|
Presidência
da República |
DECRETO Nº 3.265, DE 29 DE NOVEMBRO DE 1999.
Altera
o Regulamento da Previdência Social, aprovado pelo Decreto n |
O PRESIDENTE DA
REPÚBLICA, no uso da atribuição que lhe confere o art. 84, inciso IV, da
Constituição Federal, e de acordo com a Lei nº 9.876, de 26 de
novembro de 1999,
DECRETA :
Art. 1o O Regulamento da Previdência
Social, aprovado pelo Decreto nº 3.048, de 6 de maio de 1999, passa a
vigorar com as seguintes alterações:
"Art.9
º..........................................................................I - ..................................................................................
.....................................................................................
q) o empregado de organismo oficial internacional ou estrangeiro em funcionamento no Brasil, salvo quando coberto por regime próprio de previdência social;
.....................................................................................
V - como contribuinte individual:
a) a pessoa física, proprietária ou não, que explora atividade agropecuária ou pesqueira, em caráter permanente ou temporário, diretamente ou por intermédio de prepostos e com auxílio de empregados, utilizados a qualquer título, ainda que de forma não contínua;
b) a pessoa física, proprietária ou não, que explora atividade de extração mineral - garimpo -, em caráter permanente ou temporário, diretamente ou por intermédio de prepostos, com ou sem o auxílio de empregados, utilizados a qualquer título, ainda que de forma não contínua;
c) o ministro de confissão religiosa e o membro de instituto de vida consagrada, de congregação ou de ordem religiosa, quando mantidos pela entidade a que pertencem, salvo se filiados obrigatoriamente à Previdência Social em razão de outra atividade ou a outro regime previdenciário, militar ou civil, ainda que na condição de inativos;
d) o brasileiro civil que trabalha no exterior para organismo oficial internacional do qual o Brasil é membro efetivo, ainda que lá domiciliado e contratado, salvo quando coberto por regime próprio de previdência social;
e) o titular de firma individual urbana ou rural;
f) o diretor não empregado e o membro de conselho de administração na sociedade anônima;
g) todos os sócios, nas sociedades em nome coletivo e de capital e indústria;
h) o sócio gerente e o sócio cotista que recebam remuneração decorrente de seu trabalho na sociedade por cotas de responsabilidade limitada, urbana ou rural;
i) o associado eleito para cargo de direção em cooperativa, associação ou entidade de qualquer natureza ou finalidade, bem como o síndico ou administrador eleito para exercer atividade de direção condominial, desde que recebam remuneração;
j) quem presta serviço de natureza urbana ou rural, em caráter eventual, a uma ou mais empresas, sem relação de emprego;
l) a pessoa física que exerce, por conta própria, atividade econômica de natureza urbana, com fins lucrativos ou não;
m) o aposentado de qualquer regime previdenciário nomeado magistrado classista temporário da Justiça do Trabalho, na forma dos incisos II do § 1
ºdo art. 111 ou III do art. 115 ou do parágrafo único do art. 116 da Constituição Federal, ou nomeado magistrado da Justiça Eleitoral, na forma dos incisos II do art. 119 ou III do § 1ºdo art. 120 da Constituição Federal;
.....................................................................................
§ 8
ºNão se considera segurado especial a que se refere o inciso VII do caput o membro do grupo familiar que possui outra fonte de rendimento decorrente do exercício de atividade remunerada, ressalvado o disposto no § 10, de arrendamento de imóvel rural ou de aposentadoria de qualquer regime.
.....................................................................................
§ 15. Enquadram-se nas situações previstas nas alíneas "j" e "l" do inciso V do caput, entre outros:
.....................................................................................
XIII - o bolsista da Fundação Habitacional do Exército contratado em conformidade com a Lei n
º6.855, de 18 de novembro de 1980; eXIV - o árbitro e seus auxiliares que atuam em conformidade com a Lei n
º9.615, de 24 de março de 1998.§ 16. Aplica-se o disposto na alínea "i" do inciso I do caput ao ocupante de cargo de Ministro de Estado, de Secretário Estadual, Distrital ou Municipal, sem vínculo efetivo com a União, Estados, Distrito Federal e Municípios, suas autarquias, ainda que em regime especial, e fundações.
"Art. 10. O servidor civil ocupante de cargo efetivo ou o militar da União, Estado, Distrito Federal ou Município, bem como o das respectivas autarquias e fundações, são excluídos do Regime Geral de Previdência Social consubstanciado neste Regulamento, desde que amparados por regime próprio de previdência social.
§ 1
ºCaso o servidor ou o militar, amparados por regime próprio de previdência social, sejam requisitados para outro órgão ou entidade cujo regime previdenciário não permita a filiação nessa condição, permanecerão vinculados ao regime de origem, obedecidas às regras que cada ente estabeleça acerca de sua contribuição.§ 2
ºCaso o servidor ou o militar venham a exercer, concomitantemente, uma ou mais atividades abrangidas pelo Regime Geral de Previdência Social, tornar-se-ão segurados obrigatórios em relação a essas atividades.§ 3
ºEntende-se por regime próprio de previdência social o que assegura pelo menos aposentadoria e pensão por morte." (NR)"Art. 12. .....................................................................
.....................................................................................
Parágrafo único. Equiparam-se a empresa, para os efeitos deste Regulamento:
I - o contribuinte individual, em relação a segurado que lhe presta serviço;
.............................................................................." (NR)
"Art. 13. .....................................................................
.....................................................................................
§ 4
ºAplica-se o disposto no inciso II do caput e no § 1ºao segurado que se desvincular de regime próprio de previdência social."(NR)"Art. 15. Para fins do disposto no artigo anterior, se o dia quinze recair no sábado, domingo ou feriado, inclusive o municipal, o pagamento das contribuições deverá ser efetuado no dia útil imediatamente posterior."(NR)
"Art. 17. .....................................................................
.....................................................................................
III - para o filho e o irmão, de qualquer condição, ao completarem vinte e um anos de idade, salvo se inválidos, ou pela emancipação, ainda que inválido, exceto, neste caso, se a emancipação for decorrente de colação de grau científico em curso de ensino superior; e
.........................................................................."(NR)
"Art. 18. Considera-se inscrição de segurado para os efeitos da previdência social o ato pelo qual o segurado é cadastrado no Regime Geral de Previdência Social, mediante comprovação dos dados pessoais e de outros elementos necessários e úteis a sua caracterização, observado o disposto no art. 330 e seu parágrafo único, na seguinte forma:
.....................................................................................
