Brastra.gif (4376 bytes)

Presidência da República
Casa Civil
Subchefia para Assuntos Jurídicos

LEI No 9.876, DE 26 DE NOVEMBRO DE 1999.

Dispõe sobre a contribuição previdenciária do contribuinte individual, o cálculo do benefício, altera dispositivos das Leis nos 8.212 e 8.213, ambas de 24 de julho de 1991, e dá outras providências.

O PRESIDENTE DA REPÚBLICA Faço saber que o Congresso Nacional decreta e eu sanciono a seguinte Lei:

Art. 1o A Lei no 8.212, de 24 de julho de 1991, passa a vigorar com as seguintes alterações:

"Art. 12. .............................................................................

I - .......................................................................................

.........................................................................................."

"i) o empregado de organismo oficial internacional ou estrangeiro em funcionamento no Brasil, salvo quando coberto por regime próprio de previdência social;"

"........................................................................................."

"V - como contribuinte individual:" (NR)

"a) a pessoa física, proprietária ou não, que explora atividade agropecuária ou pesqueira, em caráter permanente ou temporário, diretamente ou por intermédio de prepostos e com auxílio de empregados, utilizados a qualquer título, ainda que de forma não contínua;

b) a pessoa física, proprietária ou não, que explora atividade de extração mineral - garimpo, em caráter permanente ou temporário, diretamente ou por intermédio de prepostos, com ou sem o auxílio de empregados, utilizados a qualquer título, ainda que de forma não contínua;"

"c) o ministro de confissão religiosa e o membro de instituto de vida consagrada, de congregação ou de ordem religiosa, quando mantidos pela entidade a que pertencem, salvo se filiados obrigatoriamente à Previdência Social em razão de outra atividade ou a outro regime previdenciário, militar ou civil, ainda que na condição de inativos;" (NR)

"d) revogada;"

"e) o brasileiro civil que trabalha no exterior para organismo oficial internacional do qual o Brasil é membro efetivo, ainda que lá domiciliado e contratado, salvo quando coberto por regime próprio de previdência social;" (NR)

"f) o titular de firma individual urbana ou rural, o diretor não empregado e o membro de conselho de administração de sociedade anônima, o sócio solidário, o sócio de indústria, o sócio gerente e o sócio cotista que recebam remuneração decorrente de seu trabalho em empresa urbana ou rural, e o associado eleito para cargo de direção em cooperativa, associação ou entidade de qualquer natureza ou finalidade, bem como o síndico ou administrador eleito para exercer atividade de direção condominial, desde que recebam remuneração;

g) quem presta serviço de natureza urbana ou rural, em caráter eventual, a uma ou mais empresas, sem relação de emprego;

h) a pessoa física que exerce, por conta própria, atividade econômica de natureza urbana, com fins lucrativos ou não;"

"........................................................................................."

"§ 6o Aplica-se o disposto na alínea g do inciso I do caput ao ocupante de cargo de Ministro de Estado, de Secretário Estadual, Distrital ou Municipal, sem vínculo efetivo com a União, Estados, Distrito Federal e Municípios, suas autarquias, ainda que em regime especial, e fundações."

"Art. 13. O servidor civil ocupante de cargo efetivo ou o militar da União, dos Estados, do Distrito Federal ou dos Municípios, bem como o das respectivas autarquias e fundações, são excluídos do Regime Geral de Previdência Social consubstanciado nesta Lei, desde que amparados por regime próprio de previdência social." (NR)

"§ 1o Caso o servidor ou o militar venham a exercer, concomitantemente, uma ou mais atividades abrangidas pelo Regime Geral de Previdência Social, tornar-se-ão segurados obrigatórios em relação a essas atividades." (NR)

"§ 2o Caso o servidor ou o militar, amparados por regime próprio de previdência social, sejam requisitados para outro órgão ou entidade cujo regime previdenciário não permita a filiação nessa condição, permanecerão vinculados ao regime de origem, obedecidas as regras que cada ente estabeleça acerca de sua contribuição."

"Art. 15. ............................................................................"

 "Parágrafo único. Equipara-se a empresa, para os efeitos desta Lei, o contribuinte individual em relação a segurado que lhe presta serviço, bem como a cooperativa, a associação ou entidade de qualquer natureza ou finalidade, a missão diplomática e a repartição consular de carreira estrangeiras." (NR)

"CAPÍTULO III

DA CONTRIBUIÇÃO DO SEGURADO"

"................................................................."

