de contribuição em atividade vinculada ao Regime Geral de Previdência Social.
Art. 88. O tempo de contribuição de que trata este Capítulo será contado de acordo com a legislação pertinente, observadas as normas seguintes:
I - não será admitida a contagem em dobro ou em outras condições especiais;
II - é vedada a contagem de tempo de contribuição público com o de atividade privada, quando concomitantes;
III - não será contado por um sistema o tempo de contribuição utilizado para concessão de aposentadoria pelo outro; e
IV - o tempo de serviço anterior ou posterior à obrigatoriedade de filiação à Previdência Social só será contado mediante indenização da contribuição correspondente ao período respectivo, na forma do art. 266.
Art. 89. A aposentadoria por tempo de contribuição, com contagem de tempo na forma deste Capítulo, será concedida ao segurado aos trinta e cinco anos completos de contribuição, se homem, e trinta anos completos de contribuição, se mulher, ressalvadas as hipóteses de redução previstas em lei.
Art. 90. O benefício resultante de contagem de tempo de contribuição na forma deste Capítulo será concedido e pago pelo sistema a que o interessado estiver vinculado ao requerê-lo, e calculado na forma da respectiva legislação.
CAPÍTULO V
DA COMPENSAÇÃO FINANCEIRA
Art. 91. A compensação financeira entre o Regime Geral de Previdência Social e os regimes próprios de previdência social dos servidores da União, dos Estados, do Distrito Federal e dos Municípios, na hipótese de contagem recíproca de tempo de contribuição, obedecerá às disposições deste Capítulo.
Art. 92. Para os efeitos desta Lei, considera-se:
I - regime de origem: o regime previdenciário ao qual o segurado ou servidor público esteve vinculado sem que dele receba aposentadoria ou tenha gerado pensão para seus dependentes; e
II - regime instituidor: o regime previdenciário responsável pela concessão e pagamento de benefício de aposentadoria ou pensão dela decorrente a segurado ou servidor público ou a seus dependentes com cômputo de tempo de contribuição no âmbito do regime de origem.
§ 1o Os regimes próprios de previdência de servidores da União, dos Estados, do Distrito Federal e dos Municípios só serão considerados regimes de origem quando o Regime Geral de Previdência Social for o regime instituidor.
§ 2o Na hipótese de o regime próprio de previdência de servidor público não possuir personalidade jurídica própria, atribuem-se ao respectivo ente federado as obrigações e direitos previstos neste Capítulo.
Art. 93. O Regime Geral de Previdência Social, como regime instituidor, tem direito de receber de cada regime de origem compensação financeira, observado neste artigo.
§ 1o O Regime Geral de Previdência Social deve apresentar a cada regime de origem os seguintes dados referentes a cada benefício concedido com cômputo de tempo de contribuição no âmbito daquele regime de origem:
I - identificação do segurado e, se for o caso, de seu dependente;
II - a renda mensal inicial e a data de início do benefício; e
III - o percentual do tempo de serviço total do segurado correspondente ao tempo de contribuição no âmbito daquele regime de origem.
§ 2o Cada regime de origem deve pagar ao Regime Geral de Previdência Social, para cada mês de competência do benefício, o valor resultante da multiplicação da renda mensal do benefício pelo percentual obtido na forma do inciso III do § 1o.
§ 3o A compensação financeira referente a cada benefício não poderá exceder o resultado da multiplicação do percentual obtido na forma do inciso III do § 1o pela renda mensal do maior benefício da mesma espécie pago diretamente pelo regime de origem.
§ 4o Para fins do disposto no § 3o, o regime de origem deve informar ao Regime Geral de Previdência Social, na forma do regulamento, a maior renda mensal de cada espécie de benefício por ele pago diretamente.
§ 5o O valor de que trata o § 2o será reajustado nas mesmas datas e pelos mesmos índices de reajustamento do benefício pela Previdência Social, devendo o Regime Geral de Previdência Social comunicar a cada regime de origem o total por ele devido em cada mês como compensação financeira.
Art. 94. Cada regime próprio de previdência de servidor público tem direito, como regime instituidor, de receber do Regime Geral de Previdência Social, enquanto regime de origem, compensação financeira, observado o disposto neste artigo.
§ 1o O regime instituidor deve apresentar ao Regime Geral de Previdência Social, além das normas que o regem, os seguintes dados referentes a cada benefício concedido com cômputo de tempo de contribuição no âmbito do Regime Geral de Previdência Social:
I - identificação do servidor público e, se for o caso, de seu dependente;
II - o valor dos proventos da aposentadoria ou pensão dela decorrente e a data de início do benefício; e
III - o tempo de serviço total do servidor e o correspondente ao tempo de contribuição ao Regime Geral de Previdência Social.
§ 2o Com base nas informações referidas no § 1o, o Regime Geral de Previdência Social calculará qual seria a renda mensal inicial daquele benefício segundo as normas do Regime Geral de Previdência Social.
§ 3o A compensação financeira devida pelo Regime Geral de Previdência Social, relativa ao primeiro mês de competência do benefício, será calculada com base no valor do benefício pago pelo regime instituidor e na renda mensal do benefício calculada na forma do § 2o, o que for menor.
§ 4o O valor da compensação financeira mencionado no § 3o corresponde à multiplicação do montante ali especificado pelo percentual correspondente ao tempo de contribuição ao Regime Geral de Previdência Social no tempo de serviço total do servidor público.
§ 5o O valor da compensação financeira devido pelo Regime Geral de Previdência Social será reajustado nas mesmas datas e pelos mesmos índices de reajustamento dos benefícios da Previdência Social, mesmo que tenha prevalecido, no primeiro mês, o valor do benefício pago pelo regime instituidor.
Art. 95. O INSS manterá cadastro atualizado de todos os benefícios objeto de compensação financeira, totalizando o quanto deve para cada regime próprio de previdência dos servidores da União, dos Estados, do Distrito Federal e dos Municípios, bem como o montante devido por cada um deles para o Regime Geral de Previdência Social, como compensação financeira e pelo não recolhimento de contribuições previdenciárias no prazo legal.
§ 1o Os desembolsos pelos regimes de origem só serão feitos para os regimes instituidores que se mostrem credores no cômputo da compensação financeira devida de lado a lado e dos débitos pelo não recolhimento de contribuições previdenciárias no prazo legal.
§ 2o O INSS comunicará o total a ser desembolsado por cada regime de origem até o dia trinta de cada mês, devendo os desembolsos ser feitos até o quinto dia útil do mês subseqüente.
§ 3o Os valores não desembolsados em virtude do disposto no § 1o serão contabilizados como pagamentos efetivos, devendo o INSS registrar mensalmente essas operações e informar a cada regime próprio de previdência de servidor público os valores a ele referentes.
§ 4o Sendo inviável financeiramente para um regime de origem desembolsar de imediato os valores relativos à compensação financeira, em função dos valores em atraso a que se refere o parágrafo único do art. 317, podem os regimes de origem e instituidor firmar termo de parcelamento dos desembolsos atualizando-se os valores devidos nas mesmas datas e pelos mesmos índices de reajustamento dos benefícios de prestação continuada da Previdência Social.
Art. 96. Os regimes instituidores devem comunicar de imediato aos regimes de origem qualquer revisão no valor do benefício objeto de compensação financeira ou sua extinção total ou parcial, cabendo ao INSS registrar as alterações no cadastro a que se refere o art. 95.
Parágrafo único. Constatado o não cumprimento do disposto neste artigo, as parcelas pagas indevidamente pelo regime de origem serão registradas em dobro, no mês seguinte ao da constatação, como débito daquele regime.
Art. 97. Na hipótese de descumprimento do prazo do desembolso estipulado no § 2o do art. 95, aplicar-se-ão as mesmas normas em vigor para atualização dos valores dos recolhimentos em atraso de contribuições previdenciárias arrecadadas pelo INSS.
Parágrafo único. Na hipótese de o regime previdenciário próprio dos servidores da União, dos Estados, do Distrito Federal e dos Municípios possuir personalidade jurídica própria, os respectivos entes federados respondem solidariamente pelas obrigações previstas neste Capítulo.
CAPÍTULO VI
DAS DISPOSIÇÕES GERAIS RELATIVAS ÀS PRESTAÇÕES
Art. 98. Mediante justificação processada perante a Previdência Social, observado o disposto no § 3o do art. 52 e na forma estabelecida no regulamento, poderá ser suprida a falta de documento ou provado ato do interesse de beneficiário ou empresa, salvo no que se refere a registro público.
Art. 99. Nenhum benefício ou serviço da Previdência Social poderá ser criado, majorado ou estendido, sem a correspondente fonte de custeio total.
Art. 100. A. O INSS utilizará, para fins de cálculo do salário-de-benefício, as informações constantes no Cadastro Nacional de Informações Sociais - CNIS sobre as remunerações dos segurados.
§ 1o O INSS terá até cento e oitenta dias, contados a partir da solicitação do pedido, para fornecer ao segurado as informações previstas no caput deste artigo.
§ 2o O segurado poderá, a qualquer momento, solicitar a retificação das informações constantes no CNIS, com a apresentação de documentos comprobatórios sobre o período divergente.
Art. 101. Os salários-de-contribuição utilizados no cálculo do valor de benefício serão considerados respeitando-se os limites mínimo e máximo vigentes nos meses a que se referirem.
Art. 102. Salvo quanto a valor devido à Previdência Social e a desconto autorizado por esta Lei, ou derivado da obrigação de prestar alimentos reconhecida em sentença judicial, o benefício não pode ser objeto de penhora, arresto ou seqüestro, sendo nula de pleno direito a sua venda ou cessão, ou a constituição de qualquer ônus sobre ele, bem como a outorga de poderes irrevogáveis ou em causa própria para o seu recebimento.
Art. 103. Podem ser descontados dos benefícios:
I - contribuições devidas pelo segurado à Previdência Social;
II - pagamento de benefício além do devido;
III - Imposto de Renda retido na fonte;
IV - pensão de alimentos decretada em sentença judicial; e
V - mensalidades de associações e demais entidades de aposentados legalmente reconhecidas, desde que autorizadas por seus filiados.
Parágrafo único. Na hipótese do inciso II, o desconto será feito em parcelas, conforme dispuser o regulamento, salvo má-fé.
Art. 104. O benefício será pago diretamente ao beneficiário, salvo em caso de ausência, moléstia contagiosa ou impossibilidade de locomoção, quando será pago a procurador, cujo mandato não terá prazo superior a doze meses, podendo ser renovado.
Parágrafo único. A impressão digital do beneficiário incapaz de assinar, aposta na presença de servidor da Previdência Social, vale como assinatura para quitação de pagamento de benefício.
Art. 105. O benefício devido ao segurado ou dependente civilmente incapaz será feito ao cônjuge, pai, mãe, tutor ou curador, admitindo-se, na sua falta e por período não superior a seis meses, o pagamento a herdeiro necessário, mediante termo de compromisso firmado no ato do recebimento.
Parágrafo único. Para efeito de curatela, no caso de interdição do beneficiário, a autoridade judiciária pode louvar-se no laudo médico-pericial da Previdência Social.
Art. 106. O segurado menor poderá, conforme dispuser o regulamento, firmar recibo de benefício, independentemente da presença dos pais ou do tutor.
Art. 107. O valor não recebido em vida pelo segurado será pago aos seus dependentes habilitados à pensão por morte ou, na falta deles, aos seus sucessores na forma da lei civil, independentemente de inventário ou arrolamento.
Art. 108. O benefício poderá ser pago mediante depósito em conta corrente ou por autorização de pagamento, conforme se dispuser em regulamento.
Art. 109. Será fornecido ao beneficiário demonstrativo minucioso das importâncias pagas, discriminando-se o valor da mensalidade, as diferenças eventualmente pagas com o período a que se referem e os descontos efetuados.
Art. 110. Salvo no caso de direito adquirido, não é permitido o recebimento conjunto dos seguintes benefícios da Previdência Social:
I - aposentadoria e auxílio-doença;
II - mais de uma aposentadoria;
III - aposentadoria e abono de permanência em serviço;
IV - salário-maternidade e auxílio-doença;
V - mais de um auxílio-acidente; e
VI - mais de uma pensão deixada por cônjuge ou companheiro, ressalvado o direito de opção pela mais vantajosa.
Parágrafo único. É vedado o recebimento conjunto do seguro-desemprego com qualquer benefício de prestação continuada da Previdência Social, exceto pensão por morte ou auxílio-acidente.
Art. 111. Se mais vantajoso, fica assegurado o direito à aposentadoria, nas condições legalmente previstas na data do cumprimento de todos os requisitos necessários à obtenção do benefício, ao segurado que, tendo completado trinta e cinco anos de contribuição, se homem, ou trinta anos de contribuição, se mulher, optou por permanecer em atividade.
Art. 112. O segurado em gozo de auxílio-doença, aposentadoria por invalidez e o pensionista inválido estão obrigados, sob pena de suspensão do benefício, a submeter-se a exame médico a cargo da Previdência Social, estabelecidos na forma do regulamento, e a processo de reabilitação profissional por ela prescrito e custeado e tratamento dispensado gratuitamente, exceto o cirúrgico e a transfusão de sangue, que são facultativos.
Art. 113. O Ministério da Previdência e Assistência Social e o INSS manterão programa permanente de revisão da concessão e da manutenção dos benefícios da Previdência Social, a fim de apurar irregularidades e falhas existentes.
§ 1o Havendo indício de irregularidade na concessão ou na manutenção de benefício, a Previdência Social notificará o beneficiário para apresentar defesa, provas ou documentos de que dispuser, no prazo de trinta dias.
§ 2o A notificação a que se refere o § 1o far-se-á por via postal com aviso de recebimento e, não comparecendo o beneficiário nem apresentando defesa, será suspenso o benefício, com notificação ao beneficiário por edital resumido publicado uma vez em jornal de circulação na localidade.
§ 3o Decorrido o prazo concedido pela notificação postal ou pelo edital, sem que tenha havido resposta, ou caso seja considerada pela Previdência Social como insuficiente ou improcedente a defesa apresentada, o benefício será cancelado, dando-se conhecimento da decisão ao beneficiário.
Art. 114. O INSS deverá rever os benefícios, inclusive os concedidos por acidente do trabalho, ainda que concedidos judicialmente, para avaliar a persistência, atenuação ou agravamento da incapacidade para o trabalho alegada como causa para a sua concessão.
Parágrafo único. Será cabível a concessão de liminar nas ações rescisórias e revisionais, para suspender a execução do julgado rescindendo ou revisando, em caso de fraude ou erro material comprovado.
Art. 115. O INSS deverá estabelecer indicadores qualitativos e quantitativos para acompanhamento e avaliação das concessões de benefícios realizadas pelos órgãos locais de atendimento.
Art. 116. O INSS deverá adotar como prática o cruzamento das informações declaradas pelos segurados com os dados de cadastros de empresas e de contribuintes em geral quando da concessão de benefícios.
Art. 117. A apresentação de documentação incompleta não constitui motivo para recusa do requerimento de benefício.
Art. 118. Para comprovação do exercício de atividade rural será obrigatória, a partir de 16 de abril de 1994, a apresentação da Carteira de Identificação e Contribuição referida no § 8o do art. 8o.
Parágrafo único. A comprovação do exercício de atividade rural referente a período anterior a 16 de abril de 1994, observado o disposto no § 3o do art. 52 desta Lei, far-se-á alternativamente através de:
I - contrato individual de trabalho ou Carteira de Trabalho e Previdência Social;
II - contrato de arrendamento, parceria ou comodato rural;
III - declaração do sindicato de trabalhadores rurais, desde que homologada pelo INSS;
IV - comprovante de cadastro do Instituto Nacional de Colonização e Reforma Agrária - INCRA, no caso de produtores em regime de economia familiar; ou
V - bloco de notas do produtor rural.
Art. 119. O tempo de contribuição de que trata o art. 52 será considerado para cálculo do valor da renda mensal de qualquer benefício.
Art. 120. A perda da qualidade de segurado importa em caducidade dos direitos inerentes a essa qualidade.
§ 1o A perda da qualidade de segurado não prejudica o direito à aposentadoria para cuja concessão tenham sido preenchidos todos os requisitos, segundo a legislação em vigor à época em que estes requisitos foram atendidos.
§ 2o Não será concedida pensão por morte aos dependentes do segurado que falecer após a perda desta qualidade, nos termos do art. 12, salvo se preenchidos os requisitos para obtenção da aposentadoria na forma do § 1o.
Art. 121. O magistrado da Justiça Eleitoral nomeado na forma dos incisos II do art. 119 e III do § 1o do art. 120 da Constituição Federal será aposentado de acordo com as normas estabelecidas pela legislação previdenciária a que estava submetido antes da investidura na magistratura, mantida a referida vinculação previdenciária durante o exercício do mandato.
Art. 122. O magistrado classista temporário da Justiça do Trabalho será aposentado de acordo com as normas estabelecidas pela legislação previdenciária a que estava submetido antes da investidura na magistratura, mantida a referida vinculação previdenciária durante o exercício do mandato.
Art. 123. Para o segurado filiado à Previdência Social até 28 de novembro de 1999, que vier a cumprir as condições exigidas para a concessão dos benefícios do Regime Geral de Previdência Social, no cálculo do salário-de-benefício será considerada a média aritmética simples dos maiores salários-de-contribuição, correspondentes a, no mínimo, oitenta por cento de todo o período contributivo decorrido desde a competência julho de 1994, observado o disposto nos incisos I e II do caput do art. 26.
§ 1o Quando se tratar de segurado especial, no cálculo do salário-de-benefício serão considerados um treze avos da média aritmética simples dos maiores valores sobre os quais incidiu a sua contribuição anual, correspondentes a, no mínimo, oitenta por cento de todo o período contributivo decorrido desde a competência julho de 1994, observado o disposto nos incisos I e II do § 5o do art. 26.
§ 2o No caso das aposentadorias de que tratam as alíneas "b", "c" e "d" do inciso I do art. 15, o divisor considerado no cálculo da média a que se referem o caput e o § 1o não poderá ser inferior a sessenta por cento do período decorrido da competência julho de 1994 até a data de início do benefício, limitado a cem por cento de todo o período contributivo.
Art. 124. Para a obtenção do salário-de-benefício, o fator previdenciário de que trata o art. 26 será aplicado de forma progressiva, incidindo sobre um sessenta avos da média aritmética de que trata o art. 123, por mês que se seguir a sua publicação, cumulativa e sucessivamente, até completar sessenta avos da referida média.
Art. 125. É garantido ao segurado que até 28 de novembro de 1999 tenha cumprido os requisitos para a concessão de benefício o cálculo segundo as regras então vigentes.
Art. 126. Para o segurado inscrito na Previdência Social Urbana até 24 de julho de 1991, bem como para o trabalhador e o empregador rural cobertos pela Previdência Social Rural, a carência das aposentadorias por idade, por tempo de contribuição e especial obedecerá à seguinte tabela, levando-se em conta o ano em que o segurado implementou todas as condições necessárias à obtenção do benefício:
|
Ano de implementação das condições |
Meses de contribuição exigidos |
|
1991 |
60 meses |
|
1992 |
60 meses |
|
1993 |
66 meses |
|
1994 |
72 meses |
|
1995 |
78 meses |
|
1996 |
90 meses |
|
1997 |
96 meses |
|
1998 |
102 meses |
|
1999 |
108 meses |
|
2000 |
114 meses |
|
2001 |
120 meses |
|
2002 |
126 meses |
|
2003 |
132 meses |
|
2004 |
138 meses |
|
2005 |
144 meses |
|
2006 |
150 meses |
|
2007 |
156 meses |
|
2008 |
162 meses |
|
2009 |
168 meses |
|
2010 |
174 meses |
|
2011 |
180 meses |
Art. 127. O trabalhador rural enquadrado por esta Lei, como segurado obrigatório no Regime Geral de Previdência Social, na forma da alínea "a" do inciso I, ou do inciso IV ou V do art. 8o desta Lei , pode requerer aposentadoria por idade, no valor de um salário mínimo, durante quinze anos, contados a partir da data de vigência daquela lei, desde que comprove o exercício de atividade rural, ainda que descontínua, no período imediatamente anterior ao requerimento do benefício, em número de meses idêntico à carência do referido benefício.