III - contribuinte individual - pela apresentação de documento que caracterize a sua condição ou o exercício de atividade profissional, liberal ou não;
IV - segurado especial - pela apresentação de documento que comprove o exercício de atividade rural; e
V - facultativo - pela apresentação de documento de identidade e declaração expressa de que não exerce atividade que o enquadre na categoria de segurado obrigatório.
§ 1
ºA inscrição do segurado de que trata o inciso I será efetuada diretamente na empresa, sindicato ou órgão gestor de mão-de-obra e a dos demais no Instituto Nacional do Seguro Social.
.....................................................................................
§ 4
ºA previdência social poderá emitir identificação específica para o segurado contribuinte individual, trabalhador avulso, especial e facultativo, para produzir efeitos exclusivamente perante ela, inclusive com a finalidade de provar a filiação.§ 5
ºPresentes os pressupostos da filiação, admite-se a inscrição post mortem do segurado especial."(NR)§ 6o A comprovação dos dados pessoais e de outros elementos necessários e úteis à caracterização do segurado poderá ser exigida quando da concessão do benefício." (NR)
"Art. 26. .....................................................................
.....................................................................................
§ 5
ºObservado o disposto no § 4ºdo art. 13, as contribuições vertidas para regime próprio de previdência social serão consideradas para todos os efeitos, inclusive para os de carência." (NR)"Art. 27. Havendo perda da qualidade de segurado, as contribuições anteriores a essa perda somente serão computadas para efeito de carência depois que o segurado contar, a partir da nova filiação ao Regime Geral de Previdência Social, com, no mínimo, um terço do número de contribuições exigidas para o cumprimento da carência definida no art. 29.
Parágrafo único. Aplica-se o disposto no caput ao segurado oriundo de regime próprio de previdência social que se filiar ao Regime Geral de Previdência Social após os prazos a que se refere o inciso II do caput e o § 1
ºdo art. 13." (NR)"Art. 28. .....................................................................
.....................................................................................
II - para o segurado empregado doméstico, contribuinte individual, especial, este enquanto contribuinte individual na forma do disposto no § 2
ºdo art. 200, e facultativo, da data do efetivo recolhimento da primeira contribuição sem atraso, não sendo consideradas para esse fim as contribuições recolhidas com atraso referentes a competências anteriores, observado, quanto ao segurado facultativo, o disposto nos §§ 3ºe 4ºdo art. 11.
..........................................................................." (NR)
"Art. 29. ...................................................................
.....................................................................................
III - dez contribuições mensais, no caso de salário-maternidade para as seguradas contribuinte individual, especial e facultativa, respeitado o disposto no § 2
ºdo art. 93 e no § 2ºdo art. 101.Parágrafo único. Em caso de parto antecipado, o período de carência a que se refere o inciso III será reduzido em número de contribuições equivalente ao número de meses em que o parto foi antecipado." (NR)
"Art. 30. ....................................................................
.....................................................................................
II - salário-maternidade, para as seguradas empregada, empregada doméstica e trabalhadora avulsa;
....................................................................................." (NR)
"Art. 32. O salário-de-benefício consiste:
I - para as aposentadorias por idade e por tempo de contribuição, na média aritmética simples dos maiores salários-de-contribuição correspondentes a oitenta por cento de todo o período contributivo, multiplicada pelo fator previdenciário;
II - para as aposentadorias por invalidez e especial, auxílio-doença e auxílio-acidente na média aritmética simples dos maiores salários-de-contribuição correspondentes a oitenta por cento de todo o período contributivo.
.....................................................................................
§ 2
ºNos casos de auxílio-doença e de aposentadoria por invalidez, contando o segurado com menos de cento e quarenta e quatro contribuições mensais no período contributivo, o salário-de-benefício corresponderá à soma dos salários-de-contribuição dividido pelo número de contribuições apurado.
.....................................................................................
§ 9
ºNo caso dos §§ 3ºe 4ºdo art. 56, o valor inicial do benefício será calculado considerando-se como período básico de cálculo os meses de contribuição imediatamente anteriores ao mês em que o segurado completou o tempo de contribuição, trinta anos para a mulher e trinta e cinco anos para o homem, observado o disposto no § 2ºdo art. 35 e a legislação de regência.§ 10. Para os segurados contribuinte individual e facultativo optantes pelo recolhimento trimestral na forma prevista no § 15 do art. 216, que tenham solicitado qualquer benefício previdenciário, o salário-de-benefício consistirá na média aritmética simples de todos os salários-de-contribuição integrantes da contribuição trimestral, desde que efetivamente recolhidos.
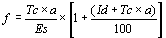
§ 11. O fator previdenciário será calculado considerando-se a idade, a expectativa de sobrevida e o tempo de contribuição do segurado ao se aposentar, mediante a fórmula:

onde:
f = fator previdenciário;
Es = expectativa de sobrevida no momento da aposentadoria;
Tc = tempo de contribuição até o momento da aposentadoria;
Id = idade no momento da aposentadoria; e
a = alíquota de contribuição correspondente a 0,31.
§ 12. Para efeito do disposto no parágrafo anterior, a expectativa de sobrevida do segurado na idade da aposentadoria será obtida a partir da tábua completa de mortalidade construída pela Fundação Instituto Brasileiro de Geografia e Estatística, para toda a população brasileira, considerando-se a média nacional única para ambos os sexos.
§ 13. Publicada a tábua de mortalidade, os benefícios previdenciários requeridos a partir dessa data considerarão a nova expectativa de sobrevida.
§ 14. Para efeito da aplicação do fator previdenciário ao tempo de contribuição do segurado serão adicionados:
I - cinco anos, quando se tratar de mulher; ou
II - cinco ou dez anos, quando se tratar, respectivamente, de professor ou professora, que comprovem exclusivamente tempo de efetivo exercício das funções de magistério na educação infantil e no ensino fundamental e médio.
§ 15. No cálculo do salário-de-benefício serão considerados os salário-de-contribuição vertidos para regime próprio de previdência social de segurado oriundo desse regime, após a sua filiação ao Regime Geral de Previdência Social, de acordo com o disposto no art. 214.