"Seção II"

"Da Contribuição dos Segurados Contribuinte Individual e Facultativo" (NR)

"Art. 21. A alíquota de contribuição dos segurados contribuinte individual e facultativo será de vinte por cento sobre o respectivo salário-de-contribuição." (NR)

"I - revogado;"

"II - revogado."

"......................................................................................."

"Art. 22. ............................................................................"

"I - vinte por cento sobre o total das remunerações pagas, devidas ou creditadas a qualquer título, durante o mês, aos segurados empregados e trabalhadores avulsos que lhe prestem serviços, destinadas a retribuir o trabalho, qualquer que seja a sua forma, inclusive as gorjetas, os ganhos habituais sob a forma de utilidades e os adiantamentos decorrentes de reajuste salarial, quer pelos serviços efetivamente prestados, quer pelo tempo à disposição do empregador ou tomador de serviços, nos termos da lei ou do contrato ou, ainda, de convenção ou acordo coletivo de trabalho ou sentença normativa." (NR)

"................................................................................."

"III - vinte por cento sobre o total das remunerações pagas ou creditadas a qualquer título, no decorrer do mês, aos segurados contribuintes individuais que lhe prestem serviços;

IV - quinze por cento sobre o valor bruto da nota fiscal ou fatura de prestação de serviços, relativamente a serviços que lhe são prestados por cooperados por intermédio de cooperativas de trabalho."

"§ 1o No caso de bancos comerciais, bancos de investimentos, bancos de desenvolvimento, caixas econômicas, sociedades de crédito, financiamento e investimento, sociedades de crédito imobiliário, sociedades corretoras, distribuidoras de títulos e valores mobiliários, empresas de arrendamento mercantil, cooperativas de crédito, empresas de seguros privados e de capitalização, agentes autônomos de seguros privados e de crédito e entidades de previdência privada abertas e fechadas, além das contribuições referidas neste artigo e no art. 23, é devida a contribuição adicional de dois vírgula cinco por cento sobre a base de cálculo definida nos incisos I e III deste artigo." (NR)

"........................................................................................"

"Art. 28. ..............................................................................

..........................................................................................."

"III - para o contribuinte individual: a remuneração auferida em uma ou mais empresas ou pelo exercício de sua atividade por conta própria, durante o mês, observado o limite máximo a que se refere o § 5o;" (NR)

"IV - para o segurado facultativo: o valor por ele declarado, observado o limite máximo a que se refere o § 5o."

"......................................................................................."

"Art. 30. .............................................................................

I - .......................................................................................

........................................................................................."

"b) recolher o produto arrecadado na forma da alínea anterior, a contribuição a que se refere o inciso IV do art. 22, assim como as contribuições a seu cargo incidentes sobre as remunerações pagas, devidas ou creditadas, a qualquer título, aos segurados empregados, trabalhadores avulsos e contribuintes individuais a seu serviço, até o dia dois do mês seguinte ao da competência;" (NR)

".........................................................................................."

"II - os segurados contribuinte individual e facultativo estão obrigados a recolher sua contribuição por iniciativa própria, até o dia quinze do mês seguinte ao da competência;" (NR)

"..........................................................................................."

"§ 2o Se não houver expediente bancário nas datas indicadas, o recolhimento deverá ser efetuado no dia útil imediatamente posterior." (NR)

"........................................................................................"

"§ 4o Na hipótese de o contribuinte individual prestar serviço a uma ou mais empresas, poderá deduzir, da sua contribuição mensal, quarenta e cinco por cento da contribuição da empresa, efetivamente recolhida ou declarada, incidente sobre a remuneração que esta lhe tenha pago ou creditado, limitada a dedução a nove por cento do respectivo salário-de-contribuição.

§ 5o Aplica-se o disposto no § 4o ao cooperado que prestar serviço a empresa por intermédio de cooperativa de trabalho."

"Art. 35. Sobre as contribuições sociais em atraso, arrecadadas pelo INSS, incidirá multa de mora, que não poderá ser relevada, nos seguintes termos:" (NR)

"I - ................................................................................."