LIVRO III
DOS BENEFÍCIOS DE LEGISLAÇÃO ESPECIAL
TÍTULO I
DO EX-COMBATENTE
Art. 128. O ex-combatente segurado da Previdência Social e seus dependentes terão direito às prestações previdenciárias, concedidas, mantidas e reajustadas de conformidade com o Regime Geral de Previdência Social, salvo quanto:
I - ao tempo de contribuição para aquisição de direito à aposentadoria por tempo de contribuição, que será de vinte e cinco anos; e
II - à renda mensal do auxílio-doença e da aposentadoria de qualquer espécie, que será igual a cem por cento do salário-de-benefício, definido e delimitado no Regime Geral de Previdência Social.
Art. 129. Considera-se ex-combatente, para os efeitos deste Título, o definido como tal na Lei no 5.315, de 12 de setembro de 1967, bem como o integrante da Marinha Mercante Nacional que, entre 22 de março de 1941 e 8 de maio de 1945, tenha participado de pelo menos duas viagens em zona de ataques submarinos.
Parágrafo único. Consideram-se, ainda, ex-combatentes, para os efeitos deste Título, os pilotos civis que, no período referido neste artigo, tenham comprovadamente participado, por solicitação de autoridade militar, de patrulhamento, busca, vigilância, localização de navios torpedeados e assistência aos náufragos.
Art. 130. O ex-combatente aposentado antes de 1o de setembro de 1971, data da Lei no 5.698, de 1971, terá direito à revisão do cálculo da renda mensal de seu benefício, para que ela seja ajustada ao valor estabelecido no inciso II do art. 128, com efeitos financeiros a contar da data do pedido de revisão.
TÍTULO II
DA PENSÃO ESPECIAL PARA PORTADORES DE DEFICIÊNCIA FÍSICA DA SÍNDROME DA
TALIDOMIDA
Art. 131. O Poder Executivo está autorizado a conceder pensão especial, mensal, vitalícia e intransferível, aos portadores da deficiência física conhecida como "Síndrome da Talidomida" que a requererem, devida a partir da entrada do pedido de pagamento no INSS.
§ 1o O valor da pensão especial será calculado, mediante a multiplicação do número total de pontos indicadores da natureza e do grau de dependência resultante da deformidade física, constante do processo de concessão, por R$ 154,61 (cento e cinqüenta e quatro reais e sessenta e um centavos), e não será inferior ao valor de um salário mínimo.
§ 2o Quanto à natureza, a dependência compreenderá a incapacidade para o trabalho, para a deambulação, para a higiene pessoal e para a própria alimentação, atribuindo-se a cada uma um ou dois pontos, respectivamente, conforme seja o seu grau parcial ou total.
Art. 132. A percepção do benefício de que trata este Título dependerá unicamente da apresentação de atestado médico comprobatório das condições constantes do art. 131, passado por junta médica oficial para esse fim constituída pelo INSS, sem qualquer ônus para os interessados.
Art. 133. A pensão especial de que trata este Título, ressalvado o direito de opção, não é acumulável com rendimento ou indenização que, a qualquer título, venha a ser paga pela União a seus beneficiários.
Parágrafo único. O benefício de que trata este Título é de natureza indenizatória, não prejudicando eventuais benefícios de natureza previdenciária, e não poderá ser reduzido em razão de eventual aquisição de capacidade laborativa ou de redução de incapacidade para o trabalho, ocorridas após a sua concessão.
Art. 134. A pensão especial será mantida e paga pelo INSS, por conta do Tesouro Nacional.
Art. 135. O Tesouro Nacional porá à disposição da Previdência Social, à conta de dotações próprias consignadas no orçamento da União, os recursos necessários ao pagamento da pensão especial, em cotas trimestrais, de acordo com a programação financeira da União.
TÍTULO III
DO SERINGUEIRO E SEUS DEPENDENTES
Art. 136. É assegurado aos seringueiros recrutados nos termos do Decreto-Lei no 5.813, de 14 de setembro de 1943, que tenham trabalhado durante a Segunda Guerra Mundial nos Seringais da Região Amazônica, amparados pelo Decreto-Lei no 9.882, de 16 de setembro de 1946, e que não possuam meios para a sua subsistência e da sua família, o pagamento de pensão mensal vitalícia correspondente ao valor de dois salários mínimos vigentes no País.
Parágrafo único. O benefício a que se refere este artigo estende-se aos seringueiros que, atendendo ao chamamento do Governo Brasileiro, trabalharam na produção de borracha, na Região Amazônica, contribuindo para o esforço de guerra.
Art. 137. O benefício de que trata este Título é transferível aos dependentes que comprovem o estado de carência.
Art. 138. A comprovação da efetiva prestação de serviços a que alude este Título, inclusive mediante justificação administrativa ou judicial, só produzirá efeito quando baseada em início de prova material, não sendo admitida prova exclusivamente testemunhal.
§ 1o A comprovação da efetiva prestação de serviços a que alude o caput far-se-á perante os órgãos do Ministério da Previdência e Assistência Social.
§ 2o Caberá à Defensoria Pública, por solicitação do interessado, quando necessitado, promover a justificação judicial, ficando o solicitante isento de quaisquer custas judiciais ou outras despesas.
§ 3o O prazo para julgamento da justificação é de quinze dias.
Art. 139. A comprovação da carência do beneficiário ou do dependente será feita com a apresentação de atestado fornecido por órgão oficial.
Art. 140. Os pedidos de concessão do benefício ou de sua transferência, devidamente instruídos, serão processados e julgados no prazo de quarenta e cinco dias, sob pena de responsabilidade.
Parágrafo único. Os pagamentos de pensão especial iniciar-se-ão no prazo máximo de trinta dias após o reconhecimento do direito.
Art. 141. O órgão previdenciário encarregado do pagamento da pensão deverá firmar convênios com outros órgãos públicos federais, estaduais ou municipais, a fim de possibilitar aos beneficiários deste Título perceberem mensalmente as respectivas pensões, preferencialmente nos locais onde residam, sem necessidade de grandes deslocamentos.
TÍTULO IV
DA COMPLEMENTAÇÃO DE APOSENTADORIA DOS FERROVIÁRIOS DA REDE FERROVIÁRIA
FEDERAL S.A. - RFFSA E DO PESSOAL DO EXTINTO DEPARTAMENTO DE CORREIOS
E TELÉGRAFOS - DCT
CAPÍTULO I
DA COMPLEMENTAÇÃO DE APOSENTADORIA DOS FERROVIÁRIOS DA REDE FERROVIÁRIA
FEDERAL S.A. - RFFSA
Art. 142. É garantida a complementação da aposentadoria paga na forma do Regime Geral de Previdência Social aos ferroviários admitidos até 31 de outubro de 1969, na Rede Ferroviária Federal S.A., suas estradas de ferro, unidades operacionais e subsidiárias.
Parágrafo único. O direito à complementação da aposentadoria de que trata o caput é estendido, a partir de 1o de abril de 2002, aos ferroviários admitidos até 21 de maio de 1991.
Art. 143. Observadas as normas de concessão de benefícios do Regime Geral de Previdência Social, a complementação da aposentadoria devida pela União é constituída pela diferença entre o valor da aposentadoria paga pelo INSS e o da remuneração do cargo correspondente ao do pessoal em atividade na Rede Ferroviária Federal S.A e suas subsidiárias, com a respectiva gratificação adicional por tempo de serviço.
Parágrafo único. O reajustamento do valor da aposentadoria complementada obedecerá aos mesmos prazos e condições em que for reajustada a remuneração do ferroviário em atividade, de forma a assegurar a permanente igualdade entre eles.
Art. 144. A gestão da complementação da aposentadoria instituída pela Lei no 8.186, de 21 de maio de 1991, originariamente a cargo da Rede Ferroviária Federal, é de responsabilidade do Ministério dos Transportes, a partir de 6 de maio de 2001.
Art. 145. Os efeitos deste Capítulo alcançam também os ferroviários, ex-servidores públicos ou autárquicos que, com base na Lei n° 6.184, de 11 de dezembro de 1974, e no Decreto-Lei no 5, de 4 de abril de 1966, optaram pela integração nos quadros da Rede Ferroviária Federal S.A. sob o regime da Consolidação das Leis do Trabalho, inclusive os tornados inativos no período de 17 de março de 1975 a 19 de maio de 1980.
Art. 146. Constitui condição essencial para a concessão da complementação de que trata este Capítulo a detenção, pelo beneficiário, da condição de ferroviário, na data imediatamente anterior ao início da aposentadoria previdenciária.
Art. 147. A complementação da pensão de beneficiário do ferroviário abrangido por este Capítulo é igualmente devida pela União e continuará a ser paga pelo INSS, observadas as normas de concessão de benefícios do Regime Geral de Previdência Social e as disposições do parágrafo único do art. 143.
Parágrafo único. Em nenhuma hipótese, a pensão previdenciária complementada poderá ser paga cumulativamente com as pensões especiais previstas nas Leis n°s 3.738, de 3 de abril de 1960, e 6.782, de 20 de maio de 1980, ou quaisquer outros benefícios pagos pelo Tesouro Nacional.
Art. 148. O Tesouro Nacional manterá à disposição do INSS, à conta de dotações próprias consignadas no Orçamento da União, os recursos necessários ao pagamento da complementação de que trata este Capítulo.
CAPÍTULO II
DA COMPLEMENTAÇÃO DA APOSENTADORIA DO PESSOAL DO EXTINTO DEPARTAMENTO DE
CORREIOS E TELÉGRAFOS - DCT
Art. 149. É garantida a complementação da aposentadoria, paga na forma prevista no Regime Geral de Previdência Social, aos empregados da Empresa Brasileira de Correios e Telégrafos - ECT que tenham sido integrados nos seus quadros até 31 de dezembro de 1976.
Art. 150. Observadas as normas de concessão de benefícios do Regime Geral de Previdência Social, a complementação da aposentadoria devida pela União é constituída pela diferença entre o valor da aposentadoria paga pelo INSS e o valor da remuneração correspondente à do pessoal em atividade na ECT, com a respectiva gratificação adicional por tempo de serviço.
Parágrafo único. O reajuste do valor da aposentadoria complementada obedecerá aos mesmos prazos e condições em que for reajustada a remuneração dos empregados da ECT, em atividade, de forma a assegurar a permanente igualdade entre eles.
Art. 151. Os efeitos deste Capítulo alcançam, também, os ex-empregados da ECT que já se encontram na inatividade, mas optaram pela integração nos seus quadros, sob o regime da Consolidação das Leis do Trabalho, até 31 de dezembro de 1975.
Art. 152. Constitui requisito essencial para a concessão da complementação de que trata este Capítulo a condição de empregado da ECT, integrado nos seus quadros com base na Lei no 6.184, de 11 de dezembro de 1974, e originário do extinto Departamento de Correios e Telégrafos.
Art. 153. A complementação da pensão de beneficiário do empregado ECT, abrangido por este Capítulo, é igualmente devida pela União e continuará a ser paga pelo INSS, observadas as normas de concessão de benefícios do Regime Geral de Previdência Social e as disposições do parágrafo único do art. 150.
Art. 154. O Tesouro Nacional manterá à disposição do INSS, à conta de dotações próprias consignadas no Orçamento da União, os recursos necessários ao pagamento da complementação de que trata este Capítulo.
TÍTULO V
DA PENSÃO ESPECIAL PARA OS DEPENDENTES DAS VÍTIMAS FATAIS DE HEMODIÁLISE DA
CIDADE DE CARUARU NO ESTADO DE PERNAMBUCO
Art. 155. O Poder Executivo está autorizado a conceder pensão especial mensal, retroativa à data do óbito, no valor de um salário mínimo vigente no País, ao cônjuge, companheiro ou companheira, descendente, ascendente e colaterais até segundo grau das vítimas fatais de hepatite tóxica, por contaminação em processo de hemodiálise no Instituto de Doenças Renais, com sede na cidade de Caruaru, no Estado de Pernambuco, no período compreendido entre fevereiro e março de 1996, mediante evidências clínico-epidemiológicas determinadas pela autoridade competente.
Art. 156. Havendo mais de um pensionista habilitado ao recebimento da pensão de que trata o art. 155, aplica-se, no que couber, o disposto no art. 74.
Art. 157. A percepção do benefício dependerá do atestado de óbito da vitima, indicativo de causa mortis relacionada com os incidentes mencionados no art. 155 comprovados com o respectivo prontuário médico, e da qualificação definida no art. 155, justificada judicialmente, quando inexistir documento oficial que a declare.
Art. 158. A pensão de que trata este Título não se transmitirá ao sucessor e se extinguirá com a morte do último beneficiário.
Art. 159. Os efeitos deste Título serão sustados, imediatamente, no caso de a Justiça sentenciar os proprietários do Instituto de Doenças Renais com o pagamento de pensão ou indenização aos dependentes das vítimas.
Art. 160. A despesa decorrente deste Título será atendida com recursos alocados ao orçamento do INSS, à conta da subatividade "Aposentadorias e Pensões Especiais concedidas por legislação específica e de responsabilidade do Tesouro Nacional".
LIVRO IV
DO PLANO DE CUSTEIO DA SEGURIDADE SOCIAL
TÍTULO I
DO FINANCIAMENTO DA SEGURIDADE SOCIAL
CAPÍTULO I
INTRODUÇÃO
Art. 161. A Seguridade Social será financiada por toda sociedade, de forma direta e indireta, nos termos do art. 195 da Constituição Federal e desta Lei, mediante recursos provenientes da União, dos Estados, do Distrito Federal, dos Municípios e de contribuições sociais.
Art. 162. No âmbito federal, o orçamento da Seguridade Social é composto das seguintes receitas:
I - receitas da União;
II - receitas das contribuições sociais; e
III - receitas de outras fontes.
Parágrafo único. Constituem contribuições sociais:
I - as das empresas, incidentes sobre a remuneração paga ou creditada aos segurados a seu serviço;
II - as dos empregadores domésticos;
III - as dos trabalhadores, incidentes sobre o seu salário-de-contribuição;
IV - as das empresas, incidentes sobre faturamento e lucro;
V - as incidentes sobre concursos de prognósticos; e
VI - as incidentes sobre a receita de concursos de prognósticos.
CAPÍTULO II
DA CONTRIBUIÇÃO DA UNIÃO
Art. 163. A contribuição da União é constituída de recursos adicionais do orçamento fiscal, fixados obrigatoriamente na lei orçamentária anual.
Parágrafo único. A União é responsável pela cobertura de eventuais insuficiências financeiras da Seguridade Social, quando decorrentes do pagamento de benefícios de prestação continuada da Previdência Social, na forma da lei orçamentária anual.
Art. 164. Os recursos da Seguridade Social referidos no inciso V do parágrafo único do art. 162 poderão contribuir para o financiamento das despesas com pessoal e administração geral apenas do INSS.
Art. 165. Para pagamento dos encargos previdenciários da União, poderão contribuir os recursos da Seguridade Social referidos no inciso IV do parágrafo único do art. 162, na forma da lei orçamentária anual, assegurada a destinação de recursos para as ações desta Lei, de Saúde e Assistência Social.
Art. 166. O Tesouro Nacional repassará mensalmente recursos referentes às contribuições mencionadas nos incisos IV, V e VI do parágrafo único do art. 162, destinados à execução do orçamento da Seguridade Social.
CAPÍTULO III
DA CONTRIBUIÇÃO DO SEGURADO
Seção
I
Da Contribuição dos Segurados Empregado, Empregado Doméstico e Trabalhador
Avulso
Art. 167. A contribuição do empregado, inclusive o doméstico, e a do trabalhador avulso é calculada mediante a aplicação da correspondente alíquota sobre o seu salário-de-contribuição mensal, de forma não cumulativa, observado o disposto nos arts. 185 e 186, de acordo com a seguinte tabela:
|
Tabela de contribuição dos segurados empregado, empregado doméstico e trabalhador avulso |
|||
|
|
Salário-de-contribuição |
Alíquota em percentagem |
|
|
|
Até R$ 468,47 |
8,00 |
|
|
|
de R$ 468,48 até R$ 780,78 |
9,00 |
|
|
|
de R$ 780,79 até R$ 1.561,56 |
11,00 |
|
Parágrafo único. O disposto neste artigo aplica-se também aos segurados empregados e trabalhadores avulsos que prestem serviços a microempresas.
Seção
II
Da Contribuição dos Segurados Contribuinte Individual e Facultativo
Art. 168. A alíquota de contribuição dos segurados contribuinte individual e facultativo é de vinte por cento, sobre o respectivo salário-de-contribuição.
Seção
III
Da Contribuição do Segurado Especial
Art. 169. A contribuição do segurado especial referido no inciso V do art. 8o, em substituição às contribuições de que tratam o inciso I do art. 170 e o art. 171, destinada à Seguridade Social, é de:
I - dois por cento da receita bruta proveniente da comercialização da sua produção; e
II - zero vírgula um por cento da receita bruta proveniente da comercialização da sua produção para financiamento dos benefícios concedidos em razão do grau de incidência de incapacidade laborativa decorrente dos riscos ambientais do trabalho.
§ 1o Integram a produção, para os efeitos deste artigo, os produtos de origem animal ou vegetal, em estado natural ou submetidos a processos de beneficiamento ou industrialização rudimentar, assim compreendidos, entre outros, os processos de lavagem, limpeza, descaroçamento, pilagem, descascamento, lenhamento, pasteurização, resfriamento, secagem, fermentação, embalagem, cristalização, fundição, carvoejamento, cozimento, destilação, moagem, torrefação, bem como os subprodutos e os resíduos obtidos através desses processos.
§ 2o Não integra a base de cálculo dessa contribuição a produção rural destinada ao plantio ou reflorestamento, nem sobre o produto animal destinado a reprodução ou criação pecuária ou granjeira e a utilização como cobaias para fins de pesquisas científicas, quando vendido pelo próprio produtor e quem a utilize diretamente com essas finalidades, e no caso de produto vegetal, por pessoa ou entidade que, registrada no Ministério da Agricultura, Pecuária e Abastecimento, se dedique ao comércio de sementes e mudas no País.
§ 3o O segurado especial de que trata este artigo, além da contribuição obrigatória referida no caput, poderá contribuir, facultativamente, na forma do art. 168.
CAPÍTULO IV
DAS CONTRIBUIÇÕES DA EMPRESA
Seção
I
Das Contribuições das Empresas em Geral
Art. 170. A contribuição a cargo da empresa, destinada à Seguridade Social, além das contribuições administradas pela Secretaria da Receita Federal, é de:
I - vinte por cento sobre o total das remunerações pagas, devidas ou creditadas a qualquer título, durante o mês, aos segurados empregados e trabalhadores avulsos que lhe prestem serviços, observado o disposto nos arts. 185 e 186.
II - vinte por cento sobre o total das remunerações pagas ou creditadas a qualquer título, no decorrer do mês, aos segurados contribuintes individuais que lhe prestem serviços;
III - quinze por cento sobre o valor bruto da nota fiscal ou fatura de prestação de serviços, relativamente a serviços que lhe são prestados por cooperados por intermédio de cooperativas de trabalho.
§ 1o No caso de bancos comerciais, bancos de investimentos, bancos de desenvolvimento, caixas econômicas, sociedades de crédito, financiamento e investimento, sociedades de crédito imobiliário, sociedades corretoras, distribuidoras de títulos e valores mobiliários, empresas de arrendamento mercantil, cooperativas de crédito, empresas de seguros privados e de capitalização, agentes autônomos de seguros privados e de crédito e entidades de previdência privada abertas e fechadas, além das contribuições referidas neste artigo e das contribuições destinadas à Seguridade Social, administradas pela Secretaria da Receita Federal, é devida a contribuição adicional de dois virgula cinco por cento sobre a base de cálculo definida nos incisos I e II deste artigo.