§ 16. Na hipótese do § 23 do art. 216, enquanto as contribuições não forem complementadas, o salário-de-contribuição será computado, para efeito de benefício, proporcionalmente à contribuição efetivamente recolhida.
§ 17. No caso do parágrafo anterior, não serão considerados como tempo de contribuição, para o fim de concessão de benefício previdenciário, enquanto as contribuições não forem complementadas, o período correspondente às competências em que se verificar recolhimento de contribuição sobre salário-de-contribuição menor que um salário mínimo." (NR)
"Art. 36. .....................................................................
.....................................................................................
§ 2
ºNo caso de segurado empregado ou de trabalhador avulso que tenham cumprido todas as condições para a concessão do benefício pleiteado, mas não possam comprovar o valor dos seus salários-de-contribuição no período básico de cálculo, considerar-se-á para o cálculo do benefício, no período sem comprovação do valor do salário-de-contribuição, o valor do salário mínimo, devendo esta renda ser recalculada quando da apresentação de prova dos salários-de-contribuição.
....................................................................................." (NR)
"Art. 44. ..............................................................................
§ 1
º.....................................................................................I - ao segurado empregado a contar do décimo sexto dia do afastamento da atividade ou a partir da data da entrada do requerimento, se entre o afastamento e a entrada do requerimento decorrerem mais de trinta dias; e
II - ao segurado empregado doméstico, contribuinte individual, trabalhador avulso, especial ou facultativo, a contar da data do início da incapacidade ou da data da entrada do requerimento, se entre essas datas decorrerem mais de trinta dias.
§ 2
ºDurante os primeiros quinze dias de afastamento consecutivos da atividade por motivo de invalidez, caberá à empresa pagar ao segurado empregado o salário.
....................................................................................." (NR)
"Art. 51. A aposentadoria por idade, uma vez cumprida a carência exigida, será devida ao segurado que completar sessenta e cinco anos de idade, se homem, ou sessenta, se mulher, reduzidos esses limites para sessenta e cinqüenta e cinco anos de idade para os trabalhadores rurais, respectivamente homens e mulheres, referidos na alínea "a" do inciso I, na alínea "j" do inciso V e nos incisos VI e VII do caput do art. 9
º, bem como para os segurados garimpeiros que trabalhem, comprovadamente, em regime de economia familiar, conforme definido no § 5ºdo art. 9º.
..............................................................................." (NR)
"Art.56. ......................................................................
.....................................................................................
§ 5
ºO segurado oriundo de regime próprio de previdência social que se filiar ao Regime Geral de Previdência Social a partir de 16 de dezembro de 1998 fará jus à aposentadoria por tempo de contribuição nos termos desta Subseção, não se lhe aplicando o disposto no art. 188." (NR)
.....................................................................................
"Art. 62. A prova de tempo de serviço, considerado tempo de contribuição na forma do art. 60, observadas, no que couber, as peculiaridades do segurado de que tratam as alíneas "j" e "l" do inciso V do caput do art. 9
ºe do art. 11, é feita mediante documentos que comprovem o exercício de atividade nos períodos a serem contados, devendo esses documentos ser contemporâneos dos fatos a comprovar e mencionar as datas de início e término e, quando se tratar de trabalhador avulso, a duração do trabalho e a condição em que foi prestado.
....................................................................................." (NR)
"Art. 65. Considera-se tempo de trabalho, para efeito desta Subseção, os períodos correspondentes ao exercício de atividade permanente e habitual (não ocasional nem intermitente), durante toda a jornada de trabalho, em cada vínculo, sujeito a condições especiais que prejudiquem a saúde ou a integridade física, inclusive férias, licença médica e auxílio-doença decorrente do exercício dessas atividades." (NR)
"Art. 68. .......................................................................
.....................................................................................
§ 7
ºO Ministério da Previdência e Assistência Social baixará instruções definindo parâmetros com base na Norma Regulamentadora nº 6 (Equipamento de Proteção Individual), Norma Regulamentadora nº7 (Programa de Controle Médico de Saúde Ocupacional), Norma Regulamentdora nº9 (Programa de Prevenção de Riscos Ambientais) e na Norma Regulamentadora nº15 (Atividades e Operações Insalubres), aprovadas pela Portaria/MTb nº3.214, de 8 de junho de 1978, para fins de aceitação do laudo técnico de que tratam os §§ 2ºe 3º."(NR)"Art. 72. ...............................................................................
I - a contar do décimo sexto dia do afastamento da atividade para o segurado empregado, exceto o doméstico;
....................................................................................." (NR)
"Art. 75. Durante os primeiros quinze dias consecutivos de afastamento da atividade por motivo de doença, incumbe à empresa pagar ao segurado empregado o seu salário.
.....................................................................................
§ 4
ºSe o segurado empregado, por motivo de doença, afastar-se do trabalho durante quinze dias, retornando à atividade no décimo sexto dia, e se dela voltar a se afastar dentro de sessenta dias desse retorno, fará jus ao auxílio doença a partir da data do novo afastamento." (NR)"Art. 84. O pagamento do salário-família será devido a partir da data da apresentação da certidão de nascimento do filho ou da documentação relativa ao equiparado, estando condicionado à apresentação anual de atestado de vacinação obrigatória, até seis anos de idade, e de comprovação semestral de freqüência à escola do filho ou equiparado, a partir dos sete anos de idade.
§ 1
ºA empresa deverá conservar, durante dez anos, os comprovantes dos pagamentos e as cópias das certidões correspondentes, para exame pela fiscalização do Instituto Nacional do Seguro Social, conforme o disposto no § 7ºdo art. 225.§ 2
ºSe o segurado não apresentar o atestado de vacinação obrigatória e a comprovação de freqüência escolar do filho ou equiparado, nas datas definidas pelo Instituto Nacional do Seguro Social, o benefício do salário-família será suspenso, até que a documentação seja apresentada.§ 3
ºNão é devido salário-família no período entre a suspensão do benefício motivada pela falta de comprovação da freqüência escolar e o seu reativamento, salvo se provada a freqüência escolar regular no período.§ 4
ºA comprovação de freqüência escolar será feita mediante apresentação de documento emitido pela escola, na forma de legislação própria, em nome do aluno, onde consta o registro de freqüência regular ou de atestado do estabelecimento de ensino, comprovando a regularidade da matrícula e freqüência escolar do aluno." (NR)"Art. 93. O salário-maternidade é devido à segurada da previdência social, durante cento e vinte dias, com início vinte e oito dias antes e término noventa e um dias depois do parto, podendo ser prorrogado na forma prevista no § 3
º, sendo pago diretamente pelo Instituto Nacional do Seguro Social ou na forma do art. 311.