"a) oito por cento, dentro do mês de vencimento da obrigação;" (NR)

"b) quatorze por cento, no mês seguinte;" (NR)

"c) vinte por cento, a partir do segundo mês seguinte ao do vencimento da obrigação;" (NR)

"II - ...................................................................................."

"a) vinte e quatro por cento, em até quinze dias do recebimento da notificação;" (NR)

"b) trinta por cento, após o décimo quinto dia do recebimento da notificação;" (NR)

"c) quarenta por cento, após apresentação de recurso desde que antecedido de defesa, sendo ambos tempestivos, até quinze dias da ciência da decisão do Conselho de Recursos da Previdência Social - CRPS;" (NR)

"d) cinqüenta por cento, após o décimo quinto dia da ciência da decisão do Conselho de Recursos da Previdência Social - CRPS, enquanto não inscrito em Dívida Ativa;" (NR)

"III - ..........................................................................."

"a) sessenta por cento, quando não tenha sido objeto de parcelamento;" (NR)

"b) setenta por cento, se houve parcelamento;" (NR)

"c) oitenta por cento, após o ajuizamento da execução fiscal, mesmo que o devedor ainda não tenha sido citado, se o crédito não foi objeto de parcelamento;" (NR)

"d) cem por cento, após o ajuizamento da execução fiscal, mesmo que o devedor ainda não tenha sido citado, se o crédito foi objeto de parcelamento." (NR)

"......................................................................................"

"§ 4o Na hipótese de as contribuições terem sido declaradas no documento a que se refere o inciso IV do art. 32, ou quando se tratar de empregador doméstico ou de empresa ou segurado dispensados de apresentar o citado documento, a multa de mora a que se refere o caput e seus incisos será reduzida em cinqüenta por cento."

"Art. 45. ............................................................................"

"§ 1o Para comprovar o exercício de atividade remunerada, com vistas à concessão de benefícios, será exigido do contribuinte individual, a qualquer tempo, o recolhimento das correspondentes contribuições." (NR)

".................................................................................."

"§ 4o Sobre os valores apurados na forma dos §§ 2o e 3o incidirão juros moratórios de zero vírgula cinco por cento ao mês, capitalizados anualmente, e multa de dez por cento." (NR)

"...................................................................................."

"§ 6o O disposto no § 4o não se aplica aos casos de contribuições em atraso a partir da competência abril de 1995, obedecendo-se, a partir de então, às disposições aplicadas às empresas em geral."

"Art. 85-A. Os tratados, convenções e outros acordos internacionais de que Estado estrangeiro ou organismo internacional e o Brasil sejam partes, e que versem sobre matéria previdenciária, serão interpretados como lei especial."

        Art. 2o A Lei no 8.213, de 24 de julho de 1991, passa a vigorar com as seguintes alterações:

"Art. 11. ..........................................................................

I - .....................................................................................

........................................................................................"

"i) o empregado de organismo oficial internacional ou estrangeiro em funcionamento no Brasil, salvo quando coberto por regime próprio de previdência social;"

"................................................................................."

"V - como contribuinte individual:" (NR)

"a) a pessoa física, proprietária ou não, que explora atividade agropecuária ou pesqueira, em caráter permanente ou temporário, diretamente ou por intermédio de prepostos e com auxílio de empregados, utilizados a qualquer título, ainda que de forma não contínua;

b) a pessoa física, proprietária ou não, que explora atividade de extração mineral - garimpo, em caráter permanente ou temporário, diretamente ou por intermédio de prepostos, com ou sem o auxílio de empregados, utilizados a qualquer título, ainda que de forma não contínua;"

"c) o ministro de confissão religiosa e o membro de instituto de vida consagrada, de congregação ou de ordem religiosa, quando mantidos pela entidade a que pertencem, salvo se filiados obrigatoriamente à Previdência Social em razão de outra atividade ou a outro regime previdenciário, militar ou civil, ainda que na condição de inativos;" (NR)

"d) revogada;"

"e) o brasileiro civil que trabalha no exterior para organismo oficial internacional do qual o Brasil é membro efetivo, ainda que lá domiciliado e contratado, salvo quando coberto por regime próprio de previdência social;" (NR)

"f) o titular de firma individual urbana ou rural, o diretor não empregado e o membro de conselho de administração de sociedade anônima, o sócio solidário, o sócio de indústria, o sócio gerente e o sócio cotista que recebam remuneração decorrente de seu trabalho em empresa urbana ou rural, e o associado eleito para cargo de direção em cooperativa, associação ou entidade de qualquer natureza ou finalidade, bem como o síndico ou administrador eleito para exercer atividade de direção condominial, desde que recebam remuneração;

g) quem presta serviço de natureza urbana ou rural, em caráter eventual, a uma ou mais empresas, sem relação de emprego;

h) a pessoa física que exerce, por conta própria, atividade econômica de natureza urbana, com fins lucrativos ou não;"

"...................................................................................."