§ 2o O Poder Executivo estabelecerá, na forma da lei, ouvido o Conselho Nacional da Seguridade Social, mecanismos de estímulo às empresas que se utilizem de empregados portadores de deficiências física, sensorial ou mental com desvio do padrão médio.
Art. 171. A contribuição da empresa, destinada ao financiamento do benefício previsto nos arts. 54 e 55 e daqueles concedidos em razão do grau de incidência de incapacidade laborativa decorrente dos riscos ambientais do trabalho, conforme dispuser o regulamento, sobre o total das remunerações pagas ou creditadas, no decorrer do mês, aos segurados empregados e trabalhadores avulsos, é de:
I - um por cento para as empresas em cuja atividade preponderante o risco de acidentes do trabalho seja considerado leve;
II - dois por cento para as empresas em cuja atividade preponderante esse risco seja considerado médio; ou
III - três por cento para as empresas em cuja atividade preponderante esse risco seja considerado grave.
Parágrafo único. O Ministério da Previdência e Assistência Social poderá alterar, com base nas estatísticas de acidentes do trabalho, apuradas em inspeção, o enquadramento de empresas para efeito da contribuição a que se refere o caput, a fim de estimular investimentos em prevenção de acidentes.
Art. 172. O benefício previsto no art. 54 será financiado pela contribuição da empresa de que trata o art. 171, cujas alíquotas são acrescidas de doze, nove ou seis pontos percentuais, conforme a atividade exercida pelo segurado a serviço da empresa permita a concessão de aposentadoria especial após quinze, vinte ou vinte e cinco anos de contribuição, respectivamente.
Parágrafo único. O acréscimo de que trata o caput incide exclusivamente sobre a remuneração do segurado sujeito às condições especiais referidas no caput do art. 54.
Art. 173. As contribuições de que tratam o inciso I do art. 170 e o art. 171 serão devidas pelos cooperados, na forma do art. 178, se pessoa jurídica, e do art. 180, se pessoa física, quando a cooperativa de produção rural contratar pessoal, exclusivamente, para colheita de produção de seus cooperados.
§ 1o Os encargos decorrentes da contratação de que trata o caput são apurados separadamente dos relativos aos empregados regulares da cooperativa, discriminadamente por cooperados, na forma do regulamento.
§ 2o A cooperativa de que trata o caput é diretamente responsável pelo recolhimento da contribuição previdenciária de que trata o art. 167.
Seção
II
Da Isenção das Contribuições
Art. 174. Fica isenta das contribuições de que tratam os art. 170 e 171 a entidade beneficente de assistência social que atenda aos seguintes requisitos cumulativamente:
I - seja reconhecida como de utilidade pública federal e estadual ou do Distrito Federal ou municipal;
II - seja portadora do Certificado e do Registro de Entidade de Fins Filantrópicos, fornecido pelo Conselho Nacional de Assistência Social, renovado a cada três anos;
III - promova, gratuitamente e em caráter exclusivo, a assistência social beneficente a pessoas carentes, em especial a crianças, adolescentes, idosos e portadores de deficiência;
IV - não percebam seus diretores, conselheiros, sócios, instituidores ou benfeitores, remuneração e não usufruam vantagens ou benefícios a qualquer título; e
V - aplique integralmente o eventual resultado operacional na manutenção e desenvolvimento de seus objetivos institucionais apresentando, anualmente ao órgão do INSS competente, relatório circunstanciado de suas atividades.
§ 1o Ressalvados os direitos adquiridos, a isenção de que trata este artigo será requerida ao INSS, que terá o prazo de trinta dias para despachar o pedido.
§ 2o A isenção de que trata este artigo não abrange empresa ou entidade que, tendo personalidade jurídica própria, seja mantida por outra que esteja no exercício da isenção.
§ 3o Para os fins deste artigo, entende-se por assistência social beneficente a prestação gratuita de benefícios e serviços a quem dela necessitar.
§ 4o Considera-se também de assistência social beneficente, para os fins deste artigo, a oferta e a efetiva prestação de serviços de pelo menos sessenta por cento ao Sistema Único de Saúde, nos termos do regulamento.
§ 5o O INSS cancelará a isenção se verificado o descumprimento do disposto neste artigo.
Art. 175. As entidades sem fins lucrativos educacionais e as que atendam ao Sistema Único de Saúde, mas não pratiquem de forma exclusiva e gratuita atendimento a pessoas carentes, gozarão da isenção das contribuições de que tratam os arts. 170 e 171, na proporção do valor das vagas cedidas, integral e gratuitamente, a carentes e do valor do atendimento à saúde de caráter assistencial, desde que satisfaçam os requisitos referidos nos incisos I, II, IV e V do art. 174, na forma do regulamento.
Seção
III
Das Contribuições Substitutivas
Subseção
I
Das Contribuições da Microempresa e da Empresa de Pequeno Porte optantes pelo
Sistema Integrado de Pagamento de Impostos e Contribuições das Microempresas e
das Empresas de Pequeno Porte - SIMPLES
Art. 176. A pessoa jurídica enquadrada como microempresa ou empresa de pequeno porte, regularmente inscrita no Sistema Integrado de Pagamento de Impostos e Contribuições das Microempresas e Empresas de Pequeno Porte - SIMPLES, contribuirá em substituição às contribuições de que tratam os arts. 170 e 171, na forma estabelecida no art. 5o da Lei no 9.317, de 5 de dezembro de 1996.
Subseção
II
Da Contribuição da Associação Desportiva que Mantém Equipe de Futebol
Profissional
Art. 177. A contribuição empresarial da associação desportiva que mantém equipe de futebol profissional destinada à Seguridade Social, em substituição à prevista no inciso I do art. 170 e no art. 171, corresponde a cinco por cento da receita bruta, decorrente dos espetáculos desportivos de que participem em todo território nacional em qualquer modalidade desportiva, inclusive jogos internacionais, e de qualquer forma de patrocínio, licenciamento de uso de marcas e símbolos, publicidade, propaganda e de transmissão de espetáculos desportivos.
§ 1o Caberá à entidade promotora do espetáculo a responsabilidade de efetuar o desconto de cinco por cento da receita bruta decorrente dos espetáculos desportivos e o respectivo recolhimento ao INSS, no prazo de até dois dias úteis após a realização do evento.
§ 2o Caberá à associação desportiva que mantém equipe de futebol profissional informar à entidade promotora do espetáculo desportivo todas as receitas auferidas no evento, discriminando-as detalhadamente.
§ 3o No caso de a associação desportiva que mantém equipe de futebol profissional receber recursos de empresa ou entidade, a título de patrocínio, licenciamento de uso de marcas e símbolos, publicidade, propaganda e transmissão de espetáculos, esta última ficará com a responsabilidade de reter e recolher o percentual de cinco por cento da receita bruta decorrente do evento, inadmitida qualquer dedução, no prazo estabelecido na alínea "b" do inciso I do art. 188.
§ 4o O disposto no caput e nos §§ 1o a 3o aplica-se à associação desportiva que mantém equipe de futebol profissional e que se organize na forma da Lei no 9.615, de 24 de março de 1998.
§ 5o Não se aplica o disposto no caput e nos §§ 1o a 3o às demais associações desportivas, que devem contribuir na forma dos arts. 170 a 172, e das demais contribuições, destinadas à Seguridade Social, administradas pela Secretaria da Receita Federal.
Subseção
III
Da Contribuição do Empregador Rural Pessoa Jurídica
Art. 178. A contribuição devida à Seguridade Social pelo empregador, pessoa jurídica, que se dedique à produção rural, em substituição às previstas no inciso I do art. 170 e no art. 171, passa a ser a seguinte:
I - dois e meio por cento da receita bruta proveniente da comercialização de sua produção; e
II - um décimo por cento da receita bruta proveniente da comercialização de sua produção, para o financiamento dos benefícios concedidos em razão do grau de incidência de incapacidade laborativa decorrente dos riscos ambientais do trabalho.
§ 1o O disposto neste artigo não se aplica às operações relativas à prestação de serviços a terceiros, cujas contribuições previdenciárias continuam sendo devidas na forma dos arts. 170 a 172.
§ 2o Para os efeitos deste artigo, será observado o disposto no § 1o do art. 169.
Subseção
IV
Da Contribuição da Agroindústria
Art. 179. A contribuição devida pela agroindústria, definida, para os efeitos desta Lei, como sendo o produtor rural pessoa jurídica cuja atividade econômica seja a industrialização de produção própria ou de produção própria e adquirida de terceiros, incidente sobre o valor da receita bruta proveniente da comercialização da produção, em substituição às previstas no inciso I do art. 170 e no art. 171, é de:
I - dois vírgula cinco por cento destinados à Seguridade Social; e
II - zero vírgula um por cento para o financiamento do benefício previsto nos arts. 54 e 55, e daqueles concedidos em razão do grau de incidência de incapacidade para o trabalho decorrente dos riscos ambientais da atividade.
§ 1o O disposto neste artigo não se aplica às operações relativas à prestação de serviços a terceiros, cujas contribuições previdenciárias continuam sendo devidas na forma dos arts. 170 a 172.
§ 2o Na hipótese do § 1o , a receita bruta correspondente aos serviços prestados a terceiros será excluída da base de cálculo da contribuição de que trata o caput.
§ 3o O disposto neste artigo não se aplica às sociedades cooperativas e às agroindústrias de piscicultura, carcinicultura, suinocultura e avicultura.
Subseção
V
Da Contribuição do Empregador Rural Pessoa Física e do Consórcio de
Produtores Rurais Pessoas Físicas
Art. 180. A contribuição do empregador rural pessoa física de que trata a alínea "d" do inciso IV do art. 8o, em substituição às contribuições de que tratam o inciso I do art. 170 e o art. 171, destinada à Seguridade Social, é de:
I - dois por cento da receita bruta proveniente da comercialização da sua produção; e
II - um décimo por cento da receita bruta proveniente da comercialização da sua produção para financiamento dos benefícios concedidos em razão do grau de incidência de incapacidade laborativa decorrente dos riscos ambientais do trabalho.
Parágrafo único. Aplica-se o disposto nos §§ 1o e 2o do art. 169 ao empregador rural pessoa física.
Art. 181. Equipara-se ao empregador rural pessoa física o consórcio simplificado de produtores rurais, formado pela união de produtores rurais pessoas físicas, que outorgar a um deles poderes para contratar, gerir e demitir trabalhadores para prestação de serviços, exclusivamente, aos seus integrantes, mediante documento registrado em cartório de títulos e documentos, observado o disposto no art. 199.
§ 1o O documento de que trata o caput deverá conter a identificação de cada produtor, seu endereço pessoal e o de sua propriedade rural, bem como o respectivo registro no Instituto Nacional de Colonização e Reforma Agrária ou informações relativas a parceria, arrendamento ou equivalente e a matrícula no INSS de cada um dos produtores rurais.
§ 2o O consórcio deverá ser matriculado no INSS em nome do empregador a quem hajam sido outorgados os poderes, na forma do regulamento.
§ 3o As contribuições de que tratam o inciso I do art. 170 e o art. 171 são substituídas, em relação à remuneração paga, devida ou creditada ao trabalhador rural contratado pelo consórcio simplificado de produtores rurais de que trata este artigo, pela contribuição dos respectivos produtores rurais, calculada na forma do art. 180.
CAPÍTULO V
DA CONTRIBUIÇÃO DO EMPREGADOR DOMÉSTICO
Art. 182. A contribuição do empregador doméstico é de doze por cento do salário-de-contribuição do empregado doméstico a seu serviço.
CAPÍTULO VI
DA CONTRIBUIÇÃO SOBRE OS CONCURSOS DE PROGNÓSTICOS
Art. 183. Constitui receita da Seguridade Social:
I - a renda líquida dos concursos de prognósticos, excetuando-se os valores destinados ao Programa de Crédito Educativo; e
II - quinze por cento sobre a emissão de bilhetes de Loteria Federal, incluindo as emissões de "sweepstakes".
§ 1o Consideram-se concursos de prognósticos todos e quaisquer concursos de sorteios de números, loterias, apostas, inclusive as realizadas em reuniões hípicas, nos âmbitos federal, estadual, do Distrito Federal e municipal.
§ 2o Para efeito do disposto no inciso I, entende-se por renda líquida o total da arrecadação, deduzidos os valores destinados ao pagamento de prêmios, de impostos e de despesas com a administração, conforme fixado em lei, que inclusive estipulará o valor dos direitos a serem pagos às entidades desportivas pelo uso de suas denominações e símbolos.
§ 3o O valor arrecadado na forma do inciso II constitui fonte de receita da Previdência Social destinado ao programa de pagamento de benefícios do Regime Geral de Previdência Social e será repassado diretamente ao INSS.
CAPÍTULO VII
DAS OUTRAS RECEITAS DA SEGURIDADE SOCIAL
Art. 184. Constituem outras receitas da Seguridade Social:
I - as multas, a atualização monetária e os juros moratórios;
II - a remuneração recebida por serviços de arrecadação, fiscalização e cobrança prestados a terceiros;
III - as receitas provenientes de prestação de outros serviços e de fornecimento ou arrendamento de bens;
IV - as demais receitas patrimoniais, industriais e financeiras;
V - as doações, legados, subvenções e outras receitas eventuais;
VI - quarenta por cento do resultado dos leilões dos bens apreendidos pela Secretaria da Receita Federal; e
VII - outras receitas previstas em legislação específica.
Parágrafo único. As companhias seguradoras que mantêm o seguro obrigatório de danos pessoais causados por veículos automotores de vias terrestres, de que trata a Lei no 6.194, de dezembro de 1974, devem repassar à Seguridade Social cinqüenta por cento do valor total do prêmio recolhido e destinado ao Sistema Único de Saúde - SUS, para custeio da assistência médico-hospitalar dos segurados vitimados em acidentes de trânsito, de cujo valor, dez por cento serão repassados mensalmente ao Coordenador do Sistema Nacional de trânsito para aplicação exclusiva em programas destinados à prevenção de acidentes.
CAPÍTULO VIII
DO SALÁRIO-DE-CONTRIBUIÇÃO
Art. 185. Entende-se por salário-de-contribuição:
I - para o empregado e trabalhador avulso: a remuneração auferida em uma ou mais empresas, assim entendida a totalidade dos rendimentos pagos, devidos ou creditados a qualquer título, durante o mês, destinados a retribuir o trabalho, qualquer que seja a sua forma, inclusive as gorjetas, os ganhos habituais sob a forma de utilidades e os adiantamentos decorrentes de reajuste salarial, quer pelos serviços efetivamente prestados, quer pelo tempo à disposição do empregador ou tomador de serviços nos termos da lei ou do contrato ou, ainda, de convenção ou acordo coletivo de trabalho ou sentença normativa;
II - para o empregado doméstico: a remuneração registrada na Carteira de Trabalho e Previdência Social, observadas as normas a serem estabelecidas em regulamento para comprovação do vínculo empregatício e do valor da remuneração;
III - para o contribuinte individual: a remuneração auferida em uma ou mais empresas ou pelo exercício de sua atividade por conta própria, durante o mês, observado o limite máximo a que se refere o § 3o; e
IV - para o segurado facultativo: o valor por ele declarado, observado o limite máximo a que se refere o § 3o.
§ 1o O limite mínimo do salário-de-contribuição corresponde ao piso salarial, legal ou normativo, da categoria ou, inexistindo este, ao salário mínimo, tomado no seu valor mensal, diário ou horário, conforme o ajustado e o tempo de trabalho efetivo durante o mês.
§ 2o O limite mínimo do salário-de-contribuição do menor aprendiz corresponde a sua remuneração mínima definida em lei.
§ 3o O limite máximo do salário-de-contribuição é de R$ 1.561,56 (um mil quinhentos e sessenta e um reais e cinqüenta e seis centavos).
§ 4o Quando a admissão, a dispensa, o afastamento ou a falta do empregado ocorrer no curso do mês, o salário-de-contribuição será proporcional ao número de dias de trabalho efetivo, na forma estabelecida em regulamento.
§ 5o O décimo terceiro salário integra o salário-de-contribuição, exceto para o cálculo de benefício, na forma estabelecida em regulamento.
§ 6o O salário-maternidade é considerado salário-de-contribuição.
§ 7o O valor das diárias pagas, quando excedente a cinqüenta por cento da remuneração mensal, integra o salário-de-contribuição, pelo seu valor total.
§ 8o Considera-se salário-de-contribuição, para o segurado empregado e trabalhador avulso, na condição prevista no § 7o do art. 8o, a remuneração efetivamente auferida na entidade sindical ou empresa de origem.
Art. 186. Não integram o salário-de-contribuição para os fins desta Lei, exclusivamente:
I - os benefícios da Previdência Social, nos termos e limites legais, salvo o salário-maternidade;
II - o abono do Programa de Integração Social - PIS e do Programa de Formação do Patrimônio do Servidor Público - PASEP;
III - a importância paga ao empregado a título de complementação ao valor do auxílio-doença, desde que este direito seja extensivo à totalidade dos empregados da empresa;
IV - a parcela recebida a título de vale-transporte, na forma da legislação própria;
V - o valor correspondente a vestuários, equipamentos e outros acessórios fornecidos ao empregado e utilizados no local do trabalho para prestação dos respectivos serviços;
VI - a parcela in natura recebida de acordo com os programas de alimentação aprovados pelo Ministério do Trabalho e Emprego, nos termos de lei específica;
VII - os valores correspondentes a transporte, alimentação e habitação fornecidos pela empresa ao empregado contratado para trabalhar em localidade distante da de sua residência, em canteiro de obras ou local que, por força da atividade, exija deslocamento e estada, observadas as normas de proteção estabelecidas pelo Ministério do Trabalho e Emprego;
VIII - as importâncias relativas à indenização por tempo de serviço, anterior a 5 de outubro de 1988, do empregado não optante pelo Fundo de Garantia do Tempo de Serviço;
IX - as importâncias recebidas a título da indenização por despedida sem justa causa, nos contratos que tenham termo estipulado, conforme legislação específica;
X - as importâncias recebidas pelo safrista a título da indenização do tempo de serviço, correspondente a um doze avos do salário mensal, por mês de serviço ou fração superior a quatorze dias;
XI - as importâncias recebidas a título da indenização por dispensa, sem justa causa, no período de trinta dias que antecede a data de sua correção salarial, conforme legislação específica;
XII - as importâncias recebidas a título de licença-prêmio indenizada;
XIII - as importâncias recebidas a título de incentivo à demissão;
XIV - as importâncias recebidas a título de férias indenizadas e respectivo adicional constitucional, inclusive o valor correspondente à dobra da remuneração de férias de que trata o art. 137 da Consolidação das Leis do Trabalho;
XV - as importâncias previstas no inciso I do art. 10 do Ato das Disposições Constitucionais Transitórias;
XVI - as importâncias recebidas a título de abono de férias até um terço do período de férias, bem como o concedido em virtude de cláusula de contrato de trabalho, de regulamento de empresa, de convenção ou acordo coletivo, desde que não excedente de vinte dias do salário, conforme lei específica;
XVII - as ajudas de custo e o adicional mensal recebidos pelo aeronauta nos termos de lei específica;
XVIII - a ajuda de custo, em parcela única, recebida exclusivamente em decorrência de mudança de local de trabalho do empregado, na forma da legislação específica;
XIX - a importância recebida a título de bolsa de complementação educacional de estagiário, assim entendido o aluno regularmente matriculado e que venha freqüentando, efetivamente curso vinculado à estrutura do ensino público e particular, nos níveis superior e profissionalizante de nível médio, quando paga nos termos de lei específica;
XX - o valor relativo a plano educacional que vise à educação básica, formada pela educação infantil, ensino fundamental e ensino médio, e a cursos de capacitação e qualificação profissionais vinculados às atividades desenvolvidas pela empresa, desde que todos os empregados e dirigentes tenham acesso ao mesmo;
XXI - o valor relativo à assistência prestada por serviço médico ou odontológico, próprio da empresa ou por ela conveniado, inclusive o reembolso de despesas com medicamentos, óculos, aparelhos ortopédicos, despesas médico-hospitalares e outras similares, desde que a cobertura abranja a totalidade dos empregados e dirigentes da empresa;
XXII - as importâncias recebidas a título de ganhos eventuais e os abonos expressamente desvinculados do salário;
XXIII - as diárias para viagens, desde que não excedam a cinqüenta por cento da remuneração mensal;
XXIV - as parcelas destinadas à assistência ao trabalhador da agroindústria canavieira, conforme legislação específica;
XXV - a participação nos lucros ou resultados da empresa, quando paga ou creditada de acordo com o § 1o;
XXVI - o valor das contribuições efetivamente pago pela pessoa jurídica relativo a programa de previdência complementar, aberto ou fechado, desde que disponível à totalidade de seus empregados e dirigentes, observadas, no que couber, as especificidades da legislação trabalhista;
XXVII - o ressarcimento de despesas pelo uso de veículo do empregado e o reembolso creche pago em conformidade com a legislação trabalhista, observado o limite máximo de seis anos de idade, quando devidamente comprovadas as despesas realizadas;
XXVIII - os valores recebidos em decorrência da cessão de direitos autorais; e
XXIX - o valor da multa decorrente do atraso no pagamento das parcelas constantes do recibo de quitação na rescisão contratual, conforme legislação específica.