.....................................................................................
§ 2
ºSerá devido o salário-maternidade à segurada especial, desde que comprove o exercício de atividade rural nos últimos dez meses imediatamente anteriores ao requerimento do benefício, mesmo que de forma descontínua, aplicando-se, quando for o caso, o disposto no parágrafo único do art. 29.§ 3
ºEm casos excepcionais, os períodos de repouso anterior e posterior ao parto podem ser aumentados de mais duas semanas, mediante atestado fornecido pelo Sistema Único de Saúde ou pelo serviço médico próprio da empresa ou por ela credenciado.
.....................................................................................
§ 5
ºEm caso de aborto não criminoso, comprovado mediante atestado médico fornecido pelo Sistema Único de Saúde ou pelo serviço médico próprio da empresa ou por ela credenciado, a segurada terá direito ao salário-maternidade correspondente a duas semanas.
....................................................................................." (NR)
"Art. 94. O salário-maternidade para a segurada empregada consiste numa renda mensal igual à sua remuneração integral, devendo aplicar-se à renda mensal do benefício o disposto no art. 198." (NR)
"Art. 95. Compete aos órgãos pertencentes ao Sistema Único de Saúde ou ao serviço médico próprio da empresa ou por ela credenciado fornecer os atestados médicos necessários, inclusive para efeitos trabalhistas.
....................................................................................." (NR)
"Art. 96. .............................................................................
§ 1
ºQuando a empresa dispuser de serviço médico próprio ou credenciado, o atestado deverá ser fornecido por aquele serviço médico.
....................................................................................." (NR)
"Art. 101. O salário-maternidade, observado o disposto nos arts. 35 e 198 ou 199, consistirá:
I - em valor correspondente ao do seu último salário-de-contribuição, para a segurada empregada doméstica;
II - em um salário mínimo, para a segurada especial;
III - em um doze avos da soma dos doze últimos salários-de-contribuição, apurados em período não superior a quinze meses, para as seguradas contribuinte individual e facultativa." (NR)
"Art. 114. ......................................................................
.....................................................................................
II - para o pensionista menor de idade, ao completar vinte e um anos, salvo se for inválido, ou pela emancipação, ainda que inválido, exceto, neste caso, se a emancipação for decorrente de colação de grau científico em curso de ensino superior; ou
....................................................................................." (NR)
"Art. 124. Caso o segurado contribuinte individual manifeste interesse em recolher contribuições relativas a período anterior à sua inscrição, a retroação da data do início das contribuições será autorizada, desde que comprovado o exercício de atividade remunerada no respectivo período, observado o disposto nos §§ 7
ºa 14 do art. 216 e no § 8ºdo art. 239.
....................................................................................." (NR)
"Art. 143. ......................................................................
.....................................................................................
§ 4
ºNo caso dos segurados empregado doméstico e contribuinte individual, após a homologação do processo, este deverá ser encaminhado ao setor competente de arrecadação para levantamento e cobrança do crédito." (NR)"Art. 176. A apresentação de documentação incompleta não pode constituir motivo de recusa de requerimento de benefício, ficando a análise do processo, bem como o início da contagem do prazo de que trata o art. 174 na dependência do cumprimento de exigência." (NR)
"Art. 177. Na hipótese do artigo anterior, o benefício será indeferido, caso o segurado não cumpra a exigência no prazo de trinta dias." (NR)
"Art. 178. O pagamento mensal de benefícios sujeitar-se-á a expressa autorização do Chefe da Agência da Previdência Social, do Chefe da Divisão/Serviço de Benefício ou do Gerente-Executivo do Instituto Nacional do Seguro Social, de acordo com os valores a serem estabelecidos periodicamente pelo Ministério da Previdência e Assistência Social." (NR)
"Art. 181-A. Fica garantido ao segurado com direito à aposentadoria por idade a opção pela não aplicação do fator previdenciário, devendo o Instituto Nacional do Seguro Social, quando da concessão do benefício, proceder ao cálculo da renda mensal inicial com e sem o fator previdenciário." (NR)
"Art. 181-B As aposentadorias por idade, tempo de contribuição e especial concedidas pela previdência social, na forma deste Regulamento, são irreversíveis e irrenunciáveis." (NR)
"Art. 183. O trabalhador rural ora enquadrado como segurado obrigatório do Regime Geral de Previdência Social, na forma da alínea "a" do inciso I, ou nas alíneas "j" e "l" do inciso V ou do inciso VII do caput do art. 9
º, pode requerer a aposentadoria por idade, no valor de um salário mínimo, durante quinze anos a partir de 25 de julho de 1991, desde que comprove o exercício de atividade rural, ainda que de forma descontínua, no período imediatamente anterior ao requerimento do benefício, em número de meses idêntico à carência do referido benefício." (NR)"Art. 188-A. Para o segurado filiado à previdência social até 28 de novembro de 1999, inclusive o oriundo de regime próprio de previdência social, que vier a cumprir as condições exigidas para a concessão dos benefícios do Regime Geral de Previdência Social, no cálculo do salário-de-benefício será considerada a média aritmética simples dos maiores salários-de-contribuição, correspondentes a, no mínimo, oitenta por cento de todo o período contributivo decorrido desde a competência julho de 1994, observado o disposto nos incisos I e II do caput e § 14 do art. 32.