"§ 5o Aplica-se o disposto na alínea g do inciso I do caput ao ocupante de cargo de Ministro de Estado, de Secretário Estadual, Distrital ou Municipal, sem vínculo efetivo com a União, Estados, Distrito Federal e Municípios, suas autarquias, ainda que em regime especial, e fundações."

"Art. 12. O servidor civil ocupante de cargo efetivo ou o militar da União, dos Estados, do Distrito Federal ou dos Municípios, bem como o das respectivas autarquias e fundações, são excluídos do Regime Geral de Previdência Social consubstanciado nesta Lei, desde que amparados por regime próprio de previdência social." (NR)

"§ 1o Caso o servidor ou o militar venham a exercer, concomitantemente, uma ou mais atividades abrangidas pelo Regime Geral de Previdência Social, tornar-se-ão segurados obrigatórios em relação a essas atividades." (NR)

"§ 2o Caso o servidor ou o militar, amparados por regime próprio de previdência social, sejam requisitados para outro órgão ou entidade cujo regime previdenciário não permita a filiação, nessa condição, permanecerão vinculados ao regime de origem, obedecidas as regras que cada ente estabeleça acerca de sua contribuição."

"Art. 14. ............................................................................."

"Parágrafo único. Equipara-se a empresa, para os efeitos desta Lei, o contribuinte individual em relação a segurado que lhe presta serviço, bem como a cooperativa, a associação ou entidade de qualquer natureza ou finalidade, a missão diplomática e a repartição consular de carreira estrangeiras." (NR)

"Art. 25. ..........................................................................

......................................................................................."

"III - salário-maternidade para as seguradas de que tratam os incisos V e VII do art. 11 e o art. 13: dez contribuições mensais, respeitado o disposto no parágrafo único do art. 39 desta Lei.

Parágrafo único. Em caso de parto antecipado, o período de carência a que se refere o inciso III será reduzido em número de contribuições equivalente ao número de meses em que o parto foi antecipado."

"Art. 26. .........................................................................."

"I - pensão por morte, auxílio-reclusão, salário-família e auxílio-acidente;" (NR)

"........................................................................................"

"VI – salário-maternidade para as seguradas empregada, trabalhadora avulsa e empregada doméstica."

"Art. 27. ..............................................................................

............................................................................................"

"II - realizadas a contar da data do efetivo pagamento da primeira contribuição sem atraso, não sendo consideradas para este fim as contribuições recolhidas com atraso referentes a competências anteriores, no caso dos segurados empregado doméstico, contribuinte individual, especial e facultativo, referidos, respectivamente, nos incisos II, V e VII do art. 11 e no art. 13." (NR)

"Art. 29. O salário-de-benefício consiste:" (NR)

"I - para os benefícios de que tratam as alíneas b e c do inciso I do art. 18, na média aritmética simples dos maiores salários-de-contribuição correspondentes a oitenta por cento de todo o período contributivo, multiplicada pelo fator previdenciário;

II - para os benefícios de que tratam as alíneas a, d, e e h do inciso I do art. 18, na média aritmética simples dos maiores salários-de-contribuição correspondentes a oitenta por cento de todo o período contributivo."

"........................................................................................"

"§ 6o No caso de segurado especial, o salário-de-benefício, que não será inferior ao salário mínimo, consiste:

I - para os benefícios de que tratam as alíneas b e c do inciso I do art. 18, em um treze avos da média aritmética simples dos maiores valores sobre os quais incidiu a sua contribuição anual, correspondentes a oitenta por cento de todo o período contributivo, multiplicada pelo fator previdenciário;

II - para os benefícios de que tratam as alíneas a, d, e e h do inciso I do art. 18, em um treze avos da média aritmética simples dos maiores valores sobre os quais incidiu a sua contribuição anual, correspondentes a oitenta por cento de todo o período contributivo.