§ 1o A participação nos lucros ou resultados da empresa de que trata o art. 7o, inciso XI, da Constituição Federal, na forma de lei específica, não substitui ou complementa a remuneração devida a qualquer empregado, nem constitui base de incidência de qualquer encargo previdenciário, não se lhe aplicando o princípio da habitualidade, desde que o pagamento de qualquer antecipação ou distribuição de valores a este título não se realize em periodicidade inferior a um semestre.
§ 2o Não se considera como remuneração direta ou indireta, para os efeitos desta Lei, os valores despendidos pelas entidades religiosas e instituições de ensino vocacional com ministro de confissão religiosa, membros de instituto de vida consagrada, de congregação ou de ordem religiosa em face do seu mister religioso ou para sua subsistência desde que fornecidos em condições que independam da natureza e da quantidade do trabalho executado.
Art. 187. Nenhuma contribuição à Seguridade Social é devida se a construção residencial unifamiliar, destinada ao uso próprio, de tipo econômico, for executada sem mão-de-obra assalariada, observadas as exigências do regulamento;
CAPÍTULO IX
DA ARRECADAÇÃO E RECOLHIMENTO DAS CONTRIBUIÇÕES
Seção
I
Das Normas Gerais de Arrecadação
Art. 188. A arrecadação e o recolhimento das contribuições ou de outras importâncias devidas à Seguridade Social obedecem às seguintes normas:
I - a empresa é obrigada a:
a) arrecadar as contribuições dos segurados empregados e trabalhadores avulsos a seu serviço, descontando-as da respectiva remuneração; e
b) recolher o produto arrecadado na forma da alínea "a", deste inciso, a contribuição de que trata o inciso III do art. 170 e as demais contribuições a seu cargo incidentes sobre as remunerações pagas, devidas ou creditadas, a qualquer título, aos segurados empregados, trabalhadores avulsos e contribuintes individuais a seu serviço, até o dia dois do mês seguinte ao da competência;
II - os segurados contribuinte individual e facultativo são obrigados a recolher sua contribuição por iniciativa própria, até o dia quinze do mês seguinte ao da competência;
III - a empresa adquirente, consumidora ou consignatária ou a cooperativa ficam sub-rogadas nas obrigações previstas nos arts. 169 e 180, respectivamente, do segurado especial e do empregador rural pessoa física, independentemente de as operações de venda ou consignação terem sido realizadas diretamente com o produtor ou com intermediário pessoa física, no prazo referido na alínea "b" do inciso I.
IV - o segurado especial e o empregador rural pessoa física são obrigados a recolher as contribuições de que tratam os arts. 169 e 180, respectivamente, no prazo referido na alínea "b" do inciso I, relativamente à operação de venda, caso comercializem a sua produção:
a) no exterior;
b) diretamente, no varejo, ao consumidor pessoa física;
c) à pessoa física de que trata a alínea "d" do inciso IV do art. 8o; ou
d) ao segurado especial; e
V - o empregador doméstico é obrigado a arrecadar a contribuição do segurado empregado a seu serviço e a recolhê-la, assim como a parcela a seu cargo, no prazo referido no inciso II.
§ 1o Se não houver expediente bancário nas datas indicadas, o recolhimento deverá ser efetuado no dia útil imediatamente posterior.
§ 2o Aplica-se à entidade sindical e à empresa de origem o disposto nas alíneas "a" e "b" do inciso I, relativamente à remuneração do segurado referido no § 7o do art. 8o.
§ 3o Na hipótese de o contribuinte individual prestar serviço a uma ou mais empresas, poderá deduzir, da sua contribuição mensal, quarenta e cinco por cento da contribuição da empresa, efetivamente recolhida ou declarada, incidente sobre a remuneração que esta lhe tenha pago ou creditado, limitada a dedução a nove por cento do respectivo salário-de-contribuição.
§ 4o Aplica-se o disposto no § 3o ao cooperado que prestar serviço a empresa por intermédio de cooperativa de trabalho.
§ 5o Aplica-se o disposto no inciso III à empresa adquirente, consumidora ou consignatária ou à cooperativa, quando adquire produção de pessoa física não produtora rural.
Art. 189. O recolhimento da contribuição correspondente ao décimo terceiro salário deve ser efetuado até o dia 20 de dezembro ou no dia imediatamente anterior em que haja expediente bancário.
§ 1o Nos casos da rescisão do contrato de trabalho o recolhimento deve ser efetuado na forma da alínea "b" do inciso I do art. 188.
§ 2o A contribuição de que trata este artigo incide sobre o valor bruto do décimo terceiro salário, mediante aplicação, em separado, das alíquotas estabelecidas nos arts. 167, 170 e 171.
Art. 190. Poderá ser aumentada, de modo diferenciado, em conjunto ou separadamente, para até três meses, a periodicidade de recolhimento das contribuições previdenciárias arrecadadas pelo INSS, devidas por:
I - segurados contribuinte individual e facultativo, cujos salários-de-contribuição sejam de valor igual ou inferior a vinte centésimos do limite máximo do salário-de-contribuição; e
II - empregador doméstico, relativamente a salários-de-contribuição em valores até o limite estabelecido no inciso I.
Art. 191. O desconto de contribuição e de consignação legalmente autorizadas sempre se presume feito oportuna e regularmente pela empresa a isso obrigada, não lhe sendo lícito alegar omissão para se eximir do recolhimento, ficando diretamente responsável pela importância que deixou de receber ou arrecadou em desacordo com o disposto nesta Lei.
Seção
II
Da Contratação de Serviços de Terceiros
Art. 192. A empresa contratante de serviços executados mediante cessão de mão-de-obra, inclusive em regime de trabalho temporário, deverá reter onze por cento do valor bruto da nota fiscal ou fatura de prestação de serviços e recolher a importância retida até o dia dois do mês subseqüente ao da emissão da respectiva nota fiscal ou fatura, em nome da empresa cedente da mão-de-obra, observado o disposto no art. 191.
§ 1o O valor retido de que trata o caput, que deverá ser destacado na nota fiscal ou fatura de prestação de serviços, será compensado pelo respectivo estabelecimento da empresa cedente da mão-de-obra, quando do recolhimento das contribuições destinadas à Seguridade Social devidas sobre a folha de pagamento dos segurados a seu serviço.
§ 2o Na impossibilidade de haver compensação integral na forma do § 1o, o saldo remanescente será objeto de restituição.
Art. 193. Para os fins desta Lei, entende-se como cessão de mão-de-obra a colocação à disposição do contratante, em suas dependências ou nas de terceiros, de segurados que realizem serviços contínuos, relacionados ou não com a atividade-fim da empresa, quaisquer que sejam a natureza e a forma de contratação.
§ 1o Enquadram-se na situação prevista no caput, além de outros estabelecidos em regulamento, os seguintes serviços:
I - limpeza, conservação e zeladoria;
II - vigilância e segurança;
III - empreitada de mão-de-obra; e
IV - contratação de trabalho temporário, assim entendido aquele prestado por pessoa física a uma empresa para atender à necessidade transitória de substituição de seu pessoal regular e permanente ou a acréscimo extraordinário de serviços, em conformidade com lei específica.
§ 2o O cedente da mão-de-obra deverá elaborar folhas de pagamento distintas para cada contratante.
Seção
III
Da Responsabilidade Solidária
Art. 194. As empresas que integram grupo econômico de qualquer natureza respondem entre si, solidariamente, pelas obrigações decorrentes desta Lei.
Art. 195. O proprietário, o incorporador definido na Lei no 4.591, de 16 de dezembro de 1964, o dono da obra ou condômino da unidade imobiliária, qualquer que seja a forma de contratação da construção, reforma ou acréscimo, são solidários com o construtor, e estes com a subempreiteira, pelo cumprimento das obrigações para com a Seguridade Social, ressalvado o seu direito regressivo contra o executor ou contratante da obra e admitida a retenção de importância a este devida para garantia do cumprimento dessas obrigações, não se aplicando, em qualquer hipótese, o benefício de ordem.
Parágrafo único. Exclui-se da responsabilidade solidária perante a Seguridade Social o adquirente de prédio ou unidade imobiliária que realizar a operação com empresa de comercialização ou incorporador de imóveis, ficando estes solidariamente responsáveis com o construtor.
Art. 196. O titular da firma individual e os sócios das empresas por cotas de responsabilidade limitada respondem solidariamente, com seus bens pessoais, pelos débitos junto à Seguridade Social.
Parágrafo único. Os acionistas controladores, os administradores, os gerentes e os diretores respondem solidária e subsidiariamente, com seus bens pessoais, quanto ao inadimplemento das obrigações para com a Seguridade Social, por dolo ou culpa.
Art. 197. O operador portuário e o órgão gestor de mão-de-obra são solidariamente responsáveis pelo pagamento das contribuições previdenciárias arrecadadas pelo INSS e pelas demais obrigações, inclusive acessórias, devidas à Seguridade Social, vedada a invocação do benefício de ordem.
Art. 198. Os administradores de autarquias e fundações públicas, criadas e mantidas pelo Poder Público, de empresas públicas e de sociedades de economia mista sujeitas ao controle da União, dos Estados, do Distrito Federal ou dos Municípios, que se encontrarem em mora, por mais de trinta dias, no recolhimento das contribuições previstas nesta Lei, tornam-se solidariamente responsáveis pelo respectivo pagamento, ficando ainda sujeitos às proibições do art. 1o e às sanções dos arts. 4o e 7o do Decreto-Lei no 368, de 19 de dezembro de 1968.
Art. 199. Os produtores rurais integrantes do consórcio de que trata o art. 181 são responsáveis solidários em relação às obrigações previdenciárias.
Art. 200. A prática de ato com inobservância do disposto no art. 223, ou o seu registro, acarretará a responsabilidade solidária dos contratantes e do oficial que lavrar ou registrar o instrumento, sendo o ato nulo para todos os efeitos.
Seção
IV
Das Obrigações Acessórias
Art. 201. A empresa é também obrigada a:
I - preparar folhas-de-pagamento das remunerações pagas ou creditadas a todos os segurados a seu serviço, de acordo com os padrões e normas estabelecidos pelo órgão competente da Seguridade Social;
II - lançar mensalmente em títulos próprios de sua contabilidade, de forma discriminada, os fatos geradores de todas as contribuições, o montante das quantias descontadas, as contribuições da empresa e os totais recolhidos;
III - prestar ao INSS e à Secretaria da Receita Federal todas as informações cadastrais, financeiras e contábeis de interesse dos mesmos, na forma por eles estabelecida, bem como os esclarecimentos necessários à fiscalização;
IV - informar mensalmente ao INSS, por intermédio de documento a ser definido em regulamento, dados relacionados aos fatos geradores de contribuição previdenciária e outras informações de interesse do INSS;
V - fornecer ao sindicato representativo da categoria profissional mais numerosa entre seus empregados cópia da guia de recolhimento das contribuições devidas à Seguridade Social arrecadadas pelo INSS; e
VI - afixar cópia da guia de recolhimento no quadro de horário de que trata a legislação trabalhista.
§ 1o O Poder Executivo poderá estabelecer critérios diferenciados de periodicidade, de formalização ou de dispensa de apresentação do documento a que se refere o inciso IV, para segmentos de empresas ou situações específicas.
§ 2o As informações constantes do documento de que trata o inciso IV servirão como base de cálculo das contribuições devidas ao INSS, bem como comporão a base de dados para fins de cálculo e concessão dos benefícios previdenciários.
§ 3o O regulamento disporá sobre local, data e forma de entrega do documento previsto no inciso IV.
§ 4o A empresa deverá apresentar o documento a que se refere o inciso IV, mesmo quando não ocorrerem fatos geradores de contribuição previdenciária, sob pena da multa prevista no art. 238.
§ 5o Os documentos comprobatórios do cumprimento das obrigações de que trata este artigo devem ficar arquivados na empresa durante dez anos, à disposição da fiscalização.
§ 6o Na hipótese de a empresa possuir mais de uma unidade, os sindicatos de que trata o inciso V terão acesso apenas às guias referentes às unidades situadas em sua base territorial.
Art. 202. Para fins de fiscalização do INSS, o Município, por intermédio do órgão competente, fornecerá relação de alvarás para construção civil e documentos de habite-se concedidos.
Art. 203. Sem prejuízo do disposto no art. 223, é obrigatória a apresentação de Certidão Negativa de Débito pelas pessoas jurídicas e a elas equiparadas, na contratação de operações de crédito junto a instituições financeiras, que envolvam:
I - recursos públicos, inclusive provenientes de fundos constitucionais e de incentivo ao desenvolvimento regional (Fundo Constitucional de Financiamento do Norte, Fundo Constitucional de Financiamento do Nordeste, Fundo Constitucional de Financiamento do Centro-Oeste, Fundo de Investimento da Amazônia e Fundo de Investimento do Nordeste);
II - recursos do Fundo de Garantia do Tempo de Serviço, do Fundo de Amparo do Trabalhador e do Fundo Nacional de Desenvolvimento da Educação; e
III - recursos captados através de Caderneta de Poupança.
§ 1o A exigência instituída no caput aplica-se, igualmente, à liberação de eventuais parcelas previstas no contrato.
§ 2o Consideram-se instituições financeiras, para os efeitos deste artigo e do art. 204, as pessoas jurídicas públicas ou privadas que tenham como atividade principal ou acessória a intermediação ou aplicação de recursos financeiros próprios ou de terceiros, em moeda nacional ou estrangeira, autorizadas pelo Banco Central do Brasil ou por Decreto do Poder Executivo a funcionar no Território Nacional.
Art. 204. As instituições financeiras obrigam-se a fornecer, mensalmente, ao INSS, relação das empresas contratadas conforme especificação técnica da autarquia.
Art. 205. O Titular do Cartório de Registro Civil de Pessoas Naturais fica obrigado a comunicar ao INSS, até o dia dez de cada mês, o registro dos óbitos ocorridos no mês imediatamente anterior, devendo da relação constar a filiação, a data e o local de nascimento da pessoa falecida.
Parágrafo único. No caso de não haver sido registrado nenhum óbito, deverá o Titular do Cartório de Registro Civil de Pessoas Naturais comunicar este fato ao INSS no prazo estipulado no caput deste artigo.
Art. 206. O órgão gestor de mão-de-obra deverá, quando exigido pela fiscalização do INSS, exibir as listas de escalação diária dos trabalhadores portuários avulsos, por operador portuário e por navio.
Parágrafo único. Caberá exclusivamente ao órgão gestor de mão-de-obra a responsabilidade pela exatidão dos dados lançados nas listas diárias referidas no caput.
Seção
V
Da Competência para Arrecadar, Fiscalizar e Cobrar
Art. 207. Ao INSS compete arrecadar, fiscalizar, lançar e normatizar o recolhimento das contribuições sociais previstas nos incisos I, II e III do parágrafo único do art. 162, bem como as contribuições incidentes a título de substituição; e à Secretaria da Receita Federal compete arrecadar, fiscalizar, lançar e normatizar o recolhimento das contribuições sociais previstas nos incisos IV, V e VI do parágrafo único do art. 162, cabendo a ambos os órgãos, na esfera de sua competência, promover a respectiva cobrança e aplicar as sanções previstas legalmente.
Seção
VI
Do Exame da Contabilidade
Art. 208. É prerrogativa do INSS e da Secretaria da Receita Federal o exame da contabilidade da empresa, não prevalecendo para esse efeito o disposto nos arts. 17 e 18 do Código Comercial, aprovado pela Lei no 556, de 25 de junho de 1850, ficando obrigados a empresa e o segurado a prestar todos os esclarecimentos e informações solicitados.
Art. 209. A empresa, o servidor de órgãos públicos da administração direta e indireta, o segurado da previdência social, o serventuário da Justiça, o síndico ou seu representante, o comissário e o liqüidante de empresa em liquidação judicial ou extrajudicial são obrigados a exibir todos os documentos e livros relacionados com as contribuições previstas nesta Lei.
Art. 210. Ocorrendo recusa ou sonegação de qualquer documento ou informação, ou sua apresentação deficiente, o INSS e a Secretaria da Receita Federal podem, sem prejuízo da penalidade cabível, inscrever de ofício importância que reputarem devida, cabendo à empresa ou ao segurado o ônus da prova em contrário.
Art. 211. Na falta de prova regular e formalizada, o montante dos salários pagos pela execução de obra de construção civil pode ser obtido mediante cálculo da mão-de-obra empregada, proporcional à área construída e ao padrão de execução da obra, cabendo ao proprietário, dono da obra, condômino da unidade imobiliária ou empresa co-responsável o ônus da prova em contrário.
Art. 212. Se, no exame da escrituração contábil e de qualquer outro documento da empresa, a fiscalização constatar que a contabilidade não registra o movimento real de remuneração dos segurados a seu serviço, do faturamento e do lucro, serão apuradas, por aferição indireta, as contribuições que reputar devidas, cabendo à empresa o ônus da prova em contrário.
Seção
VII
Das Contribuições e Outras Importâncias não Recolhidas até o Vencimento
Art. 213. As contribuições sociais e outras importâncias arrecadadas pelo INSS, incluídas ou não em notificação fiscal de lançamento, pagas com atraso, objeto ou não de parcelamento, ficam sujeitas aos juros equivalentes à taxa referencial do Sistema Especial de Liquidação e de Custódia, a que se refere o art. 13 da Lei no 9.065, de 20 de junho de 1995, incidentes sobre o valor atualizado, e multa de mora, todos de caráter irrelevável.
Parágrafo único. O percentual dos juros moratórios relativos aos meses de vencimentos ou pagamentos das contribuições corresponderá a um por cento.
Art. 214. Sobre as contribuições sociais em atraso, arrecadadas pelo INSS, incidirá multa de mora, que não poderá ser relevada, nos seguintes termos:
I - para pagamento, após o vencimento de obrigação não incluída em notificação fiscal de lançamento:
a) oito por cento, dentro do mês de vencimento da obrigação;
b) quatorze por cento, no mês seguinte; ou
c) vinte por cento, a partir do segundo mês seguinte ao do vencimento da obrigação;
II - para pagamento de créditos incluídos em notificação fiscal de lançamento:
a) vinte e quatro por cento, em até quinze dias do recebimento da notificação;
b) trinta por cento, após o décimo quinto dia do recebimento da notificação;
c) quarenta por cento, após apresentação de recurso desde que antecedido de defesa, sendo ambos tempestivos, até quinze dias da ciência da decisão do Conselho de Recursos da Previdência Social; ou
d) cinqüenta por cento, após o décimo quinto dia da ciência da decisão do Conselho de Recursos da Previdência Social, enquanto não inscrito em Dívida Ativa;
III - para pagamento do crédito inscrito em Dívida Ativa:
a) sessenta por cento, quando não tenha sido objeto de parcelamento;
b) setenta por cento, se houve parcelamento;
c) oitenta por cento, após o ajuizamento da execução fiscal, mesmo que o devedor ainda não tenha sido citado, se o crédito não foi objeto de parcelamento; ou
d) cem por cento, após o ajuizamento da execução fiscal, mesmo que o devedor ainda não tenha sido citado, se o crédito foi objeto de parcelamento.