§ 1
ºNo caso das aposentadorias por idade, tempo de contribuição e especial, o divisor considerado no cálculo da média a que se refere o caput não poderá ser inferior a sessenta por cento do período decorrido da competência julho de 1994 até a data de início do benefício, limitado a cem por cento de todo o período contributivo.§ 2
ºPara a obtenção do salário-de-benefício, o fator previdenciário de que trata o art. 32 será aplicado de forma progressiva, incidindo sobre um sessenta avos da média aritmética de que trata o caput, por competência que se seguir a 28 de novembro de 1999, cumulativa e sucessivamente, até completar sessenta sessenta avos da referida média, na competência novembro de 2004.§ 3
ºNos casos de auxílio-doença e de aposentadoria por invalidez, contando o segurado com salários-de-contribuição em número inferior a sessenta por cento do número de meses decorridos desde a competência julho de 1994 até a data do início do benefício, o salário-de-benefício corresponderá à soma dos salários-de-contribuição dividido pelo número de contribuições mensais apurado." (NR)"Art. 188-B. Fica garantido ao segurado que, até o dia 28 de novembro de 1999, tenha cumprido os requisitos para a concessão de benefício, o cálculo do valor inicial segundo as regras até então vigentes, considerando-se como período básico de cálculo os trinta e seis meses imediatamente anteriores àquela data, observado o § 2
ºdo art. 35, e assegurada a opção pelo cálculo na forma do art. 188-A, se mais vantajoso." (NR)"Art. 188-C. Fica garantido o pagamento do salário-maternidade pela empresa à segurada empregada, cujo início do afastamento do trabalho tenha ocorrido até o dia 28 de novembro de 1999, nos termos do art. 96." (NR)
"Art. 188-D. As seguradas contribuinte individual e facultativa que atendam ao disposto no inciso III do art. 29, e cujo parto tenha ocorrido até o dia 28 de novembro de 1999, farão jus ao salário-maternidade proporcionalmente aos dias que faltarem para completar cento e vinte dias de afastamento, observado o disposto no inciso III do art. 101." (NR)
"Seção II
Da Contribuição dos Segurados Contribuinte Individual e Facultativo"Art. 199. A alíquota de contribuição dos segurados contribuinte individual e facultativo é de vinte por cento aplicada sobre o respectivo salário-de-contribuição, observado os limites a que se referem os §§ 3
ºe 5ºdo art. 214." (NR)"Art. 201. ........................................................................
I - vinte por cento sobre o total das remunerações pagas, devidas ou creditadas, a qualquer título, no decorrer do mês, aos segurados empregado e trabalhador avulso, além das contribuições previstas nos arts. 202 e 204;
II - vinte por cento sobre o total das remunerações ou retribuições pagas ou creditadas no decorrer do mês ao segurado contribuinte individual;
III - quinze por cento sobre o valor bruto da nota fiscal ou fatura de prestação de serviços, relativamente a serviços que lhes são prestados por cooperados por intermédio de cooperativas de trabalho, observado, no que couber, as disposições dos §§ 7
ºe 8ºdo art. 219;.....................................................................................
§ 3
ºNo caso de empresa desobrigada de apresentação de escrituração contábil, na forma do § 16 do art. 225, e não havendo comprovação dos valores pagos ou creditados aos segurados de que tratam as alíneas "e" a "i" do inciso V do art. 9º, a contribuição mínima da empresa referente a esses segurados será de vinte por cento sobre o respectivo salário-de-contribuição, salvo se não houver salário-de-contribuição em razão do disposto no § 5ºdo art. 215, hipótese em que este será estimado em valor equivalente à maior remuneração paga a empregados da empresa.§ 4
ºA remuneração paga ou creditada a transportador autônomo, a que se referem os incisos I e II do § 15 do art. 9º, pelo frete, carreto ou transporte de passageiros realizado por conta própria corresponderá ao valor resultante da aplicação de um dos percentuais estabelecidos pelo Ministério da Previdência e Assistência Social sobre o valor bruto do frete, carreto ou transporte de passageiros, para determinação do valor mínimo da remuneração.§ 5
ºNo caso de sociedade civil de prestação de serviços profissionais relativos ao exercício de profissões legalmente regulamentadas, a contribuição da empresa referente aos segurados a que se referem as alíneas "g" a "i" do inciso V do art. 9º, observado o disposto no art. 225 e legislação específica, será de vinte por cento sobre:.....................................................................................
§ 6
ºNo caso de banco comercial, banco de investimento, banco de desenvolvimento, caixa econômica, sociedade de crédito, financiamento e investimento, sociedade de crédito imobiliário, inclusive associação de poupança e empréstimo, sociedade corretora, distribuidora de títulos e valores mobiliários, inclusive bolsa de mercadorias e de valores, empresa de arrendamento mercantil, cooperativa de crédito, empresa de seguros privados e de capitalização, agente autônomo de seguros privados e de crédito e entidade de previdência privada, aberta e fechada, além das contribuições referidas nos incisos I e II do caput e nos arts. 202 e 204, é devida a contribuição adicional de dois vírgula cinco por cento sobre a base de cálculo definida nos incisos I e II do caput......................................................................................
§ 8
ºA contribuição será sempre calculada na forma do inciso II do caput quando a remuneração ou retribuição for paga ou creditada a pessoa física, quando ausentes os requisitos que caracterizem o segurado como empregado, mesmo que não esteja inscrita no Regime Geral de Previdência Social......................................................................................
§ 19
ºA cooperativa de trabalho não está sujeita à contribuição de que trata o inciso II, em relação às importâncias por ela pagas, distribuídas ou creditadas aos respectivos cooperados, a título de remuneração ou retribuição pelos serviços que, por seu intermédio, tenham prestado a empresas." (NR)"Art. 213. .....................................................................................
..................................................................................
Parágrafo único. As companhias seguradoras que mantém seguro obrigatório de danos pessoais causados por veículos automotores de vias terrestres, de que trata a Lei n
º6.194, de 19 de dezembro de 1974, deverão repassar à seguridade social cinqüenta por cento do valor total do prêmio recolhido, destinados ao Sistema Único de Saúde, para custeio da assistência médico-hospitalar dos segurados vitimados em acidentes de trânsito." (NR)"Art. 214. .....................................................................................
................................................................................
III - para o contribuinte individual: a remuneração auferida em uma ou mais empresas ou pelo exercício de sua atividade por conta própria, durante o mês, observados os limites a que se referem os §§ 3
ºe 5º;.....................................................................................
VI - para o segurado facultativo: o valor por ele declarado, observados os limites a que se referem os §§ 3
ºe 5º;.....................................................................................
§ 3
ºO limite mínimo do salário-de-contribuição corresponde:I - para os segurados contribuinte individual e facultativo, ao salário mínimo; e
II - para os segurados empregado, inclusive o doméstico, e trabalhador avulso, ao piso salarial legal ou normativo da categoria ou, inexistindo este, ao salário mínimo, tomado no seu valor mensal, diário ou horário, conforme o ajustado e o tempo de trabalho efetivo durante o mês.