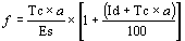
§ 7o O fator previdenciário será calculado considerando-se a idade, a expectativa de sobrevida e o tempo de contribuição do segurado ao se aposentar, segundo a fórmula constante do Anexo desta Lei.

§ 8o Para efeito do disposto no § 7o, a expectativa de sobrevida do segurado na idade da aposentadoria será obtida a partir da tábua completa de mortalidade construída pela Fundação Instituto Brasileiro de Geografia e Estatística - IBGE, considerando-se a média nacional única para ambos os sexos.

§ 9o Para efeito da aplicação do fator previdenciário, ao tempo de contribuição do segurado serão adicionados:

I - cinco anos, quando se tratar de mulher;

II - cinco anos, quando se tratar de professor que comprove exclusivamente tempo de efetivo exercício das funções de magistério na educação infantil e no ensino fundamental e médio;

III - dez anos, quando se tratar de professora que comprove exclusivamente tempo de efetivo exercício das funções de magistério na educação infantil e no ensino fundamental e médio."

"Art. 43. ...........................................................................

§ 1o ................................................................................"

"a) ao segurado empregado, a contar do décimo sexto dia do afastamento da atividade ou a partir da entrada do requerimento, se entre o afastamento e a entrada do requerimento decorrerem mais de trinta dias;" (NR)

"b) ao segurado empregado doméstico, trabalhador avulso, contribuinte individual, especial e facultativo, a contar da data do início da incapacidade ou da data da entrada do requerimento, se entre essas datas decorrerem mais de trinta dias." (NR)

"§ 2o Durante os primeiros quinze dias de afastamento da atividade por motivo de invalidez, caberá à empresa pagar ao segurado empregado o salário." (NR)

"Art. 48. ............................................................................"

"§ 1o Os limites fixados no caput são reduzidos para sessenta e cinqüenta e cinco anos no caso de trabalhadores rurais, respectivamente homens e mulheres, referidos na alínea a do inciso I, na alínea g do inciso V e nos incisos VI e VII do art. 11." (NR)

"....................................................................................."

"Art. 60. O auxílio-doença será devido ao segurado empregado a contar do décimo sexto dia do afastamento da atividade, e, no caso dos demais segurados, a contar da data do início da incapacidade e enquanto ele permanecer incapaz." (NR)

"....................................................................................."

"§ 3o Durante os primeiros quinze dias consecutivos ao do afastamento da atividade por motivo de doença, incumbirá à empresa pagar ao segurado empregado o seu salário integral." (NR)

"........................................................................................"

"Art. 67. O pagamento do salário-família é condicionado à apresentação da certidão de nascimento do filho ou da documentação relativa ao equiparado ou ao inválido, e à apresentação anual de atestado de vacinação obrigatória e de comprovação de freqüência à escola do filho ou equiparado, nos termos do regulamento." (NR)

"Art. 71. O salário-maternidade é devido à segurada da Previdência Social, durante cento e vinte dias, com início no período entre vinte e oito dias antes do parto e a data de ocorrência deste, observadas as situações e condições previstas na legislação no que concerne à proteção à maternidade, sendo pago diretamente pela Previdência Social." (NR)

"Art. 72. O salário-maternidade para a segurada empregada ou trabalhadora avulsa consistirá numa renda mensal igual a sua remuneração integral." (NR)

"Art. 73. Assegurado o valor de um salário mínimo, o salário-maternidade para as demais seguradas consistirá:" (NR)

"I - em um valor correspondente ao do seu último salário-de-contribuição, para a segurada empregada doméstica;

II - em um doze avos do valor sobre o qual incidiu sua última contribuição anual, para a segurada especial;

III - em um doze avos da soma dos doze últimos salários-de-contribuição, apurados em um período não superior a quinze meses, para as demais seguradas."