§ 1o Na hipótese de parcelamento ou reparcelamento, incidirá um acréscimo de vinte por cento sobre a multa de mora a que se refere o caput e seus incisos.
§ 2o Se houver pagamento antecipado à vista, no todo ou em parte, do saldo devedor, o acréscimo previsto no § 1o não incidirá sobre a multa correspondente à parte do pagamento que se efetuar.
§ 3o O valor do pagamento parcial, antecipado, do saldo devedor de parcelamento ou do reparcelamento somente poderá ser utilizado para quitação de parcelas na ordem inversa do vencimento, sem prejuízo da que for devida no mês de competência em curso e sobre a qual incidirá sempre o acréscimo a que se refere o § 1o.
§ 4o Na hipótese de as contribuições terem sido declaradas no documento a que se refere o inciso IV do art. 201, ou quando se tratar de empregador doméstico ou de empresa ou segurado dispensados de apresentar o citado documento, a multa de mora a que se refere o caput e seus incisos será reduzida em cinqüenta por cento.
Art. 215. Constatado o atraso total ou parcial no recolhimento de contribuições ou em caso de falta de pagamento de benefício reembolsado, a fiscalização lavrará notificação de débito, com discriminação clara e precisa dos fatos geradores, das contribuições devidas e dos períodos a que se referem, conforme dispuser o regulamento.
§ 1o Recebida a notificação do débito a empresa ou segurado terá o prazo de quinze dias para apresentar defesa, observado o disposto em regulamento.
§ 2o Por ocasião da notificação de débito ou, quando for o caso, da inscrição na Dívida Ativa do INSS, a fiscalização poderá proceder ao arrolamento de bens e direitos do sujeito passivo, conforme dispuser aquela autarquia previdenciária, observado, no que couber, o disposto nos §§ 1o a 6o, 8o e 9o do art. 64 da Lei no 9.532, de 10 de dezembro de 1997.
Art. 216. As contribuições devidas à Seguridade Social, incluídas ou não em notificação de débito, poderão, após verificadas e confessadas, ser objeto de acordo para pagamento parcelado em até sessenta meses, observado o disposto em regulamento.
§ 1o Não poderão ser objeto de parcelamento as contribuições descontadas dos empregados, inclusive dos domésticos, dos trabalhadores avulsos, as decorrentes da sub-rogação de que trata o inciso III do art. 188 e as importâncias retidas na forma do art. 192, independentemente do disposto no art. 239 e da falta de recolhimento na época própria constituir crime punível na forma da legislação penal.
§ 2o A empresa ou segurado que, por ato próprio ou de terceiros tenha obtido, em qualquer tempo, vantagem ilícita em prejuízo direto ou indireto da Seguridade Social, através de prática de crime previsto no art. 313-A do Decreto-Lei no 2.848, de 7 de dezembro de 1940, não poderá obter parcelamentos, independentemente das sanções administrativas, cíveis ou penais cabíveis.
§ 3o Será admitido o reparcelamento por uma única vez.
§ 4o Sobre o valor de cada prestação mensal decorrente de parcelamento serão acrescidos, por ocasião do pagamento, juros equivalentes à taxa referencial do SELIC, a que se refere o art. 13 da Lei no 9.065, de 1995, para títulos federais, acumulada mensalmente, calculados a partir do primeiro dia do mês da concessão do parcelamento até o mês anterior ao do pagamento e de um por cento relativamente ao mês do pagamento.
§ 5o O deferimento do parcelamento pelo INSS fica condicionado ao pagamento da primeira parcela.
§ 6o Na hipótese do § 5o, não sendo paga a primeira parcela ou descumprida qualquer cláusula do acordo de parcelamento, proceder-se-á à inscrição da dívida confessada, salvo se já tiver sido inscrita na Dívida Ativa do INSS, e a sua cobrança judicial.
§ 7o A eficácia de qualquer acordo de parcelamento ficará na dependência da comprovação do recolhimento regular, nas épocas próprias, das parcelas e das contribuições correntes, a partir da competência do mês em que o acordo for assinado.
§ 8o O acordo celebrado com o Estado, o Distrito Federal ou o Município conterá cláusula em que estes autorizem a retenção do Fundo de Participação dos Estados e do Distrito Federal - FPE ou do Fundo de Participação dos Municípios - FPM e o repasse ao INSS do valor correspondente a cada prestação mensal, por ocasião do vencimento desta.
§ 9o O acordo celebrado com o Estado, o Distrito Federal ou o Município conterá, ainda, cláusula em que estes autorizem, quando houver o atraso superior a sessenta dias no cumprimento das obrigações previdenciárias correntes, a retenção do Fundo de Participação dos Estados e do Distrito Federal - FPE ou do Fundo de Participação dos Municípios -FPM e o repasse ao INSS do valor correspondente à mora, por ocasião da primeira transferência que ocorrer após a comunicação da autarquia previdenciária ao Ministério da Fazenda.
§ 10 Não é permitido o parcelamento de dívidas de empresa com falência decretada.
Art. 217. O crédito da Seguridade Social é constituído por meio de notificação de débito, auto-de-infração, confissão ou documento declaratório de valores devidos e não recolhidos apresentado pelo contribuinte.
Art. 218. O crédito original atualizado monetariamente, a multa variável e os juros de mora incidentes sobre o mesmo, bem como outras multas previstas nesta Lei, devem ser lançados em livro próprio destinado à inscrição na Dívida Ativa do INSS e da Fazenda Nacional.
§ 1o A certidão textual do livro de que trata este artigo serve de título para o INSS, por intermédio de seu procurador ou representante legal, promover em juízo a cobrança da Dívida Ativa, segundo o mesmo processo e com as mesmas prerrogativas e privilégios da Fazenda Nacional.
§ 2o Os órgãos competentes podem, antes de ajuizar a cobrança da Dívida Ativa, promover o protesto de título dado em garantia de sua liquidação, ficando, entretanto, ressalvado que o título será sempre recebido pro solvendo.
§ 3o O não recolhimento ou não parcelamento dos valores contidos no documento a que se refere o inciso IV do art. 201 importará na inscrição na Dívida Ativa do INSS.
Art. 219. O crédito relativo a contribuições, cotas e respectivos adicionais ou acréscimos de qualquer natureza arrecadados pelos órgãos competentes, bem como a atualização monetária e os juros de mora, estão sujeitos, nos processos de falência, concordata ou concurso de credores, às disposições atinentes aos créditos da União, aos quais são equiparados.
Parágrafo único. O INSS reivindicará os valores descontados pela empresa de seus empregados e ainda não recolhidos.
Seção
VIII
Da Restituição e da Compensação de Contribuições e Outras Importâncias
Art. 220. Somente poderá ser restituída ou compensada contribuição arrecadada pelo INSS para a Seguridade Social na hipótese de pagamento ou recolhimento indevido.
§ 1o Admitir-se-á apenas a restituição ou a compensação de contribuição a cargo da empresa, recolhida ao INSS, que, por sua natureza, não tenha sido transferida ao custo de bem ou serviço oferecido à sociedade.
§ 2o Somente poderá ser restituído ou compensado, nas contribuições arrecadadas pelo INSS, o valor decorrente das parcelas referidas nos incisos I, II e III do parágrafo único do art. 162.
§ 3o Em qualquer caso, a compensação não poderá ser superior a trinta por cento do valor a ser recolhido em cada competência.
§ 4o Na hipótese de recolhimento indevido, as contribuições serão restituídas ou compensadas atualizadas monetariamente.
§ 5o Observado o disposto no § 3o, o saldo remanescente em favor do contribuinte, que não comporte compensação de uma só vez, será atualizado monetariamente.
§ 6o A atualização monetária de que tratam os §§ 4o e 5o deste artigo observará os mesmos critérios utilizados na cobrança da própria contribuição.
§ 7o A compensação ou restituição será acrescida de juros equivalentes à taxa referencial do Sistema de Liquidação e de Custódia Especial para títulos federais, acumulada mensalmente, calculados a partir da data do pagamento indevido ou a maior até o mês anterior ao da compensação ou restituição e de um por cento relativamente ao mês em que estiver sendo efetuada.
CAPÍTULO X
DA MATRÍCULA DA EMPRESA
Art. 221. A matrícula da empresa será feita:
I - simultaneamente com a inscrição no Cadastro Nacional da Pessoa Jurídica; ou
II - perante o INSS no prazo de trinta dias contados do início de suas atividades, quando não sujeita a inscrição no Cadastro Nacional da Pessoa Jurídica.
§ 1o Independentemente do disposto neste artigo, o INSS procederá à matricula:
I - de ofício, quando ocorrer omissão; e
II - de obra de construção civil, mediante comunicação obrigatória do responsável por sua execução, no prazo do inciso II do caput.
§ 2o A unidade matriculada na forma do inciso II do caput e do § 1o receberá número cadastral básico, de caráter permanente.
§ 3o O não cumprimento do disposto no inciso II do caput e no inciso II do § 1o, sujeita o responsável à multa na forma estabelecida no art. 245.
§ 4o O Departamento Nacional de Registro do Comércio, através das Juntas Comerciais, bem como os Cartórios de Registro Civil de Pessoas Jurídicas, prestarão, obrigatoriamente, ao INSS todas as informações referentes aos atos constitutivos e alterações posteriores relativos a empresas e entidades neles registradas, conforme o disposto em regulamento.
CAPÍTULO XI
DA PROVA DE INEXISTÊNCIA DE DÉBITO
Art. 222. A Certidão Negativa de Debito é o documento comprobatório de inexistência de débito para com o INSS e será por este concedida às empresas.
§ 1o No caso de parcelamento, a Certidão Negativa de Débito somente será emitida mediante a apresentação de garantia, ressalvada a hipótese prevista na alínea "a" do inciso I do art. 223.
§ 2o O descumprimento do disposto no inciso IV do art. 201 é condição impeditiva para expedição da prova de inexistência de débito para com o INSS.
§ 3o O condômino adquirente de unidades imobiliárias de obra de construção civil poderá obter documento comprobatório de inexistência de débito, desde que comprove o pagamento das contribuições relativas à sua unidade, conforme dispuser o regulamento.
Art. 223. É exigida Certidão Negativa de Débito, fornecida pelo órgão competente, nos seguintes casos:
I - da empresa:
a) na contratação com o Poder Público e no recebimento de benefícios ou incentivo fiscal ou creditício concedido por ele;
b) na alienação ou oneração, a qualquer título, de bem imóvel ou direito a ele relativo;
c) na alienação ou oneração, a qualquer título, de bem móvel de valor superior a R$ 20.696,09 (vinte mil seiscentos e noventa e seis reais e nove centavos), incorporado ao ativo permanente da empresa; e
d) no registro ou arquivamento, no órgão próprio, de ato relativo a baixa ou redução de capital de firma individual, redução de capital social, cisão total ou parcial, transformação ou extinção de entidade ou sociedade comercial ou civil e transferência de controle de cotas de sociedades de responsabilidade limitada; e
II - do proprietário, pessoa física ou jurídica, de obra de construção civil, quando de sua averbação no registro de imóveis, salvo no caso do art. 187.
§ 1o O prazo de validade da Certidão Negativa de Débito é de sessenta dias, contados da sua emissão, podendo ser ampliado por regulamento para até cento e oitenta dias.
§ 2o A prova de inexistência de débito deve ser exigida da empresa em relação a todas as suas dependências, estabelecimentos e obras de construção civil, independentemente do local onde se encontrem, ressalvado aos órgãos competentes o direito de cobrança de qualquer débito apurado posteriormente.
§ 3o A prova de inexistência de débito, quando exigível ao incorporador, independe da apresentada no registro de imóveis por ocasião da inscrição do memorial de incorporação.
§ 4o É dispensada a transcrição, em instrumento público ou particular, do inteiro teor do documento comprobatório de inexistência de débito, bastando a referência ao seu número de série e data da emissão, bem como a guarda do documento comprobatório à disposição dos órgãos competentes.
§ 5o O documento comprobatório de inexistência de débito poderá ser apresentado por cópia autenticada, dispensada a indicação de sua finalidade, exceto no caso do inciso II do caput .
§ 6o Os órgãos competentes podem intervir em instrumento que depender de prova de inexistência de débito, a fim de autorizar sua lavratura, desde que o débito seja pago no ato ou o seu pagamento fique assegurado mediante confissão de dívida fiscal com o oferecimento de garantias reais suficientes, na forma estabelecida em regulamento.
§ 7o Em se tratando de alienação de bens do ativo de empresa em regime de liquidação extrajudicial, visando à obtenção de recursos necessários ao pagamento dos credores, independentemente do pagamento ou da confissão de dívida fiscal, o INSS poderá autorizar a lavratura do respectivo instrumento, desde que o valor do crédito previdenciário conste, regularmente, do quadro geral de credores, observada a ordem de preferência legal.
§ 8o Independe de prova de inexistência de débito:
I - a lavratura ou assinatura de instrumento, ato ou contrato que constitua retificação, ratificação ou efetivação de outro anterior para o qual já foi feita a prova;
II - a constituição de garantia para concessão de crédito rural, em qualquer de suas modalidades, por instituição de crédito pública ou privada, desde que os contribuintes referidos nos arts. 169 e 180, não sejam responsáveis direto pelo recolhimento de contribuições sobre a sua produção para a Seguridade Social;
III - a averbação prevista no inciso II do caput, relativa a imóvel cuja construção tenha sido concluída antes de 22 de novembro de 1966;
IV - o arquivamento, nos órgãos de registro, dos atos constitutivos de firmas mercantis individuais e de sociedades que se enquadrarem como microempresa ou empresa de pequeno porte, bem como o arquivamento de suas alterações, salvo no caso de extinção; e
V - A baixa no registro competente de firmas mercantis e de sociedades mercantis e civis enquadráveis como microempresa ou empresa de pequeno porte que, durante cinco anos, não tenham exercido atividade econômica de qualquer espécie.
Art. 224. A inexistência de débitos em relação às contribuições devidas ao INSS é condição necessária para que os Estados, o Distrito Federal e os Municípios possam receber as transferências dos recursos do Fundo de Participação dos Estados e do Distrito Federal - FPE e do Fundo de Participação dos Municípios - FPM, celebrar acordos, contratos, convênios ou ajustes, bem como receber empréstimos, financiamentos, avais e subvenções em geral de órgãos ou entidades da administração direta e indireta da União.
Parágrafo único. Para o recebimento do Fundo de Participação dos Estados e do Distrito Federal - FPE e do Fundo de Participação dos Municípios - FPM, bem como a consecução dos demais instrumentos citados no caput, os Estados, o Distrito Federal e os Municípios deverão apresentar os comprovantes de recolhimento das suas contribuições ao INSS referentes aos três meses imediatamente anteriores ao mês previsto para a efetivação daqueles procedimentos.
TÍTULO II
DAS DISPOSIÇÕES GERAIS RELATIVAS AO CUSTEIO DA SEGURIDADE SOCIAL
Art. 225. Os orçamentos das pessoas jurídicas de direito público e das entidades da administração pública indireta devem consignar as dotações necessárias ao pagamento das contribuições da Seguridade Social, de modo a assegurar a sua regular liquidação dentro do exercício.
Art. 226. O pagamento das contribuições devidas ao INSS terá prioridade absoluta nos programas financeiros de desembolso dos órgãos da administração pública direta, das entidades de administração pública direta, das entidades de administração indireta e suas subsidiárias e das demais entidades sob controle acionário direto ou indireto da União, dos Estados, do Distrito Federal e dos Municípios ou de suas autarquias, bem como das fundações instituídas ou mantidas pelo Poder Público.
Art. 227. A existência de débitos junto ao INSS, não renegociados ou renegociados e não saldados, nas condições estabelecidas em lei, importará na indisponibilidade dos recursos existentes, ou que venham a ingressar nas contas dos órgãos ou entidades devedoras de que trata o art. 226, abertas em quaisquer instituições financeiras, até o valor equivalente ao crédito apurado na data da expedição de solicitação do INSS ao Banco Central do Brasil, incluindo o principal, corrigido monetariamente, as multas e os juros.
§ 1o Caberá aos Ministros da Fazenda e da Previdência e Assistência Social expedir as instruções para aplicação do disposto neste artigo.
§ 2o Caberá ao INSS notificar o órgão ou entidade devedora para, no prazo de trinta dias, efetuar a liquidação de seus débitos para com o referido Instituto.
§ 3o Caberá ao Banco Central do Brasil:
I - expedir, por solicitação do INSS, às instituições financeiras as ordens necessárias à execução do disposto neste artigo; e
II - promover, no prazo de dez dias, a transferência ao INSS dos recursos tornados indisponíveis, até o montante suficiente para a liquidação do débito, caso a empresa notificada não efetue o pagamento no prazo estipulado no § 2o.
Art. 228. O INSS divulgará, trimestralmente, lista atualizada dos devedores das contribuições previstas nos incisos I, II e III do parágrafo único do art. 162, bem como relatório circunstanciado das medidas administrativas e judiciais adotadas para a cobrança e execução da dívida.
§ 1o O relatório a que se refere o caput será encaminhado aos órgãos da administração federal direta e indireta, às entidades controladas direta ou indiretamente pela União, aos registros públicos, cartórios de registro de títulos e documentos, cartórios de registro de imóveis e ao sistema financeiro oficial, para os fins do § 3o do art. 195 da Constituição Federal e da Lei no 7.711, de 22 de dezembro de 1988.
§ 2o O Ministério da Previdência e Assistência Social fica autorizado a firmar convênio com os governos estaduais e municipais para extensão, àquelas esferas de governo, das hipóteses previstas no art. 1o da Lei no 7.711, de 1988.
Art. 229. O INSS poderá arrecadar e fiscalizar, mediante remuneração de três vírgula cinco por cento do montante arrecadado, contribuição por lei devida a terceiros, desde que provenha de empresa, segurado, aposentado ou pensionista a ele vinculado, aplicando-se a essa contribuição, no que couber, o disposto nesta Lei.
§ 1o No caso do Salário-Educação, a taxa de administração será de um por cento.
§ 2o O disposto neste artigo aplica-se, exclusivamente, às contribuições que tenham a mesma base utilizada para o cálculo das contribuições incidentes sobre a remuneração paga ou creditada a segurados, ficando sujeitas aos mesmos prazos, condições, sanções e privilégios, inclusive no que se refere à cobrança judicial.
Art. 230. Nas ações trabalhistas de que resultar o pagamento de direitos sujeitos à incidência de contribuição previdenciária, o juiz, sob pena de responsabilidade, determinará o imediato recolhimento das importâncias devidas à Seguridade Social.
Parágrafo único. Nas sentenças judiciais ou nos acordos homologados em que não figurarem, discriminadamente, as parcelas legais relativas à contribuição previdenciária, esta incidirá sobre o valor total apurado em liquidação de sentença ou sobre o valor do acordo homologado.
Art. 231. A autoridade judiciária velará pelo fiel cumprimento do disposto no art. 230, inclusive fazendo expedir notificação ao INSS, dando-lhe ciência dos termos da sentença ou do acordo celebrado.
Art. 232. O INSS informará aos sindicatos os valores efetivamente recolhidos pelas empresas localizadas na base territorial destes.
Art. 233. É facultada aos sindicatos a apresentação de denúncia contra a empresa junto ao INSS, nas seguintes hipóteses:
I - descumprimento do disposto nos incisos V e VI do art. 201;
II - divergência entre os valores informados pela empresa e pelo INSS sobre as contribuições recolhidas na mesma competência; e
III - existência de evidentes indícios de recolhimento a menor das contribuições devidas.
Parágrafo único. Recebida a denúncia nos termos deste artigo, o INSS incluirá a empresa denunciada no seu Plano de Fiscalização.
LIVRO
V
DAS INFRAÇÕES E DAS PENALIDADES
Art. 234. À empresa em débito para com a Seguridade Social é proibido:
I - distribuir bonificação ou dividendo a acionista; e
II - dar ou atribuir cota ou participação nos lucros a sócio-cotista, diretor ou outro membro de órgão dirigente, fiscal ou consultivo, ainda que a título de adiantamento.