.....................................................................................
§ 9
º.................................................................................................................................................................
V - .....................................................................................
j) ganhos eventuais e abonos expressamente desvinculados do salário por força de lei;
.....................................................................................
XVIII - o ressarcimento de despesas pelo uso de veículo do empregado, quando devidamente comprovadas;
.....................................................................................
XXIII - o reembolso creche pago em conformidade com a legislação trabalhista, observado o limite máximo de seis anos de idade da criança, quando devidamente comprovadas as despesas;
XXIV - o reembolso babá, limitado ao menor salário-de-contribuição mensal e condicionado à comprovação do registro na Carteira de Trabalho e Previdência Social da empregada, do pagamento da remuneração e do recolhimento da contribuição previdenciária, pago em conformidade com a legislação trabalhista, observado o limite máximo de seis anos de idade da criança; e
XXV - o valor das contribuições efetivamente pago pela pessoa jurídica relativo a prêmio de seguro de vida em grupo, desde que previsto em acordo ou convenção coletiva de trabalho e disponível à totalidade de seus empregados e dirigentes, observados, no que couber, os arts. 9o e 468 da Consolidação das Leis do Trabalho.
.............................................................................." (NR)
"Art. 216. ........................................................................
I - ...................................................................................
.....................................................................................
b) recolher o produto arrecadado na forma da alínea anterior e as contribuições a seu cargo incidentes sobre as remunerações pagas, devidas ou creditadas, a qualquer título, inclusive adiantamentos decorrentes de reajuste salarial, acordo ou convenção coletiva, aos segurados empregado, contribuinte individual e trabalhador avulso a seu serviço, e sobre o valor bruto da nota fiscal ou fatura de serviço, relativo a serviços que lhe tenha sido prestados por cooperados, por intermédio de cooperativas de trabalho, no dia dois do mês seguinte àquele a que se referirem as remunerações, bem como as importâncias retidas na forma do art. 219, no dia dois do mês seguinte àquele da emissão da nota fiscal ou fatura, prorrogando-se o vencimento para o dia útil subseqüente quando não houver expediente bancário no dia dois; e
.....................................................................................
II - os segurados contribuinte individual e facultativo estão obrigados a recolher sua contribuição, por iniciativa própria, até o dia quinze do mês seguinte àquele a que as contribuições se referirem, prorrogando-se o vencimento para o dia útil subseqüente quando não houver expediente bancário no dia quinze, facultada a opção prevista no § 15;
.....................................................................................
XI - a entidade sindical que remunera dirigente que mantém a qualidade de segurado contribuinte individual ou especial é obrigada a recolher a contribuição prevista no inciso II do caput do art. 201 na forma deste artigo; e
XII - a empresa que remunera contribuinte individual é obrigada a fornecer a este comprovante do recolhimento da contribuição incidente sobre a remuneração paga ou de sua inclusão em declaração para fins fiscais, observado o disposto no § 21.
.....................................................................................
§ 10. O disposto nos §§ 7
ºe 8ºnão se aplica aos casos de contribuições em atraso de segurado contribuinte individual a partir da competência abril de 1995, obedecendo-se, a partir de então, às disposições do caput e §§ 1ºa 6ºdo art. 239......................................................................................
§ 12. Somente será feito o reconhecimento da filiação nas situações referidas nos §§ 7
º, 9ºe 11 após o efetivo recolhimento das contribuições relativas ao período em que for comprovado o exercício da atividade remunerada.§ 13. No caso de indenização relativa ao exercício de atividade remunerada para fins de contagem recíproca correspondente a período de filiação obrigatória ou não, na forma do inciso IV do art. 127, a base de incidência será a remuneração da data do requerimento sobre a qual incidem as contribuições para o regime próprio de previdência social a que estiver filiado o interessado, observados os limites a que se referem os §§ 3
ºe 5ºdo art. 214......................................................................................
§ 15. É facultado aos segurados contribuinte individual e facultativo, cujos salários-de-contribuição sejam iguais ao valor de um salário mínimo, optarem pelo recolhimento trimestral das contribuições previdenciárias, com vencimento no dia quinze do mês seguinte ao de cada trimestre civil, prorrogando-se o vencimento para o dia útil subseqüente quando não houver expediente bancário no dia quinze.
§ 16. Aplica-se o disposto no parágrafo anterior ao empregador doméstico relativamente aos empregados a seu serviço, cujos salários-de-contribuição sejam iguais ao valor de um salário mínimo, ou inferiores nos casos de admissão, dispensa ou fração do salário em razão de gozo de benefício.
.....................................................................................
§ 20. Na hipótese de o contribuinte individual prestar serviço a uma ou mais empresas, poderá deduzir, da sua contribuição mensal, quarenta e cinco por cento da contribuição da empresa, efetivamente recolhida ou declarada, incidente sobre a remuneração que esta lhe tenha pago ou creditado, no respectivo mês, limitada a nove por cento do respectivo salário-de-contribuição.
§ 21. Para efeito de dedução, considera-se contribuição declarada a informação prestada na Guia de Recolhimento do Fundo de Garantia do Tempo de Serviço e Informações à Previdência Social ou declaração fornecida pela empresa ao segurado, onde conste, além de sua identificação completa, inclusive com o número no Cadastro Nacional de Pessoas Jurídicas, o nome e o número da inscrição do contribuinte individual, o valor da retribuição paga e o compromisso de que esse valor será incluído na citada Guia de Recolhimento do Fundo de Garantia do Tempo de Serviço e Informações à Previdência Social e efetuado o recolhimento da correspondente contribuição.
§ 22. Aplicam-se as disposições dos §§ 20 e 21, no que couber, ao cooperado que prestar serviço a empresa por intermédio de cooperativa de trabalho, cabendo a esta fornecer-lhe o comprovante das respectivas remunerações.
§ 23. O contribuinte individual que não comprovar a regularidade da dedução de que tratam os §§ 20 a 22 terá glosado o valor indevidamente deduzido, devendo complementar as contribuições com os acréscimos legais devidos.