        Art. 3o Para o segurado filiado à Previdência Social até o dia anterior à data de publicação desta Lei, que vier a cumprir as condições exigidas para a concessão dos benefícios do Regime Geral de Previdência Social, no cálculo do salário-de-benefício será considerada a média aritmética simples dos maiores salários-de-contribuição, correspondentes a, no mínimo, oitenta por cento de todo o período contributivo decorrido desde a competência julho de 1994, observado o disposto nos incisos I e II do caput do art. 29 da Lei no 8.213, de 1991, com a redação dada por esta Lei.    (Vide ADI 2110)    (Vide ADI 2111)

        § 1o Quando se tratar de segurado especial, no cálculo do salário-de-benefício serão considerados um treze avos da média aritmética simples dos maiores valores sobre os quais incidiu a sua contribuição anual, correspondentes a, no mínimo, oitenta por cento de todo o período contributivo decorrido desde a competência julho de 1994, observado o disposto nos incisos I e II do § 6o do art. 29 da Lei no 8.213, de 1991, com a redação dada por esta Lei.

        § 2o No caso das aposentadorias de que tratam as alíneas b, c e d do inciso I do art. 18, o divisor considerado no cálculo da média a que se refere o caput e o § 1o não poderá ser inferior a sessenta por cento do período decorrido da competência julho de 1994 até a data de início do benefício, limitado a cem por cento de todo o período contributivo.

        Art. 4o Considera-se salário-de-contribuição, para os segurados contribuinte individual e facultativo filiados ao Regime Geral de Previdência Social até o dia anterior à data de publicação desta Lei, o salário-base, determinado conforme o art. 29 da Lei no 8.212, de 1991, com a redação vigente naquela data. (Vide Lei 10.666/2003)

        § 1o O número mínimo de meses de permanência em cada classe da escala de salários-base de que trata o art. 29 da Lei no 8.212, de 1991, com a redação anterior à data de publicação desta Lei, será reduzido, gradativamente, em doze meses a cada ano, até a extinção da referida escala.

        § 2o Havendo a extinção de uma determinada classe em face do disposto no § 1o, a classe subseqüente será considerada como classe inicial, cujo salário-base variará entre o valor correspondente ao da classe extinta e o da nova classe inicial.

        § 3o Após a extinção da escala de salários-base de que trata o § 1o, entender-se-á por salário-de-contribuição, para os segurados contribuinte individual e facultativo, o disposto nos incisos III e IV do art. 28 da Lei no 8.212, de 1991, com a redação dada por esta Lei.

        Art. 5o Para a obtenção do salário-de-benefício, o fator previdenciário de que trata o art. 29 da Lei no 8.213, de 1991, com redação desta Lei, será aplicado de forma progressiva, incidindo sobre um sessenta avos da média aritmética de que trata o art. 3o desta Lei, por mês que se seguir a sua publicação, cumulativa e sucessivamente, até completar sessenta sessenta avos da referida média.

        Art. 6o É garantido ao segurado que até o dia anterior à data de publicação desta Lei tenha cumprido os requisitos para a concessão de benefício o cálculo segundo as regras até então vigentes.

        Art. 7o É garantido ao segurado com direito a aposentadoria por idade a opção pela não aplicação do fator previdenciário a que se refere o art. 29 da Lei no 8.213, de 1991, com a redação dada por esta Lei.

        Art. 8o Esta Lei entra em vigor na data de sua publicação, produzindo efeitos, quanto à majoração de contribuição e ao disposto no § 4o do art. 30 da Lei no 8.212, de 1991, com a redação dada por esta Lei, a partir do dia primeiro do mês seguinte ao nonagésimo dia daquela publicação, sendo mantida, até essa data, a obrigatoriedade dos recolhimentos praticados na forma da legislação anterior.

        Art. 9o Revogam-se a Lei Complementar no 84, de 18 de janeiro de 1996, os incisos III e IV do art. 12 e o art. 29 da Lei no 8.212, de 24 de julho de 1991, os incisos III e IV do art. 11, o § 1o do art. 29 e o parágrafo único do art. 113 da Lei no 8.213, de 24 de julho de 1991.

        Brasília, 26 de novembro de 1999; 178o da Independência e 111o da República.

FERNANDO HENRIQUE CARDOSO
Waldeck Ornelas

Este texto não substitui o publicado no DOU de 29.11.1999 - Edição extra e retificada no DOU de 6.12.1999

Anexo

CÁLCULO DO FATOR PREVIDENCIÁRIO

Onde:

f = fator previdenciário;

Es = expectativa de sobrevida no momento da aposentadoria;

Tc = tempo de contribuição até o momento da aposentadoria;

Id = idade no momento da aposentadoria;

a= alíquota de contribuição correspondente a 0,31.

*