Art. 235. A infração do disposto no art. 234 sujeita o responsável à multa de cinqüenta por cento das quantias que tiverem sido pagas ou creditadas a partir da data do evento, atualizadas na forma prevista no art. 213.
Art. 236. Comprovada pela fiscalização a ocorrência das situações previstas nos incisos I e II do art. 233, será aplicada à empresa multa no valor de R$ 108,92 (cento e oito reais e noventa e dois centavos) a R$ 10.891,98 (dez mil oitocentos e noventa e um reais e noventa e oito centavos), para cada competência em que tenha havido a irregularidade.
Art. 237. A constatação da improcedência da denúncia apresentada nos termos do art. 233 implicará a suspensão do direito do sindicato ao fornecimento das informações mencionadas no inciso V do art. 201 e no art. 232, pelo prazo de:
I - um ano, quando fundamentada nos incisos I e II do art. 233; ou
II - quatro meses, quando fundamentada no inciso III do art. 233.
Parágrafo único. Os prazos fixados nos incisos I e II deste artigo serão duplicados a cada reincidência por parte do sindicato.
Art. 238. A não apresentação do documento previsto no inciso IV do art. 201, independentemente do recolhimento da contribuição, sujeitará o infrator à pena administrativa correspondente a multa variável equivalente a um multiplicador sobre o valor mínimo previsto no art. 245, em função do número de segurados, conforme quadro abaixo:
|
0 a 5 segurados |
1/2 valor mínimo |
|
6 a 15 segurados |
1 x o valor mínimo |
|
16 a 50 segurados |
2 x o valor mínimo |
|
51 a 100 segurados |
5 x o valor mínimo |
|
101 a 500 segurados |
10 x o valor mínimo |
|
501 a 1000 segurados |
20 x o valor mínimo |
|
1001 a 5000 segurados |
35 x o valor mínimo |
|
Acima de 5000 segurados |
Acima de 5000 segurados |
§ 1o A apresentação do documento com dados não correspondentes aos fatos geradores sujeitará o infrator à pena administrativa correspondente à multa de cem por cento do valor devido relativo à contribuição não declarada, limitada aos valores previstos no caput.
§ 2o A apresentação do documento com erro de preenchimento nos dados não relacionados aos fatos geradores sujeitará o infrator à pena administrativa de cinco por cento do valor mínimo previsto no art. 245, por campo com informações inexatas, incompletas ou omissas, limitadas aos valores previstos no caput.
§ 3o A multa de que trata o caput sofrerá acréscimo de cinco por cento por mês calendário ou fração, a partir do mês seguinte àquele em que o documento deveria ter sido entregue.
§ 4o O valor mínimo a que se refere o caput será o vigente na data da lavratura do auto-de-infração.
Art. 239. A empresa que transgredir as normas do Plano de Custeio constante desta Lei, além das outras sanções previstas, sujeitar-se-á, nas condições em que dispuser o regulamento:
I - à suspensão de empréstimos e financiamentos, por instituições financeiras oficiais;
II - à revisão de incentivos fiscais de tratamento tributário especial;
III - à inabilitação para licitar e contratar com qualquer órgão ou entidade da administração pública direta ou indireta federal, estadual, do Distrito Federal ou municipal;
IV - à interdição para o exercício do comércio, se for sociedade mercantil ou comerciante individual;
V - à desqualificação para impetrar concordata; e
VI - à cassação de autorização para funcionar no país, quando for o caso.
Art. 240. A falta de comunicação na época própria das ocorrências de que trata o art. 205, bem como o envio de informações inexatas, sujeitará o Titular de Cartório de Registro Civil de Pessoas Naturais à penalidade prevista no art. 245.
Art. 241. O descumprimento do disposto nos arts. 203 e 204 sujeitará os infratores à multa de:
I - R$ 121.022,00 (cento e vinte e um mil e vinte e dois reais) por operação contratada, no caso do art. 203; e
II - R$ 24.204,40 (vinte e quatro mil duzentos e quatro reais e quarenta centavos), no caso do art. 204.
Art. 242. O descumprimento do disposto no art. 206 sujeitará o infrator à multa variável de R$ 220,92 (duzentos e vinte reais e noventa e dois centavos) a R$ 2.209,29 (dois mil duzentos e nove reais e vinte e nove centavos).
Parágrafo único. As multas previstas neste artigo serão graduadas segundo a natureza da infração, sua extensão e a intenção de quem a praticou, e aplicadas em dobro em caso de reincidência, oposição à fiscalização e desacato à autoridade, sem prejuízo de outras penalidades previstas nesta Lei.
Art. 243. O servidor, o serventuário da Justiça, o titular de serventia extrajudicial e a autoridade ou órgão que infringirem o disposto no art. 223 incorrerão em multa aplicada na forma estabelecida no art. 245 , sem prejuízo da responsabilidade administrativa e penal cabível.
Art. 244. A autoridade que reduzir ou relevar multa já aplicada recorrerá de ofício para autoridade hierarquicamente superior, na forma estabelecida em regulamento.
Art. 245. A infração de qualquer dispositivo desta Lei, para a qual não haja penalidade expressamente cominada, sujeita o responsável, conforme a gravidade da infração, à multa variável de R$ 827,86 (oitocentos e vinte e sete reais e oitenta e seis centavos) a R$ 82.785,16 (oitenta e dois mil setecentos e oitenta e cinco reais e dezesseis centavos), conforme dispuser o regulamento.
Art. 246. O dirigente de órgão ou entidade da administração federal, estadual, do Distrito Federal ou municipal, responde pessoalmente pela multa aplicada por infração de dispositivos do Plano de Custeio e do seu regulamento, sendo obrigatório o respectivo desconto em folha de pagamento, mediante requisição dos órgãos competentes e a partir do primeiro pagamento que se seguir à requisição.
LIVRO VI
DA ORGANIZAÇÃO DA SEGURIDADE SOCIAL
TÍTULO I
DO SISTEMA NACIONAL DE SEGURIDADE SOCIAL
CAPÍTULO I
INTRODUÇÃO
Art. 247. As ações nas áreas de Saúde, Previdência Social e Assistência Social, conforme o disposto no Capítulo II do Título VIII da Constituição Federal, serão organizadas em Sistema Nacional de Seguridade Social, na forma desta Lei.
Art. 248. As propostas orçamentárias anuais ou plurianuais da Seguridade Social serão elaboradas por Comissão integrada por três representantes, sendo um da área da Saúde, um da área da Previdência Social e um da área de Assistência Social.
Art. 249. O Poder Executivo enviará ao Congresso Nacional, anualmente, acompanhando a proposta orçamentária da Seguridade Social, projeções atuariais relativas à Seguridade Social, abrangendo um horizonte temporal de, no mínimo, vinte anos, considerando hipóteses alternativas quanto às variáveis demográficas, econômicas e institucionais relevantes.
CAPÍTULO II
DOS ÓRGÃOS COLEGIADOS
Seção
I
Do Conselho Nacional de Previdência Social - CNPS
Art. 250. O Conselho Nacional de Previdência Social - CNPS é órgão superior de deliberação colegiada e terá como membros:
I - seis representantes do Governo Federal; e
II - nove representantes da sociedade civil, sendo:
a) três representantes dos aposentados e pensionistas;
b) três representantes dos trabalhadores em atividade; e
c) três representantes dos empregadores.
§ 1o Os membros do CNPS e seus respectivos suplentes serão nomeados pelo Presidente da República, tendo os representantes titulares da sociedade civil mandato de dois anos, podendo ser reconduzidos, de imediato, uma única vez.
§ 2o Os representantes dos trabalhadores em atividade, dos aposentados, dos empregadores e seus respectivos suplentes serão indicados pelas centrais sindicais e confederações nacionais.
§ 3o O CNPS reunir-se-á, ordinariamente, uma vez por mês, por convocação de seu presidente, não podendo ser adiada a reunião por mais de quinze dias se houver requerimento nesse sentido da maioria dos conselheiros.
§ 4o Poderá ser convocada reunião extraordinária por seu presidente ou a requerimento de um terço de seus membros, conforme dispuser o regimento interno CNPS.
§ 5o As ausências ao trabalho dos representantes dos trabalhadores em atividade, decorrentes das atividades do CNPS, serão abonadas, computando-se como jornada efetivamente trabalhada para todos os fins e efeitos legais.
§ 6o Aos membros do CNPS, enquanto representantes dos trabalhadores em atividade, titulares e suplentes, é assegurada a estabilidade no emprego, da nomeação até um ano após o término do mandato de representação, somente podendo ser demitidos por motivo de falta grave, regularmente comprovada através de processo judicial.
§ 7o Competirá ao Ministério da Previdência e Assistência Social proporcionar ao CNPS os meios necessários ao exercício de suas competências, para o que contará com uma Secretaria-Executiva do Conselho Nacional de Previdência Social.
Art. 251. Compete ao CNPS:
I - estabelecer diretrizes gerais e apreciar as decisões de políticas aplicáveis à Previdência Social;
II - participar, acompanhar e avaliar sistematicamente a gestão previdenciária;
III - apreciar e aprovar os planos e programas da Previdência Social;
IV - apreciar e aprovar as propostas orçamentárias da Previdência Social, antes de sua consolidação na proposta orçamentária da Seguridade Social;
V - acompanhar e apreciar, através de relatórios gerenciais por ele definidos, a execução dos planos, programas e orçamentos no âmbito da Previdência Social;
VI - acompanhar a aplicação da legislação pertinente à Previdência Social;
VII - apreciar a prestação de contas anual a ser remetida ao Tribunal de Contas da União, podendo, se for necessário, contratar auditoria externa;
VIII - estabelecer os valores mínimos em litígio, acima dos quais será exigida a anuência prévia do Procurador-Geral ou do Presidente do INSS para formalização de desistência ou transigência judiciais, conforme o disposto no art. 283; e
IX - elaborar e aprovar seu regimento interno.
Parágrafo único. As decisões proferidas pelo CNPS deverão ser publicadas no Diário Oficial da União.
Art. 252. Compete aos órgãos governamentais:
I - prestar toda e qualquer informação necessária ao adequado cumprimento das competências do CNPS, fornecendo inclusive estudos técnicos; e
II - encaminhar ao CNPS, com antecedência mínima de dois meses do seu envio ao Congresso Nacional, a proposta orçamentária da Previdência Social, devidamente detalhada.
Seção
II
Do Conselho Nacional da Seguridade Social - CNSS
Art. 253. O Conselho Nacional de Seguridade Social - CNSS é órgão superior de deliberação colegiada, com a participação da União, dos Estados, do Distrito Federal, dos Municípios e de representantes da sociedade civil.
§ 1o O CNSS terá dezessete membros e respectivos suplentes, sendo:
I - quatro representantes do Governo Federal, dentre os quais, um da área de Saúde, um da área de Previdência Social e um da área de Assistência Social;
II - um representante dos governos estaduais e um das prefeituras municipais;
III - oito representantes da sociedade civil, sendo quatro trabalhadores, dos quais pelo menos dois aposentados, e quatro empresários; e
IV - três representantes membros dos conselhos setoriais, sendo um de cada área da Seguridade Social, conforme disposto no Regimento do CNSS.
§ 2o Os membros do CNSS serão nomeados pelo Presidente da República.
§ 3o O CNSS será presidido por um dos seus integrantes, eleito entre seus membros, que terá mandato de um ano, vedada a reeleição, e disporá de uma Secretaria-Executiva, que se articulará com os conselhos setoriais de cada área.
§ 4o Os representantes dos trabalhadores, dos empresários e respectivos suplentes serão indicados pelas centrais sindicais e confederações nacionais e terão mandato de dois anos, podendo ser reconduzidos uma única vez.
§ 5o As áreas de Saúde, Previdência Social e Assistência Social organizar-se-ão em conselhos setoriais, com representantes da União, dos Estados, do Distrito Federal, dos Municípios e da sociedade civil.
§ 6o O CNSS reunir-se-á ordinariamente a cada bimestre, por convocação de seu presidente, ou, extraordinariamente, mediante convocação de seu presidente ou de um terço de seus membros, observado, em ambos os casos, o prazo de até sete dias para realização da reunião.
§ 7o As reuniões do CNSS serão iniciadas com a presença da maioria absoluta de seus membros, sendo exigida para deliberação a maioria simples dos votos.
§ 8o Perderá o lugar no CNSS o membro que não comparecer a três reuniões consecutivas ou a cinco intercaladas, no ano, salvo se a ausência ocorrer por motivo de força maior, justificado por escrito ao Conselho, na forma estabelecida pelo seu regimento.
§ 9o A vaga resultante da situação prevista no § 8o será preenchida através de indicação da entidade representada, no prazo de trinta dias.
§ 10 As ausências ao trabalho dos representantes dos trabalhadores em atividade, decorrentes de sua participação no Conselho, serão abonadas, computando-se como jornada efetivamente trabalhada para todos os fins e efeitos legais.
Art. 254. Compete ao CNSS:
I - estabelecer as diretrizes gerais e as políticas de integração entre as áreas, observado o disposto no inciso VII do art. 194 da Constituição Federal;
II - acompanhar e avaliar a gestão econômica, financeira e social dos recursos e o desempenho dos programas realizados, exigindo prestação de contas;
III - apreciar e aprovar os termos dos convênios firmados entre a Seguridade Social e a rede bancária para a prestação dos serviços;
IV - aprovar e submeter ao Presidente da República os programas anuais e plurianuais da Seguridade Social;
V - aprovar e submeter ao Órgão Central do Sistema de Planejamento Federal e de Orçamentos a proposta orçamentária anual da Seguridade Social;
VI - estudar, debater e aprovar proposta de recomposição periódica dos valores dos benefícios e dos salários-de-contribuição, a fim de garantir, de forma permanente, a preservação de seus valores reais;
VII - zelar pelo fiel cumprimento do disposto nesta Lei e na legislação que rege a Seguridade Social, assim como pelo cumprimento de suas deliberações;
VIII - divulgar através do Diário Oficial da União todas as suas deliberações; e
IX - elaborar o seu regimento interno.
Parágrafo único. Comissão Especial acompanhará o cumprimento, pelos Ministérios do Trabalho e Emprego e da Previdência e Assistência Social, das providências previstas nesta Lei, bem como de outras destinadas à modernização da Previdência Social.
Seção
III
Dos Conselhos Estaduais e Municipais de Previdência Social
Art. 255. Os Conselhos Estaduais de Previdência Social - CEPS e os Conselhos Municipais de Previdência Social - CMPS são órgãos de deliberação colegiada subordinados ao CNPS, observando para a sua organização, no que couber, os critérios estabelecidos nesta Lei para o CNPS, adaptados para a esfera estadual ou municipal.
§ 1o Os membros dos CEPS serão nomeados pelo presidente do CNPS e os dos CMPS, pelos presidentes dos CEPS.
§ 2o Os representantes dos trabalhadores em atividade e seus respectivos suplentes serão indicados, no caso dos CEPS, pelas federações ou centrais sindicais, e, no caso dos CMPS, pelos sindicatos ou, na ausência destes, pelas federações ou ainda, em último caso, pelas centrais sindicais ou confederações nacionais.
§ 3o Os representantes dos aposentados e seus respectivos suplentes serão indicados, no caso dos CEPS, pelas federações ou confederações, e, no caso dos CMPS, pelas associações ou, na ausência destas, pelas federações.
§ 4o Os representantes dos empregadores e seus respectivos suplentes serão indicados, no caso dos CEPS, pelas federações, e, no caso dos CMPS, pelos sindicatos, associações ou, na ausência destes, pelas federações.
Art. 256. Compete aos CEPS e aos CMPS, nos âmbitos estadual e municipal, respectivamente:
I - cumprir e fazer cumprir as deliberações do CNPS;
II - acompanhar e avaliar sistematicamente a gestão previdenciária;
III - propor ao CNPS planos e programas para a Previdência Social;
IV - acompanhar, apreciar e dar conhecimento ao CNPS, através de relatórios gerenciais por este definidos, a execução dos planos, programas e orçamentos;
V - acompanhar a aplicação da legislação pertinente à Previdência Social; e
VI - elaborar seus regimentos internos.
Seção
IV
Do Conselho de Recursos da Previdência Social - CRPS
Art. 257. Das decisões do INSS nos processos de interesse dos beneficiários e dos contribuintes da Seguridade Social caberá recurso para o Conselho de Recursos da Previdência Social - CRPS, conforme dispuser o regulamento.
§ 1o Em se tratando de processo que tenha por objeto a discussão de crédito previdenciário, o recurso de que trata este artigo somente terá seguimento se o recorrente, pessoa jurídica, instruí-lo com prova de depósito, em favor do INSS, de valor correspondente a trinta por cento da exigência fiscal definida na decisão.
§ 2o Após a decisão final no processo administrativo fiscal, o valor depositado para fins de seguimento do recurso voluntário será:
I - devolvido ao depositante, se aquela lhe for favorável; ou
II - convertido em pagamento, devidamente deduzido do valor da exigência, se a decisão for contrária ao sujeito passivo.
§ 3o A propositura, pelo beneficiário ou contribuinte, de ação que tenha por objeto idêntico pedido sobre o qual versa processo administrativo importa renúncia ao direito de recorrer na esfera administrativa e desistência do recurso interposto.
Seção
V
Da Ouvidoria
Art. 258. Haverá, no âmbito da Previdência Social, uma Ouvidoria-Geral, cujas atribuições serão definidas em regulamento.
TÍTULO II
DOS CONVÊNIOS, DOS CONTRATOS, DOS CREDENCIAMENTOS E DOS ACORDOS
Art. 259. A empresa, o sindicato ou a entidade de aposentados devidamente legalizada poderá, mediante convênio com a Previdência Social, encarregar-se, relativamente a seu empregado ou associado e respectivos dependentes, de:
I - processar requerimento de benefício, preparando-o e instruindo-o de maneira a ser despachado pela Previdência Social;
II - submeter o requerente a exame médico, inclusive complementar, encaminhando à Previdência Social o respectivo laudo, para efeito de homologação e posterior concessão de benefício que depender de avaliação de incapacidade; e
III - pagar benefício.
Parágrafo único. O convênio poderá dispor sobre o reembolso das despesas da empresa, do sindicato ou da entidade de aposentados devidamente legalizada, correspondente aos serviços previstos nos incisos II e III, ajustado por valor global conforme o número de empregados ou de associados, mediante dedução do valor das contribuições previdenciárias a serem recolhidas pela empresa.
LIVRO VII
DAS DISPOSIÇÕES FINAIS E TRANSITÓRIAS
TÍTULO I
DAS DISPOSIÇÕES FINAIS
Art. 260. Os tratados, convenções e outros acordos internacionais de que Estado estrangeiro ou organismo internacional e o Brasil sejam partes, e que versem sobre matéria previdenciária, serão interpretados como lei especial.
Art. 261. Não será permitida ao beneficiário a antecipação do pagamento de contribuições para efeito de recebimento de benefícios.
Art. 262. A arrecadação da receita prevista nos incisos I, II e III do parágrafo único do art. 162, e o pagamento dos benefícios da Seguridade Social serão realizados através da rede bancária ou por outras formas, nos termos e condições aprovados pelo CNSS.
Parágrafo único. Os recursos da Seguridade Social serão centralizados em banco estatal federal que tenha abrangência em todo o País.
Art. 263. As receitas provenientes da cobrança de débitos dos Estados e Municípios e da alienação, arrendamento ou locação de bens móveis ou imóveis pertencentes ao patrimônio do INSS, deverão constituir reserva técnica, de longo prazo, que garantirá o seguro social estabelecido no Plano de Benefícios da Previdência Social.
Parágrafo único. É vedada a utilização dos recursos de que trata este artigo, para cobrir despesas de custeio em geral, inclusive as decorrentes de criação, majoração ou extensão dos benefícios ou serviços da Previdência Social, admitindo-se sua utilização, excepcionalmente, em despesas de capital, na forma da lei de orçamento.