§ 24. Na hipótese do § 9
º, em que o período a indenizar referir-se a competências a partir de abril de 1995, tomar-se-á como base de incidência da indenização o valor do salário-de-contribuição correspondente ao mês anterior ao do requerimento.§ 25. Relativamente aos que recebem salário variável, o recolhimento da contribuição decorrente de eventual diferença da gratificação natalina (13
ºsalário) deverá ser efetuado juntamente com a competência dezembro do mesmo ano."(NR)"Art. 219. .....................................................................
.....................................................................................
§ 9. Na impossibilidade de haver compensação integral na própria competência, o saldo remanescente poderá ser compensado nas competências subseqüentes ou ser objeto de restituição, não sujeitas ao disposto no § 3
ºdo art. 247..........................................................................." (NR)
"Art. 224-A. O disposto nesta Seção não se aplica à contratação de serviços por intermédio de cooperativa de trabalho." (NR)
"Art. 225. .....................................................................
.....................................................................................
§ 2
ºA entrega da Guia de Recolhimento do Fundo de Garantia do Tempo de Serviço e Informações à Previdência Social deverá ser efetuada na rede bancária, conforme estabelecido pelo Ministério da Previdência e Assistência Social, até o dia sete do mês seguinte àquele a que se referirem as informações......................................................................................
§ 9
º...................................................................................................................................................................
II - agrupar os segurados por categoria, assim entendido: segurado empregado, trabalhador avulso, contribuinte individual;
.....................................................................................
§ 16. São desobrigadas de apresentação de escrituração contábil:
.....................................................................................
§ 21. Fica dispensado do cumprimento do disposto nos incisos V e VI do caput o contribuinte individual, em relação a segurado que lhe presta serviço."(NR)
"Art. 229. .....................................................................
.....................................................................................
§ 1
ºOs Auditores Fiscais da Previdência Social terão livre acesso a todas as dependências ou estabelecimentos da empresa, com vistas à verificação física dos segurados em serviço, para confronto com os registros e documentos da empresa, podendo requisitar e apreender livros, notas técnicas e demais documentos necessários ao perfeito desempenho de suas funções, caracterizando-se como embaraço à fiscalização qualquer dificuldade oposta à consecução do objetivo.§ 2
ºSe o Auditor Fiscal da Previdência Social constatar que o segurado contratado como contribuinte individual, trabalhador avulso, ou sob qualquer outra denominação, preenche as condições referidas no inciso I do caput do art. 9º, deverá desconsiderar o vínculo pactuado e efetuar o enquadramento como segurado empregado.............................................................................." (NR)
"Art. 239. .....................................................................
.....................................................................................
III - multa variável, de caráter irrelevável, nos seguintes percentuais, para fatos geradores ocorridos a partir de 28 de novembro de 1999:
a) .....................................................................................
1. oito por cento, dentro do mês de vencimento da obrigação;
2. quatorze por cento, no mês seguinte; ou
3. vinte por cento, a partir do segundo mês seguinte ao do vencimento da obrigação;
b) .....................................................................................
1. vinte e quatro por cento, até quinze dias do recebimento da notificação;
2. trinta por cento, após o décimo quinto dia do recebimento da notificação;
3. quarenta por cento, após apresentação de recurso desde que antecedido de defesa, sendo ambos tempestivos, até quinze dias da ciência da decisão do Conselho de Recursos da Previdência Social; ou
4. cinqüenta por cento, após o décimo quinto dia da ciência da decisão do Conselho de Recursos da Previdência Social, enquanto não inscrita em Dívida Ativa; e
c) .....................................................................................
1. sessenta por cento, quando não tenha sido objeto de parcelamento;
2. setenta por cento, se houve parcelamento;
3. oitenta por cento, após o ajuizamento da execução fiscal, mesmo que o devedor ainda não tenha sido citado, se o crédito não foi objeto de parcelamento; ou
4. cem por cento, após o ajuizamento da execução fiscal, mesmo que o devedor ainda não tenha sido citado, se o crédito foi objeto de parcelamento.
§ 1
ºOs juros de mora previstos no inciso II não serão inferiores a um por cento ao mês, excetuado o disposto no § 8º......................................................................................
§ 8
ºSobre as contribuições devidas e apuradas com base no § 1ºdo art. 348 incidirão juros moratórios de zero vírgula cinco por cento ao mês, capitalizados anualmente, e multa de dez por cento......................................................................................
§ 10. O disposto no § 8
ºnão se aplica aos casos de contribuições em atraso a partir da competência abril de 1995, obedecendo-se, a partir de então, às disposições aplicadas às empresas em geral.§ 11. Na hipótese de as contribuições terem sido declaradas no documento a que se refere o inciso IV do art. 225, ou quando se tratar de empregador doméstico ou de empresa ou segurado dispensados de apresentar o citado documento, a multa de mora a que se refere o caput e seus incisos será reduzida em cinqüenta por cento." (NR)
"Art. 255. A empresa será reembolsada pelo valor das cotas do salário-família pago aos segurados a seu serviço, de acordo com este Regulamento, mediante dedução do respectivo valor, no ato do recolhimento das contribuições devidas, na forma estabelecida pelo Instituto Nacional do Seguro Social.
............................................................................." (NR)
"Art. 257. .......................................................................
.......................................................................................
§ 6
ºÉ dispensada a indicação da finalidade no documento comprobatório de inexistência de débito, exceto:.....................................................................................
§ 8
º..................................................................................................................................................................
IV - a transação imobiliária referida na alínea "b" do inciso I do caput, que envolva empresa que explore exclusivamente atividade de compra e venda de imóveis, locação, desmembramento ou loteamento de terrenos, incorporação imobiliária ou construção de imóveis destinados à venda, desde que o imóvel objeto da transação esteja contabilmente lançado no ativo circulante e não conste, nem tenha constado, do ativo permanente da empresa.
.....................................................................................
§ 15. A prova de inexistência de débito perante a previdência social será fornecida por certidão emitida por meio de sistema eletrônico, ficando a sua aceitação condicionada à verificação de sua autenticidade pela Internet, em endereço específico, ou junto à previdência social.
§ 16. Fica dispensada a guarda do documento comprobatório de inexistência de débito, prevista no § 5
º, cuja autenticidade tenha sido comprovada pela Internet."(NR)"Art. 258. .....................................................................
.....................................................................................