Art. 264. Mediante requisição da Seguridade Social, a empresa é obrigada a descontar, da remuneração paga aos segurados a seu serviço, a importância proveniente de dívida ou responsabilidade por eles contraída junto à Seguridade Social, relativa a benefícios pagos indevidamente.
Art. 265. O direito da Seguridade Social apurar e constituir seus créditos extingue-se após dez anos contados:
I - do primeiro dia do exercício seguinte àquele em que o crédito poderia ter sido constituído; ou
II - da data em que se tornar definitiva a decisão que houver anulado, por vício formal, a constituição de crédito anteriormente efetuada.
Parágrafo único. Para comprovar o exercício de atividade remunerada, com vistas à concessão de benefícios, será exigido do contribuinte individual, a qualquer tempo, o recolhimento das correspondentes contribuições.
Art. 266. Para apuração e constituição dos créditos a que se refere o parágrafo único do art. 265, a Seguridade Social utilizará como base de incidência o valor da média aritmética simples dos trinta e seis últimos salários-de-contribuição do segurado.
§ 1o No caso de indenização para fins da contagem recíproca de que tratam os arts. 80 a 84, a base de incidência será a remuneração sobre a qual incidem as contribuições para o regime específico de previdência social a que estiver filiado o interessado, conforme dispuser o regulamento, observado o limite máximo previsto no § 3o do art. 185.
§ 2o Sobre os valores apurados na forma do caput e § do 1o incidirão juros moratórios de zero vírgula cinco por cento ao mês, capitalizados anualmente, e multa de dez por cento.
§ 3o O disposto no § 2o não se aplica aos casos de contribuições em atraso a partir da competência abril de 1995, obedecendo-se, a partir de então, às disposições aplicadas às empresas em geral.
Art. 267. O direito de pleitear judicialmente a desconstituição de exigência fiscal fixada pelo INSS no julgamento de litígio em processo administrativo fiscal extingue-se com o decurso do prazo de cento e oitenta dias, contado da intimação da referida decisão.
Art. 268. O direito de cobrar os créditos da Seguridade Social, constituídos na forma dos arts. 265 e 266, prescreve em dez anos.
Art. 269. Os prazos de prescrição de que goza a União aplicam-se à Seguridade Social, ressalvado o disposto no art. 268.
Art. 270. É de cinco anos o prazo de decadência de todo e qualquer direito ou ação do segurado ou beneficiário para a revisão do ato de concessão de benefício, a contar do dia primeiro do mês seguinte ao do recebimento da primeira prestação ou, quando for o caso, do dia em que tomar conhecimento da decisão indeferitória definitiva no âmbito administrativo.
Parágrafo único. Prescreve em cinco anos, a contar da data em que deveriam ter sido pagas, toda e qualquer ação para haver prestações vencidas ou quaisquer restituições ou diferenças devidas pela Previdência Social, salvo o direito dos menores, incapazes e ausentes, na forma do Código Civil.
Art. 271. As ações referentes à prestação por acidente do trabalho prescrevem em cinco anos, observado o disposto no art. 270, contados da data:
I - do acidente, quando dele resultar a morte ou a incapacidade temporária, verificada esta em perícia médica a cargo da Previdência Social; ou
II - em que for reconhecida pela Previdência Social, a incapacidade permanente ou o agravamento das seqüelas do acidente.
Art. 272. Nos casos de negligência quanto às normas padrão de segurança e higiene do trabalho indicados para a proteção individual e coletiva, a Previdência Social proporá ação regressiva contra os responsáveis.
Art. 273. O pagamento, pela Previdência Social, das prestações por acidente do trabalho não exclui a responsabilidade civil da empresa ou de outrem.
Art. 274. O segurado que sofreu acidente do trabalho tem garantida, pelo prazo mínimo de doze meses, a manutenção do seu contrato de trabalho na empresa, após a cessação do auxílio-doença acidentário, independentemente de percepção de auxílio-acidente.
Art. 275. Os litígios e medidas cautelares relativos a acidentes do trabalho serão apreciados:
I - na esfera administrativa, pelos órgãos da Previdência Social, segundo as regras e prazos aplicáveis às demais prestações, com prioridade para conclusão; e
II - na via judicial, pela Justiça dos Estados e do Distrito Federal, segundo o rito sumaríssimo, inclusive durante as férias forenses, mediante petição instruída pela prova de efetiva notificação do evento à Previdência Social, através de Comunicação de Acidente do Trabalho.
Parágrafo único. O procedimento judicial de que trata o inciso II é isento do pagamento de quaisquer custas e de verbas relativas à sucumbência.
Art. 276. As ações judiciais, inclusive cautelares, que tenham por objeto a discussão de débito para com o INSS serão, obrigatoriamente, precedidas do depósito preparatório do valor do mesmo, monetariamente atualizado até a data de efetivação, acrescido dos juros, multa de mora e demais encargos.
§ 1o A propositura das ações previstas neste artigo importa em renúncia ao direito de recorrer na esfera administrativa e desistência do recurso interposto.
§ 2o Os depósitos recursais previstos no Plano de Custeio de que trata esta Lei serão efetuados à ordem do INSS ou do juízo, quando for o caso, em estabelecimentos oficiais de crédito, assegurada atualização monetária.
Art. 277. Os depósitos judiciais e extrajudiciais, em dinheiro, de valores referentes a contribuições sociais, inclusive seus acessórios, administradas pelo INSS, serão efetuados na Caixa Econômica Federal, mediante a utilização de documento de arrecadação de contribuições previdenciárias, específico para essa finalidade.
§ 1o O disposto neste artigo aplica-se, inclusive, aos créditos provenientes de contribuições inscritas na Dívida Ativa do INSS.
§ 2o Os depósitos serão repassados pela Caixa Econômica Federal para a conta do INSS, independentemente de qualquer formalidade, no mesmo prazo fixado para recolhimento das contribuições sociais.
§ 3o Mediante ordem da autoridade judicial ou, no caso de depósito extrajudicial, da autoridade administrativa competente, o valor do depósito, após o encerramento da lide ou do processo litigioso, será:
I - devolvido ao depositante pela Caixa Econômica Federal, no prazo máximo de vinte e quatro horas, quando a sentença lhe for favorável ou na proporção em que o for, acrescido de juros, na forma estabelecida pelo § 4o do art. 39 da Lei no 9.250, de 1995, e alterações posteriores; ou
II - transformado em pagamento definitivo, proporcionalmente à exigência da correspondente contribuição, inclusive seus acessórios, quando se tratar de sentença ou decisão favorável ao INSS.
§ 4o Os valores devolvidos pela Caixa Econômica Federal serão debitados à conta do INSS, em subconta de restituição.
§ 5o A Caixa Econômica Federal manterá controle dos valores depositados ou devolvidos.
Art. 278. Na execução judicial da Dívida Ativa da União, suas autarquias e fundações públicas, será facultado ao exeqüente indicar bens à penhora, a qual será efetivada concomitantemente com a citação inicial do devedor.
§ 1o Os bens penhorados nos termos deste artigo ficam desde logo indisponíveis.
§ 2o Efetuado o pagamento integral da dívida executada, com seus acréscimos legais, no prazo de dois dias úteis contados da citação, independentemente da juntada aos autos do respectivo mandado, poderá ser liberada a penhora, desde que não haja outra execução pendente.
§ 3o O disposto neste artigo aplica-se também às execuções já processadas.
§ 4o Não sendo opostos embargos, no prazo legal, ou sendo eles julgados improcedentes, os autos serão conclusos ao juiz do feito, para determinar o prosseguimento da execução.
Art. 279. Os órgãos competentes estabelecerão critério para a dispensa de constituição ou exigência de crédito de valor inferior ao custo dessa medida.
Art. 280. Nas execuções fiscais da Dívida Ativa do INSS, o leilão judicial dos bens penhorados realizar-se-á por leiloeiro oficial, indicado pelo credor, que procederá à hasta pública:
I - no primeiro leilão, pelo valor do maior lance, que não poderá ser inferior ao da avaliação; ou
II - no segundo leilão, por qualquer valor, excetuado o vil.
§ 1o Se no primeiro ou no segundo leilão a que se refere o caput não houver licitante, o INSS poderá adjudicar o bem por cinqüenta por cento do valor da avaliação.
§ 2o O débito do executado será quitado na proporção do valor de arrematação.
§ 3o Poderá o juiz, a requerimento do credor, autorizar seja parcelado o pagamento do valor da arrematação, na forma prevista para os parcelamentos administrativos de débitos previdenciários.
§ 4o Todas as condições do parcelamento deverão constar do edital de leilão.
§ 5o O arrematante deverá depositar, no ato, o valor da primeira parcela.
§ 6o Realizado o depósito, será expedida carta de arrematação, contendo as seguintes disposições:
I - valor da arrematação, valor e número de parcelas mensais em que será pago;
II - constituição de hipoteca do bem adquirido, ou de penhor, em favor do credor, servindo a carta de título hábil para registro da garantia;
III - indicação do arrematante como fiel depositário do bem móvel, quando constituído penhor; e
IV - especificação dos critérios de reajustamento do saldo e das parcelas, que será sempre o mesmo vigente para os parcelamentos de débitos previdenciários.
§ 7o Se o arrematante não pagar, no vencimento, qualquer das parcelas mensais, o saldo devedor remanescente vencerá antecipadamente, que será acrescido em cinqüenta por cento de seu valor a título de multa, e, imediatamente inscrito em Dívida Ativa e executado.
§ 8o Não havendo interesse na adjudicação, poderá o juiz do feito, de ofício ou a requerimento do credor, determinar sucessivas repetições da hasta pública.
§ 9o O leiloeiro oficial, a pedido do credor, poderá ficar como fiel depositário dos bens penhorados e realizar a respectiva remoção.
§ 10. Se o bem adjudicado não puder ser utilizado pelo INSS, e for de difícil venda, poderá ser negociado ou doado a outro órgão ou entidade pública que demonstre interesse na sua utilização.
Art. 281. O INSS poderá contratar leiloeiros oficiais para promover a venda administrativa dos bens, adjudicados judicialmente ou que receber em dação de pagamento.
Parágrafo único. O INSS, no prazo de sessenta dias, providenciará alienação do bem por intermédio do leiloeiro oficial.
Art. 282. O Ministro da Previdência e Assistência Social poderá autorizar o INSS a formalizar a desistência ou abster-se de propor ações e recursos em processos judiciais sempre que a ação versar matéria sobre a qual haja declaração de inconstitucionalidade proferida pelo Supremo Tribunal Federal, súmula ou jurisprudência consolidada do Supremo Tribunal Federal ou dos tribunais superiores.
Parágrafo único. O Ministro da Previdência e Assistência Social disciplinará as hipóteses em que a administração previdenciária federal, relativamente aos créditos previdenciários baseados em dispositivo declarado inconstitucional por decisão definitiva do Supremo Tribunal Federal, possa:
I - abster-se de constituí-los;
II - retificar o seu valor ou declará-los extintos, de ofício, quando houverem sido constituídos anteriormente, ainda que inscritos em Dívida Ativa; e
III - formular desistência de ações de execução fiscal já ajuizadas, bem como deixar de interpor recursos de decisões judiciais.
Art. 283. A formalização de desistência ou transigência judiciais, por parte de procurador da Previdência Social, será sempre precedida da anuência, por escrito, do Procurador-Geral do INSS, ou do Presidente desse órgão, quando os valores em litígio ultrapassarem os limites definidos pelo CNPS.
§ 1o Os valores, a partir dos quais se exigirá a anuência do Procurador-Geral ou do Presidente do INSS, serão definidos periodicamente pelo CNPS, através de resolução própria.
§ 2o Até que o CNPS defina os valores mencionados neste artigo, deverão ser submetidos à anuência prévia do Procurador-Geral ou do Presidente do INSS a formalização de desistência ou transigência judiciais, quando os valores, referentes a cada segurado considerado separadamente, superarem, respectivamente, dez ou trinta vezes o teto do salário-de-benefício.
Art. 284. Na execução contra o INSS, o prazo a que se refere o art. 730 do Código de Processo Civil é de trinta dias.
Art. 285. As demandas judiciais que tiverem por objeto o reajuste ou a concessão de benefícios regulados nesta Lei e cujos valores de execução, por autor, não forem superiores a R$ 5.865,00 (cinco mil oitocentos e sessenta e cinco reais), poderão, por opção de cada um dos exeqüentes, ser quitadas no prazo de até sessenta dias após a intimação do julgamento da decisão, sem necessidade da expedição de precatório.
§ 1o É vedado o fracionamento, repartição ou quebra do valor da execução, de modo que o pagamento se faça, em parte, na forma estabelecida no caput e, em parte, mediante expedição do precatório.
§ 2o É vedada a expedição de precatório complementar ou suplementar do valor pago na forma do caput.
§ 3o Se o valor da execução ultrapassar o estabelecido no caput, o pagamento far-se-á sempre por meio de precatório.
§ 4o É facultada à parte exeqüente a renúncia ao crédito, no que exceder ao valor estabelecido no caput, para que possa optar pelo pagamento do saldo sem o precatório, na forma ali prevista.
§ 5o A opção exercida pela parte para receber os seus créditos na forma prevista no caput implica a renúncia do restante dos créditos porventura existentes e que sejam oriundos do mesmo processo.
§ 6o O pagamento sem precatório, na forma prevista neste artigo, implica quitação total do pedido constante da petição inicial e determina a extinção do processo.
§ 7o O disposto neste artigo não obsta a interposição de embargos à execução por parte do INSS.
§ 8o O disposto neste artigo aplica-se também aos benefícios assistenciais de prestação continuada.
Art. 286. O INSS, nas causas em que seja interessado na condição de autor, réu, assistente ou opoente, gozará das mesmas prerrogativas e privilégios assegurados à Fazenda Pública, inclusive quanto à inalienabilidade e impenhorabilidade de seus bens.
§ 1o O INSS é isento do pagamento de custas, traslados, preparos, certidões, registros, averbações e quaisquer outros emolumentos, nas causas em que seja interessado na condições de autor, réu, assistente ou opoente, inclusive nas ações de natureza trabalhista, acidentária e de benefícios.
§ 2o O INSS antecipará os honorários periciais nas ações de acidente do trabalho.
Art. 287. O INSS poderá requisitar a qualquer órgão ou entidade da administração direta ou indireta da União, dos Estados, do Distrito Federal e dos Municípios, bem como das demais entidades sob seu controle, elementos de fato e de direito relativo às alegações e ao pedido do autor de ação proposta contra a Previdência Social, bem como promover diligências para localização de devedores e apuração de bens penhoráveis, que serão atendidas prioritariamente e sob regime de urgência.
Art. 288. A União poderá promover leilões de certificados da dívida pública mobiliária federal a serem emitidos com a finalidade exclusiva de amortização ou quitação de dívidas previdenciárias, em permuta por títulos de responsabilidade do Tesouro Nacional ou por créditos decorrentes de securitização de obrigações da União.
§ 1o O INSS está autorizado a receber os títulos e créditos aceitos no leilão de certificados da dívida pública mobiliária federal, com base nas percentagens sobre os últimos preços unitários e demais características divulgadas pela portaria referida no § 5o com a finalidade exclusiva de amortização ou quitação de dívidas previdenciárias, de empresa cujo débito total não ultrapasse R$ 638.520,72 (seiscentos e trinta e oito mil quinhentos e vinte reais e setenta e dois centavos).
§ 2o Os débitos previdenciários a serem amortizados ou quitados na forma do § 1o serão considerados pelo seu valor atualizado acrescido dos encargos legais multiplicado pelo percentual calculado entre o preço médio do último leilão e o valor de face de emissão do certificado.
§ 3o Os certificados da dívida pública mobiliária federal poderão ser emitidos diretamente para o INSS pelo preço médio homologado do seu último leilão de colocação, em permuta pelos títulos e créditos recebidos pelo INSS na forma do § 1o.
§ 4o A emissão dos certificados de que trata o caput processar-se-á sob a forma escritural, mediante registro dos respectivos direitos creditórios em sistema centralizado de liquidação e custódia.
§ 5o Portaria conjunta dos Ministros de Estado da Fazenda e da Previdência e Assistência Social estabelecerá as condições para a efetivação de cada leilão previsto no caput, tais como:
I - a quantidade de certificados a serem leiloados;
II - definição dos títulos ou créditos decorrentes de securitização de obrigações da União a serem aceitos em permuta pelos certificados, bem como a quantidade mínima por unidade de certificado;
III - natureza, período e situação dos débitos previdenciários que poderão ser amortizados ou quitados com os certificados; e
IV - natureza, período, situação e valor máximo dos débitos previdenciários que poderão ser amortizados ou quitados na forma prevista no § 1o.
Art. 289. O Tesouro Nacional efetuará o resgate dos certificados de sua emissão, contra apresentação pelo INSS, ao preço que mantenha a eqüivalência econômica do leilão previsto no caput do art. 288.
Art. 290. O INSS é obrigado a:
I - enviar às empresas e aos contribuintes individuais, quando solicitado, extratos de recolhimento das suas contribuições;
II - emitir automaticamente e enviar às empresas avisos de cobrança de débitos;
III - emitir e enviar aos beneficiários o Aviso de Concessão de Benefício, além da memória de cálculo do valor dos benefícios concedidos;
IV - reeditar versão atualizada, nos termos do Plano de Benefícios, da Carta dos Direitos dos Segurados;
V - divulgar, com a devida antecedência, através dos meios de comunicação, alterações porventura realizadas na forma de contribuição das empresas e segurados em geral; e
VI - descentralizar, progressivamente, o processamento eletrônico das informações, mediante extensão dos programas de informatização de postos de atendimento e de Regiões Fiscais.
Art. 291. O INSS, na forma da legislação específica, fica autorizado a contratar auditorias externas, periodicamente, para analisar e emitir parecer sobre demonstrativos econômico-financeiros e contábeis, arrecadação, cobrança e fiscalização das contribuições, bem como pagamento dos benefícios, submetendo os resultados obtidos à apreciação do CNSS.
Art. 292. A Auditoria e a Procuradoria do INSS deverão, a cada trimestre, elaborar relação das auditorias realizadas e dos trabalhos executados, bem como dos resultados obtidos, enviando-a a apreciação do CNSS.
Art. 293. O INSS deverá implantar um programa de qualificação e treinamento sistemático de pessoal, bem como promover a reciclagem e redistribuição de funcionários conforme as demandas dos órgãos regionais e locais, visando a melhoria da qualidade do atendimento e o controle e a eficiência dos sistemas de arrecadação e fiscalização de contribuições, bem como de pagamento de benefícios.
Art. 294. Os valores expressos em moeda corrente nesta Lei, atualizados em 1o de junho de 2002, serão reajustados nas mesmas épocas e com os mesmos índices utilizados para o reajustamento dos benefícios de prestação continuada da Previdência Social.
Art. 295. Por intermédio dos estabelecimentos de ensino, sindicatos, associações de classe, Fundação Jorge Duprat Figueiredo de Segurança e Medicina do Trabalho - FUNDACENTRO, órgãos públicos e outros meios, serão promovidas regularmente instrução e formação com vistas a incrementar costumes e atitudes prevencionistas em matéria de acidente, especialmente do trabalho.
Art. 296. O Conselho Gestor do Cadastro Nacional de Informações Sociais, criado na forma dos Decretos nos 97.936, de 10 de julho de 1989, e 99.378, de 11 de julho de 1990, é vinculado ao Ministério da Previdência e Assistência Social, que assegurará condições para o seu funcionamento.
Art. 297. Ao Conselho Gestor do Cadastro Nacional de Informações Sociais incumbe supervisionar e fiscalizar os trabalhos do Cadastro Nacional de Informações Sociais, bem como sugerir as medidas legais e administrativas que permitam a existência na Administração Pública Federal de cadastro completo dos trabalhadores e das empresas.
Art. 298. O Conselho Gestor do Cadastro Nacional de Informações Sociais terá doze membros titulares e igual número de suplentes, nomeados pelo Ministro da Previdência e Assistência Social para mandato de quatro anos, sendo:
I - seis representantes do Governo Federal;
II - três representantes indicados pelas centrais sindicais ou confederações nacionais de trabalhadores; e
III - três representantes das confederações nacionais de empresários.
Parágrafo único. A presidência do Conselho Gestor será exercida por um de seus membros, eleito para mandato de um ano, vedada a recondução.
Art. 299. A contribuição adicional dos empregadores rurais de que tratam os arts. 178 e 179, para o Serviço Nacional de Aprendizagem Rural - SENAR, é de zero vírgula vinte e cinco por cento da receita bruta proveniente da venda de mercadorias de produção própria e da receita bruta proveniente da comercialização da produção, respectivamente, não se lhes aplicando o disposto no inciso I do art. 3o da Lei no 8.315, de 23 de setembro de 1991.
Art. 300. A contribuição do empregador rural pessoa física e a do segurado especial, referidos, respectivamente, na alínea "d" do inciso IV e no inciso V do art. 8o para o SENAR, é de zero vírgula dois por cento, incidente sobre a receita bruta proveniente da comercialização de sua produção rural.
TÍTULO II
DAS DISPOSIÇÕES TRANSITÓRIAS
Art. 301. Considera-se salário-de-contribuição, para os segurados contribuintes individual e facultativo filiados ao Regime Geral de Previdência Social até 28 de novembro de 1999, o salário-base, determinado conforme o art. 29 da Lei no 8.212, de 22 de julho de 1991, com a redação vigente naquela data.
§ 1o O número mínimo de meses de permanência em cada classe da escala de salários-base de que trata o art. 29 da Lei no 8.212, de 1991, com a redação anterior a 29 de novembro de 1999, será reduzida, gradativamente, em doze meses a cada ano, até a extinção da referida escala.
§ 2o Havendo a extinção de uma determinada classe em face do disposto no § 1o, a classe subseqüente será considerada como classe inicial, cujo salário-base variará entre o valor correspondente ao da classe extinta e o da nova classe inicial.
§ 3o Após a extinção da escala de salários-base de que trata o § 1o, entender-se-á por salário-de-contribuição, para os segurados contribuintes individual e facultativo, o disposto nos incisos III e IV do art. 185.
Art. 302. Os auxiliares locais de nacionalidade brasileira que prestam serviços no exterior, amparados pela Lei no 8.745, de 9 de dezembro de 1993, terão sua situação regularizada junto ao INSS, no Regime Geral de Previdência Social, mediante indenização das contribuições patronais e dos segurados, na forma como segue:
I - para fatos geradores ocorridos até 31 de dezembro de 1993, serão consideradas as alíquotas a que se referem os arts. 167, 170 e 171 e o salário-de-contribuição vigente no mês da regularização, para apuração dos valores a serem vertidos ao INSS; e
II - sobre o valor da contribuição apurado na forma do inciso I, serão aplicados juros de mora de um por cento ao mês.
§ 1o A indenização a que se refere o caput retroagirá à data da efetiva admissão do auxiliar local, cabendo à respectiva entidade empregadora a despesa decorrente, inclusive a correspondente à contribuição do segurado.
§ 2o Os débitos referentes aos fatos geradores ocorridos a partir de 1o de janeiro de 1994 obedecerão à legislação de regência.
§ 3o O disposto neste artigo aplica-se, também, aos auxiliares locais de nacionalidade brasileira cujos contratos de trabalho se encontram rescindidos, no que se refere ao seu período de vigência, excluídos aqueles que tiverem auxílio financeiro para ingresso em previdência local ou privada, compensação pecuniária no ato do encerramento do seu contrato de trabalho ou que eram filiados ao regime previdenciário local.
§ 4o O auxiliar local que tenha, comprovadamente, recebido alguma das importâncias a que se refere o § 3o, ainda que em atividade, somente terá regularizado o período para o qual não ocorreu o referido pagamento.
Art. 303. O aposentado por idade ou por tempo de serviço pelo Regime Geral de Previdência Social que vinha contribuindo até 16 de abril de 1994, receberá, em pagamento único, o valor correspondente à soma das importâncias relativas as suas contribuições, remuneradas de acordo com o Índice de Remuneração Básica dos Depósitos de Poupança com data de aniversário do primeiro dia, quando do afastamento da atividade que exercia naquela data.
Art. 304. O Poder Executivo estabelecerá critérios para a conversão do tempo de trabalho exercido até 28 de maio de 1998, sob condições especiais que sejam prejudiciais à saúde ou à integridade física, nos termos dos arts. 54 e 55, em tempo de trabalho exercido em atividade comum, desde que o segurado tenha implementado percentual do tempo necessário para a obtenção da respectiva aposentadoria especial, conforme estabelecido em regulamento.
Art. 305. O INSS poderá concordar com valores divergentes, para pagamento de débito objeto de execução fiscal, quando a diferença entre os cálculos de atualização da dívida por ele elaborados ou levados a efeito pela contadoria do Juízo e os cálculos apresentados pelo executado for igual ou inferior a cinco por cento.
§ 1o O disposto neste artigo aplica-se somente a débitos cuja petição inicial da execução tenha sido protocolada em Juízo até 31 de março de 1997.
§ 2o A extinção de processos de execução, em decorrência da aplicação do disposto neste artigo, não implicará condenação em honorários, custas e quaisquer outros ônus de sucumbência contra o exeqüente, oferecidos ou não embargos à execução, e acarretará a desistência de eventual recurso que tenha por razão a divergência de valores de atualização nos limites do percentual referido.
Art. 306. As alíquotas a que se referem os incisos I, II e III do art. 171, vigentes em 1o de janeiro de 1996, são reduzidas em cinqüenta por cento de seu valor, a partir de 22 de janeiro de 1998, por dezoito meses, nos contratos de trabalho por prazo determinado, nos termos da Lei no 9.601, de 21 de janeiro de 1998.
§ 1o A redução prevista no caput é assegurada desde que o empregador esteja adimplente junto ao INSS no momento da contratação.
§ 2o O Ministério do Trabalho e Emprego tornará disponíveis ao INSS as informações constantes da convenção ou acordo coletivo de que trata lei específica, e do contrato de trabalho depositado, necessárias ao controle do recolhimento das contribuições mencionadas no caput.
Art. 307. Os arts. 192 e 193 passaram a produzir efeitos a partir de 1o de fevereiro de 1999, ficando mantida, até aquela data, a responsabilidade solidária, na forma da legislação vigente à época.
Art. 308. Os Estados, o Distrito Federal e os Municípios poderão optar pela amortização de suas dívidas para com o INSS, oriundas de contribuições sociais, bem como as decorrentes de obrigações acessórias, até a competência março de 1997, mediante o emprego de um percentual de quatro por cento do Fundo de Participação dos Estados e do Distrito Federal - FPE e nove por cento do Fundo de Participação dos Municípios - FPM.
§ 1o Observado o emprego mínimo de três por cento do Fundo de Participação dos Estados e do Distrito Federal - FPE ou do Fundo de Participação dos Municípios - FPM os percentuais estabelecidos neste artigo serão reduzidos para que o prazo de amortização não seja inferior a noventa e seis meses.
§ 2o As unidades federativas mencionadas neste artigo poderão optar por incluir nessa espécie de amortização as dívidas, até a competência março de 1997, de suas autarquias e das fundações por elas instituídas e mantidas hipótese em que haverá o acréscimo de três pontos nos percentuais do Fundo de Participação dos Estados e do Distrito Federal - FPE e de três pontos nos percentuais do Fundo de Participação dos Municípios - FPM referidos no caput.
§ 3o Mediante o emprego de mais quatro pontos percentuais do respectivo Fundo de Participação, as Unidades Federativas a que se refere este artigo poderão optar por incluir, nesta espécie de amortização, as dívidas constituídas até a competência março de 1997, para com o INSS, de suas empresas públicas, mantendo-se os critérios de atualização e incidência de acréscimos legais aplicáveis às empresas desta natureza.
Art. 309. As unidades federativas mencionadas no art. 308 poderão assumir as dívidas para com o INSS de suas empresas públicas e sociedades de economia mista, facultando-se-lhes a sub-rogação no respectivo crédito para fins de parcelamento ou reparcelamento, na forma convencional estabelecida no art. 216, sem a restrição do seu § 3o, mantendo-se os critérios de atualização e incidência de acréscimos legais aplicáveis a estas entidades.
Parágrafo único. O atraso superior a sessenta dias no pagamento das prestações referentes ao acordo de parcelamento celebrado na forma deste artigo acarretará a retenção do Fundo de Participação dos Estados e do Distrito Federal - FPE ou do Fundo de Participação dos Municípios - FPM e o repasse à autarquia previdenciária do valor correspondente à mora, por ocasião da primeira transferência que ocorrer após a comunicação do INSS ao Ministério da Fazenda.
Art. 310. O percentual de que trata o caput do art. 308 será reduzido em:
I - seis pontos, para os mil municípios de menor capacidade de pagamento, medida pela receita per capita das transferências constitucionais da União e do Imposto sobre Circulação de Mercadorias e Serviços, e em três pontos, para os mil municípios seguintes; ou
II - seis pontos, para os municípios com até vinte mil habitantes e onde estão localizados os bolsões de pobreza, identificados como áreas prioritárias no Programa Comunidade Solidária, e em três pontos, para os municípios com mais de vinte mil e menos de trinta mil habitantes e identificados por aquele Programa; ou
III - seis pontos, para os municípios com Índice de Condições de Sobrevivência - ICS nacional - das crianças de até seis anos, calculado pelo Fundo das Nações Unidas para a Infância em conjunto com a Fundação Instituto Brasileiro de Geografia e Estatística, maior do que zero vírgula sessenta e cinco e em três pontos, para os municípios com Índice de Condições de Sobrevivência nacional maior do que zero vírgula cinco e menor ou igual a zero vírgula sessenta e cinco.
§ 1o Excluem-se do disposto nos incisos I e II os municípios com Índice de Condições de Sobrevivência - ICS nacional - das crianças de até seis anos, menor do que zero vírgula três.
§ 2o A aferição da receita a que se refere o inciso I terá como base as transferências observadas no exercício de 1996.
§ 3o Os municípios a que se refere o inciso II são aqueles identificados pelo Programa Comunidade Solidária até o final do ano de 1996.
§ 4o A população de cada município será a informada pelo Instituto Brasileiro de Geografia e Estatística, segundo a estimativa disponível em 31 de dezembro de 1996.
Art. 311. Os Estados, o Distrito Federal e os Municípios, suas autarquias e as fundações por eles instituídas e mantidas, ao celebrarem acordos na forma do art. 308, terão todas as outras espécies de parcelamento ou amortização de dívida para com o INSS por eles substituídas.
Art. 312. O acordo celebrado com base nos arts. 308 a 310 conterá cláusula em que o Estado, o Distrito Federal ou o Município autorize, quando houver a falta de pagamento de débitos vencidos ou o atraso superior a sessenta dias no cumprimento das obrigações previdenciárias correntes ou de prestações de acordos de parcelamento, a retenção do Fundo de Participação dos Estados e do Distrito Federal - FPE ou do Fundo de Participação dos Municípios - FPM e o repasse à autarquia previdenciária do valor correspondente à mora por ocasião da primeira transferência que ocorrer após a comunicação do INSS ao Ministério da Fazenda.
Art. 313. No acordo para parcelamento, lavrado em termo específico por força das Leis nos 9.129, de 20 de novembro de 1995, e 9.639, de 25 de maio de 1998, respondem como seus fiadores os acionistas ou sócios controladores e seus diretores com seus bens pessoais, quanto ao inadimplemento das obrigações nele assumidas, por dolo ou culpa, ou em caso de insolvência ou extinção da pessoa jurídica.
Art. 314. O acordo de parcelamento formalizado nos termos do art. 6o da Lei no 9.639, de 1998 , conterá cláusula de cessão a favor do INSS, de créditos decorrentes de serviços de assistência médica, ambulatorial e de autorização para internação hospitalar prestados pelo hospital ou entidade a órgãos integrantes do Sistema Único de Saúde que, disso notificados, efetuarão o pagamento mensal, correspondente a cada parcela, ao cessionário, nas mesmas condições assumidas com o cedente, de acordo com a regularidade de repasses financeiros recebidos do Ministério da Fazenda.
§ 1o Insuficiente o pagamento mensal efetuado pelos órgãos integrantes do Sistema Único de Saúde ao INSS, em cumprimento à notificação mencionada no caput, será emitida guia de recolhimento complementar da diferença verificada a menor, com vencimento para o dia vinte do mês imediatamente posterior, cujo pagamento será efetuado diretamente pela entidade ou hospital beneficiário do parcelamento acordado.
§ 2o Do total de recursos financeiros a serem repassados a municípios habilitados para gestão semi-plena do Sistema Único de Saúde, serão, mensalmente, retidos e recolhidos ao INSS os valores correspondentes às parcelas de créditos que lhe foram cedidos pelos hospitais e entidades, decorrentes de serviços médicos, ambulatoriais e de autorização para internação hospitalar prestados mediante contrato ou convênio com a administração municipal.
Art. 315. O atraso no recolhimento das contribuições previdenciárias referentes a competências posteriores à celebração do acordo de parcelamento firmado com base nos arts. 6o e 7o da Lei no 9.639, de 1998, ou o descumprimento de quaisquer de suas cláusulas ou condições, implicará a sua rescisão, com restabelecimento da multa sobre o saldo devedor e demais acréscimos legais.
Art. 316. O parcelamento do débito acordado nos termos do art. 1o da Lei no 9.129, de 1995, será automaticamente rescindido em caso de inadimplência de qualquer parcela ou falta de pagamento de contribuições devidas, restabelecendo-se a multa em seu percentual máximo e ficando o INSS obrigado, de ofício, a proceder à execução judicial de saldo devedor em até noventa dias.
Art. 317. Os regimes instituidores apresentarão aos regimes de origem, no prazo máximo de dezoito meses a contar de 6 de maio de 1999, os dados relativos aos benefícios em manutenção nessa data, concedidos a partir da promulgação da Constituição Federal.
Parágrafo único. A compensação financeira em atraso relativa aos benefícios de que trata este artigo será calculada multiplicando-se a renda mensal obtida para o último mês, de acordo com o procedimento determinado nos arts. 87 e 88, pelo número de meses em que o benefício foi pago até então.
Art. 318. Está cancelada, a partir de 1o de abril de 1999, toda e qualquer isenção concedida, em caráter geral ou especial, de contribuição para a Seguridade Social em desconformidade com os arts. 174 ou 175.
Art. 319. O disposto nos arts. 174 e 175 tem aplicação a partir da competência abril de 1999.
Art. 320. Ficam revogadas, por consolidação, as seguintes normas legais:
I - arts. 4o e 5o do Decreto-Lei no 6.223, de 22 de janeiro de 1944;
II - Lei no 3.807, de 26 de agosto de 1960;
III - arts. 1o a 4o ; caput, §§ 1o, 2o e 4o do art. 4o; arts. 5o, 7o, 9o e 10 da Lei no 4.266, de 3 de outubro de 1963;
IV - art. 4o da Lei no 4.749, de 12 de agosto de 1965;
V - § 6o do art. 33; art. 34; caput e §§ 1o a 4o, 6o e 7o do art. 35 da Lei no 4.863, de 29 de novembro de 1965;
VI - Lei no 5.030, de 17 de junho de 1966;
VII - Lei no 5.698, de 31 de agosto de 1971;
VIII - art. 4o a 8o da Lei no 5.859, de 11 de dezembro de 1972;
IX - art. 3o da Lei no 6.019, de 3 de janeiro de 1974;
X - § 1o do art. 1o da Lei no 6.094, de 30 de agosto de 1974;
XI - incisos I a V do § 1o e § 3o do art. 1o da Lei no 6.205, de 29 de abril de 1975;
XII - art. 6o da Lei no 6.532, de 24 de maio de 1978;
XIII - arts. 4o a 7o da Lei no 6.586, de 6 de novembro de 1978;
XIV - art. 14 da Lei no 6.708, de 30 de outubro de 1979;
XV - Lei no 7.070, de 20 de dezembro de 1982;
XVI - arts. 1o a 3o do Decreto-Lei no 2.318, de 30 de dezembro de 1986;
XVII - § 3o do art. 3o e art. 18 da Lei no 7.644, de 18 de dezembro de 1987;
XVIII - arts. 1o a 6o; arts. 9o a 17 e arts. 19 a 22 da Lei no 7.787, de 30 de junho de 1989;
XIX - Lei no 7.986, de 28 de dezembro de 1989;
XX - arts. 1o a 10 e art. 16 da Lei no 8.114, de 12 de dezembro de 1990;
XXI - Lei no 8.186, de 21 de maio de 1991;
XXII - Lei no 8.212, de 24 de julho de 1991;
XXIII - Lei no 8.213, de 24 de julho de 1991;
XXIV - art. 4o da Lei no 8.398, de 7 de janeiro de 1992;
XXV - Lei no 8.444, de 20 de julho de 1992;
XXVI - Lei no 8.529, de 14 de dezembro de 1992;
XXVII - Lei no 8.540, de 22 de dezembro de 1992;
XXVIII - Lei no 8.619, de 5 de janeiro de 1993;
XXIX - Lei no 8.620, de 5 de janeiro de 1993;
XXX - art. 1o e arts. 3o a 7o da Lei no 8.647, de 13 de abril de 1993;
XXXI - arts. 1o e 2o da Lei no 8.686, de 20 de julho de 1993;
XXXII - art. 8o e art. 15 da Lei no 8.745, de 9 de dezembro de 1993;
XXXIII - Lei no 8.861, de 25 de março de 1994;
XXXIV - arts. 1o a 24; caput, incisos I e II e §§ 2o e § 4o do art. 25 e arts. 26 a 29 da Lei no 8.870, de 15 de abril de 1994;
XXXV - arts. 20 e. 21 da Lei no 8.880, de 27 de maio de 1994;
XXXVI - Lei no 8.902, de 30 de junho de 1994;
XXXVII - parágrafo único do art. 40 da Lei no 8.935, de 18 de novembro de 1994;
XXXVIII - § 2o do art. 1o; arts. 2o, 3o, 5o e 6o da Lei no 9.032, de 28 de abril de 1995;
XXXIX - arts. 2o a 5o da Lei no 9.063, de 14 de junho de 1995;
XL - Lei no 9.129, de 20 de novembro de 1995;
XLI - Lei no 9.422, de 24 de dezembro de 1996;
XLII - Lei no 9.429, de 26 de dezembro de 1996;
XLIII - Lei no 9.441, de 14 de março de 1997;
XLIV - Lei no 9.476, de 23 de julho de 1997;
XLV - §§ 1o a 3o do art. 13 da Lei no 9.506, de 30 de outubro de 1997;
XLVI - arts. 1o e 2o e arts. 5o a 15 da Lei no 9.528, de 10 de dezembro de 1997;
XLVII - arts. 1o a 5o; §§ 2o a 11 do art. 6o e arts. 7o a 14 da Lei no 9.639, de 25 de maio de 1998;
XLVIII - Lei no 9.676, de 30 de junho de 1998;
XLIX - art. 2o da Lei no 9.703, de 17 de novembro de 1998;
L - arts. 1o a 17; arts. 19 a 21 e arts. 23 a 32 da Lei no 9.711, de 20 de novembro de 1998;
LI - arts. 1o e 2o e arts. 4o a 8o da Lei no 9.732, de 11 de dezembro de 1998;
LII - parágrafo único do art. 4o da Lei no 9.766, de 18 de dezembro de 1998;
LIII - Lei no 9.796, de 5 de maio de 1999;
LIV - Lei no 9.876, de 26 de novembro de 1999;
LV - art. 3o da Lei no 9.983, de 14 de julho de 2000;
LVI - Lei no 10.099, de 19 de dezembro de 2000;
LVII - Lei no 10.170, de 29 de dezembro de 2000;
LVIII - arts. 1o a 3o e arts. 5o e 6o da Lei no 10.256, de 9 de julho de 2001;
LIX - Lei no 10.403, de 8 de janeiro de 2002;
LX - arts. 3o a 6o da Lei no 10.421, de 15 de abril de 2002;
LXI - Lei no 10.478, de 28 de junho de 2002.
Brasília,