§ 2
ºNa licitação, na contratação com o poder público e no recebimento de benefícios ou incentivo fiscal ou creditício por ele concedido, em que não haja oneração de bem do patrimônio da empresa, não será exigida a garantia, prevista no inciso V, de dívida incluída em parcelamento............................................................................." (NR)
"Art. 262. ....................................................................
Parágrafo único. Nos casos previstos no art. 206 do Código Tributário Nacional, será expedida Certidão Positiva de Débito com Efeitos de Negativa CPD-EN e, nos demais casos, Certidão Negativa de Débito CND." (NR)
"LIVRO III
.....................................................................................
DAS DISPOSIÇÕES TRANSITÓRIAS RELATIVAS AO CUSTEIO DA
SEGURIDADE SOCIAL
Art. 278-A. Para os segurados contribuinte individual e facultativo filiados ao Regime Geral de Previdência Social até o dia 28 de novembro de 1999, considera-se salário-de-contribuição o salário-base determinado conforme art. 215 deste Regulamento, na redação vigente até aquela data.
§ 1
ºObservado o disposto no caput, o número mínimo de meses de permanência em cada classe da escala de salários-base será reduzido, gradativamente, em doze meses a cada ano, até a extinção da referida escala.§ 2
ºHavendo a extinção de uma determinada classe em face do disposto no parágrafo anterior, a classe subseqüente será considerada como classe inicial, cujo salário-base variará entre o valor correspondente ao da classe extinta e o da nova classe inicial, conforme a seguinte tabela:
NÚMERO MÍNIMO DE MESES DE PERMANÊNCIA
Classe |
Salário-base |
De 12/1999 |
de 12/2000 |
De 12/2001 |
De 12/2002 |
A partir de |
1 |
136,00 |
- |
- |
- |
- |
- |
2 |
251,06 |
- |
- |
- |
- |
- |
3 |
376,60 |
12 |
- |
- |
- |
- |
4 |
502,13 |
12 |
- |
- |
- |
- |
5 |
627,66 |
24 |
12 |
- |
- |
- |
6 |
753,19 |
36 |
24 |
12 |
- |
- |
7 |
878,72 |
36 |
24 |
12 |
- |
- |
8 |
1.004,26 |
48 |
36 |
24 |
12 |
- |
9 |
1.129,79 |
48 |
36 |
24 |
12 |
- |
10 |
1.255,32 |
- |
- |
- |
- |
- |
§ 3
ºApós a extinção da escala de salários-base de que trata o § 1º, entender-se-á por salário-de-contribuição, para os segurados contribuinte individual e facultativo, o disposto nos incisos III e IV do art. 214." (NR)"Art. 303. ......................................................................
.....................................................................................
§ 8
ºNão cabe avocatória para simples reexame de matéria de fato."(NR)"Art. 311. ....................................................................
.....................................................................................
Parágrafo único. O convênio deverá dispor sobre o reembolso das despesas da empresa, do sindicato ou da entidade de aposentados devidamente legalizada, correspondente aos serviços previstos nos incisos II e III, ajustado por valor global conforme o número de empregados ou associados."(NR)
"Art. 348. ....................................................................
.....................................................................................
§ 1
ºPara comprovar o exercício de atividade remunerada, com vistas à concessão de benefícios, será exigido do contribuinte individual, a qualquer tempo, o recolhimento das correspondentes contribuições, observado o disposto nos §§ 7ºa 14 do art. 216............................................................................" (NR)
"Art. 357. ......................................................................
Parágrafo único. Para efeito do disposto no caput, os servidores designados receberão, a título de indenização, o valor correspondente a um onze avos do valor mínimo do salário-de-contribuição do contribuinte individual, por deslocamento com pesquisa concluída." (NR)
"Art. 382. Os tratados, convenções e outros acordos internacionais de que Estado estrangeiro ou organismo internacional e o Brasil sejam partes, e que versem sobre matéria previdenciária, serão interpretados como lei especial." (NR)
Art. 2o Os Anexos II e IV do Regulamento da Previdência Social, aprovado pelo Decreto no 3.048, de 1999, passam a vigorar na forma do Anexo a este Decreto.
Art. 3o Este Decreto entra em vigor na data de sua publicação, produzindo efeitos, quanto à majoração de contribuição e ao disposto no § 20 do art. 216, a partir da competência março de 2000.
Art. 4º Revogam-se a alínea "n" do inciso I, os incisos III e IV do caput
do art. 9º, o § 1º
do art. 32, o § 2º do art. 60,
os §§ 1º e 2º do art. 94, os §§ 1º e 2º do art. 101, o § 2º do art. 128, o § 1º do art. 166, os §§ 9º a 14 do art. 201, o § 9º do art. 202, o inciso XX do § 9º do art. 214, o art. 215, o § 2º
do art. 255, o § 2º do art. 305
e o § 5º do art. 336 do Regulamento
da Previdência Social, aprovado pelo Decreto nº 3.048, de 6 de maio de
1999.
Brasília, 29 de novembro de 1999; 178o da Independência e 111o da República.
FERNANDO HENRIQUE CARDOSO
Waldeck Ornelas
Este texto não substitui o publicado no D.O.U. de 30.11.1999
.............................................................................................................
LISTA B
..............................................................................................................
TRANSTORNOS MENTAIS E DO COMPORTAMENTO
RELACIONADOS COM O TRABALHO
(Grupo V da CID10)
DOENÇAS |
AGENTES ETIOLÓGICOS OU FATORES DE RISCO DE NATUREZA OCUPACIONAL |
| ............................................................. | ................................................................ |
III - Outros transtornos mentais decorrentes de lesão e disfunção cerebrais e de doença física (F06.-): transtorno cognitivo leve (F06.7) |
................................................................. |
......................................................................................................" (NR)
CLASSIFICAÇÃO DOS AGENTES NOCIVOS
CÓDIGO AGENTE NOCIVO
TEMPO DE
EXPOSIÇÃO1.0.0
AGENTES QUÍMICOS O que determina o direito ao benefício é a exposição do trabalhador ao agente nocivo presente no ambiente de trabalho e no processo produtivo, em nível de concentração superior aos limites de tolerância estabelecidos.
O rol de agentes nocivos é exaustivo, enquanto que as atividades listadas, nas quais pode haver a exposição, é exemplificativa.
............................................................................" (NR)